留言板

尊敬的读者、作者、审稿人, 关于本刊的投稿、审稿、编辑和出版的任何问题, 您可以本页添加留言。我们将尽快给您答复。谢谢您的支持!

姓名
邮箱
手机号码
标题
留言内容
验证码

基于NRHO的月球全球定位系统星座研究

晋守聪 程潏 刘磊 陈钢

晋守聪, 程潏, 刘磊, 陈钢. 基于NRHO的月球全球定位系统星座研究[J]. 空间科学学报, 2025, 45(2): 317-327. doi: 10.11728/cjss2025.02.2024-0151
引用本文: 晋守聪, 程潏, 刘磊, 陈钢. 基于NRHO的月球全球定位系统星座研究[J]. 空间科学学报, 2025, 45(2): 317-327. doi: 10.11728/cjss2025.02.2024-0151
JIN Shoucong, CHENG Yu, LIU Lei, CHEN Gang. Research on NRHO-Based Lunar Global Positioning System (in Chinese). Chinese Journal of Space Science, 2025, 45(2): 317-327 doi: 10.11728/cjss2025.02.2024-0151
Citation: JIN Shoucong, CHENG Yu, LIU Lei, CHEN Gang. Research on NRHO-Based Lunar Global Positioning System (in Chinese). Chinese Journal of Space Science, 2025, 45(2): 317-327 doi: 10.11728/cjss2025.02.2024-0151

基于NRHO的月球全球定位系统星座研究

doi: 10.11728/cjss2025.02.2024-0151 cstr: 32142.14.cjss.2024-0151
基金项目: 国防科技重点实验室开放基金(KGJ6142210210103), 科技部重点研发项目(2022 YFF0503904)和中央高校基本科研业务经费项目共同资助
详细信息
    作者简介:
    • 晋守聪 男, 1999年3月出生于山东省济南市, 现为北京邮电大学智能工程与自动化学院在读硕士, 主要研究方向为平动点轨道设计、地月空间导航星座等. E-mail: jsc13605408762@163.com
    通讯作者:
    • 程潏 女, 1989年7月出生于河南省南阳市, 现为北京邮电大学智能工程与自动化学院副教授, 博士生导师, 主要研究方向为地月空间导航星座、平动点轨道设计、编队动力学与控制等. E-mail: yu.cheng@bupt.edu.cn
  • 中图分类号: V412.4+1

Research on NRHO-Based Lunar Global Positioning System

  • 摘要: 针对未来月球探测与开发等任务对月球全球定位服务的需求, 利用近直线晕轨道(NRHO)特殊的轨道空间几何特性, 提出了以地月系NRHO作为参考轨道的月球全球定位系统(LGPS). 首先, 考虑轨道分布、卫星数目、轨道尺寸等星座构型参数, 设计了多个星座构型方案; 然后, 从可见星数目、月球全球覆盖特性以及几何精度因子(GDOP)等方面, 分析了不同构型参数对LGPS星座导航性能的影响. 仿真结果表明, 与Halo轨道相比, 基于NRHO的LGPS在月球高纬度区域, 尤其是对月球极区, 具有更优的持续覆盖能力和定位精度, GDOP可达3以内. 本文研究可对未来的月球开发任务提供导航定位方面的技术参考.

     

  • 图  1  地月系统惯性坐标系与会合坐标系

    Figure  1.  Inertial and synodic coordinate system of Earth-Moon system

    图  2  地月三体系统的平动点

    Figure  2.  Libration points of Earth-Moon system

    图  3  地月L1北族和L2南族Halo轨道和NRHO

    Figure  3.  L1 northern, L2 southern Halo orbits and NRHO

    图  4  L1L2 Halo轨道和NRHO

    Figure  4.  L1 and L2 Halo orbits and NRHO

    图  5  月面探测器可见条件

    Figure  5.  Visibility conditions for lunar probes

    图  6  L2北族NRHO, rp = 8000 km

    Figure  6.  L2 northern NRHO as rp = 8000 km

    图  7  rp = 8000 km北族L2 NRHO的可见卫星数

    Figure  7.  Number of visible satellites for L2 northern NRHO with rp = 8000 km

    图  8  四轨16星LGPS星座(rp =12000 km)

    Figure  8.  4-NRHO-16-satellite LGPS constellation (rp =12000 km)

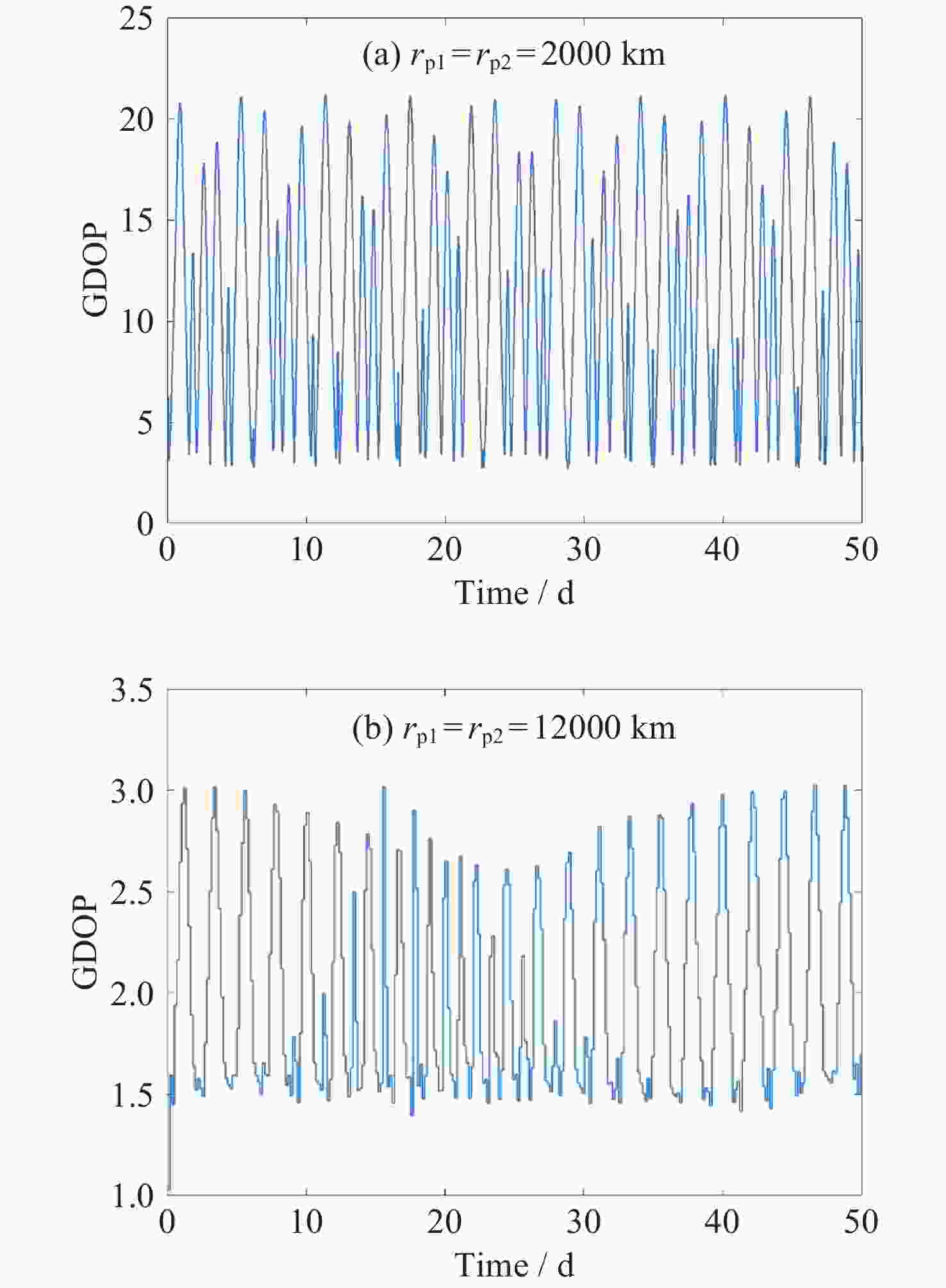
    图  9  50天内北极用户GDOP的变化

    Figure  9.  Variation of GDOP within 50-day for the user at North pole

    图  10  50天内北极用户GDOP的变化(轨道周期为9 d)

    Figure  10.  Variation of GDOP within 50-day for the user at North pole (Tp = 9 d)

    表  1  月面代表位置

    Table  1.   Representative locations for the lunar surface

    所选位置经纬度
    赤道+25°, 0°
    中纬度–55°, +45°
    高纬度(南极区域)+35°, –80°
    高经度高纬度(北极区域)+85°, +85°
    下载: 导出CSV

    表  2  L2单一北族NRHO 4星可见性和$ {{\bar {\boldsymbol{\sigma}} }_{\bf{G}\bf{D}\bf{O}\bf{P}}} $

    Table  2.   Visibility and ${{ \bar {\boldsymbol{\sigma}} }_{\bf{G}\bf{D}\bf{O}\bf{P}}} $ of L2 single northern NRHO with 4 satellites

    rp / km 经度/(º) 纬度/(º) 最小卫星数 最大卫星数 $ {{\bar \sigma }_{\mathrm{G}\mathrm{D}\mathrm{O}\mathrm{P}}} $ $ {\delta }_{\text{CTP}} $/(%)
    2000 25 0 3 4 170.6065 5.58
    2000 –55 45 3 4 2230.7161 88.75
    2000 35 –80 0 1 0
    2000 85 85 3 4 1467.1571 94.33
    8000 25 0 3 4 49.7617 10.92
    8000 –55 45 3 4 2982.7853 60.58
    8000 35 –80 0 1 0
    8000 85 85 3 4 401.7979 75.50
    12000 25 0 3 4 31.8642 9.58
    12000 –55 45 3 4 297.0158 45.75
    12000 35 –80 0 1 0
    12000 85 85 3 4 330.2189 60.08
    16000 25 0 3 4 23.3501 11.25
    16000 –55 45 3 4 44.2958 30.42
    16000 35 –80 0 1 0
    16000 85 85 3 4 323.9554 47.08
    下载: 导出CSV

    表  3  双轨8星两种方案的可见性和$ {{\bar {\boldsymbol{\sigma}} }_{\bf{G}\bf{D}\bf{O}\bf{P}}} $

    Table  3.   Visibility and $ {{\bar {\boldsymbol{\sigma}} }_{\bf{G}\bf{D}\bf{O}\bf{P}}} $ of two schemes for 8-satellite-2-orbit

    rp / km 经纬度/(º) L2 南北族NRHO L1, L2 北族NRHO
    最小/最大卫星数 $ {{\bar \sigma }_{\mathrm{G}\mathrm{D}\mathrm{O}\mathrm{P}}} $ $ {\delta }_{\text{CTP}} $/(%) 最小/最大卫星数 $ {{\bar \sigma }_{\mathrm{G}\mathrm{D}\mathrm{O}\mathrm{P}}} $ $ {\delta }_{\text{CTP}} $/(%)
    2000 25, 0 6/8 15.7933 100 3/5 28.8518 35.25
    2000 –55, 45 3/5 1978.9484 88.75 6/8 11.8093 100
    2000 35, –80 3/4 1396.0754 95.67 0/2 0
    2000 85, 85 3/4 1385.3785 95.67 6/8 11.1710 100
    8000 25, 0 6/8 6.9092 100 3/5 8.2863 56.83
    8000 –55, 45 3/5 1795.0248 68.75 6/8 3.1919 100
    8000 35, –80 3/4 359.5158 94.00 0/2 0
    8000 85, 85 3/4 308.5043 94.00 6/8 3.0121 100
    12000 25, 0 6/8 5.2746 100 3/5 5.6048 65.92
    12000 –55, 45 3/5 8.2629 61.58 6/8 2.4515 100
    12000 35, –80 3/5 223.0813 91.33 0/2 0
    12000 85, 85 3/4 205.5970 92.67 6/8 2.2291 100
    16000 25, 0 6/8 4.5476 100 3/5 4.1621 68.50
    16000 –55, 45 3/5 10.7901 82.92 5/7 2.1632 100
    16000 35, –80 3/5 162.3518 91.67 0/2 0
    16000 85, 85 3/5 162.1141 90.00 6/8 1.9270 100
    下载: 导出CSV

    表  4  L1L2 NRHO南北族轨道16星可见性和$ {{\bar {\boldsymbol{\sigma}} }_{\bf{G}\bf{D}\bf{O}\bf{P}}} $

    Table  4.   Visibility and $ {{\bar {\boldsymbol{\sigma}} }_{\bf{G}\bf{D}\bf{O}\bf{P}}} $ for L1 and L2 southern and northern NRHO with 16 satellites

    rp1rp2 /km 经度/(º) 纬度/(º) 最小卫星数 最大卫星数 $ {{\bar \sigma }_{\mathrm{G}\mathrm{D}\mathrm{O}\mathrm{P}}} $ $ {\delta }_{\text{CTP}} $/(%)
    2000 25 0 6 10 11.8770 100
    2000 –55 45 6 9 11.7464 100
    2000 35 –80 6 8 11.1813 100
    2000 85 85 6 8 11.1531 100
    8000 25 0 6 10 4.3464 100
    8000 –55 45 6 9 2.5860 100
    8000 35 –80 6 8 2.8616 100
    8000 85 85 6 8 2.8570 100
    12000 25 0 6 10 2.9649 100
    12000 –55 45 6 10 1.9135 100
    12000 35 –80 6 9 2.0141 100
    12000 85 85 6 9 2.0059 100
    16000 25 0 6 10 2.5497 100
    16000 –55 45 6 9 1.5447 100
    16000 35 –80 6 9 1.6469 100
    16000 85 85 6 9 1.6422 100
    下载: 导出CSV
  • [1] 叶培建, 于登云, 孙泽洲, 等. 中国月球探测器的成就与展望[J]. 深空探测学报, 2016, 3(4): 323-333

    YE Peijian, YU Dengyun, SUN Zezhou, et al. Achievements and prospect of Chinese lunar probes[J]. Journal of Deep Space Exploration, 2016, 3(4): 323-333
    [2] 裴照宇, 刘继忠, 王倩, 等. 月球探测进展与国际月球科研站[J]. 科学通报, 2020, 65(24): 2577-2586 doi: 10.1360/TB-2020-0582

    PEI Zhaoyu, LIU Jizhong, WANG Qian, et al. Overview of lunar exploration and International Lunar Research Station[J]. Chinese Science Bulletin, 2020, 65(24): 2577-2586 doi: 10.1360/TB-2020-0582
    [3] FARQUHAR R W. The Utilization of Halo Orbits in Advanced Lunar Operations[M]. Washington: National Aeronautics and Space Administration, 1971
    [4] GREBOW D J, OZIMEK M T, HOWELL K C, et al. Multibody orbit architectures for lunar south pole coverage[J]. Journal of Spacecraft and Rockets, 2008, 45(2): 344-358 doi: 10.2514/1.28738
    [5] SCHONFELDT M, GRENIER A, DELÉPAUT A, et al. A system study about a lunar navigation satellite transmitter system[C]//2020 European Navigation Conference (ENC). Dresden, Germany: IEEE, 2020: 1-10
    [6] CARRETERO G S. Study of a lunar satellite navigation system[C]//Proceeding of 63rd International Astronautical Congress. Naples: International Astronautical Federation, 2012
    [7] PERGOLA P, ALESSI E M. Libration point orbit characterization in the earth-moon system[J]. Monthly Notices of the Royal Astronomical Society, 2012, 426(2): 1212-1222 doi: 10.1111/j.1365-2966.2012.21585.x
    [8] ZHANG L, XU B. A universe light house—candidate architectures of the libration point satellite navigation system[J]. The Journal of Navigation, 2014, 67(5): 737-752 doi: 10.1017/S0373463314000137
    [9] ROMAGNOLI D, CIRCI C. Lissajous trajectories for lunar global positioning and communication systems[J]. Celestial Mechanics and Dynamical Astronomy, 2010, 107(4): 409-425 doi: 10.1007/s10569-010-9279-1
    [10] CIRCI C, ROMAGNOLI D, FUMENTI F. Halo orbit dynamics and properties for a lunar global positioning system design[J]. Monthly Notices of the Royal Astronomical Society, 2014, 442(4): 3511-3527 doi: 10.1093/mnras/stu1085
    [11] GAO Z Y, HOU X Y. Coverage analysis of lunar communication/navigation constellations based on halo orbits and distant retrograde orbits[J]. The Journal of Navigation, 2020, 73(4): 932-952 doi: 10.1017/S0373463320000065
    [12] GAO Z Y, HOU X Y. Comparison of autonomous orbit determination for satellite pairs in lunar halo and distant retrograde orbits[J]. NAVIGATION: Journal of the Institute of Navigation, 2022, 69(2): navi. 522
    [13] WANG K, LI K Z, LV S K, et al. Multi-orbit lunar GNSS constellation design with distant retrograde orbit and Halo orbit combination[J]. Scientific Reports, 2023, 13(1): 10158 doi: 10.1038/s41598-023-37348-x
    [14] GARDNER T, CHEETHAM B, CLARKSON M. CAPSTONE: Mission updates and ongoing efforts at the moon[C]//ASCEND 2023. Las Vegas, Nevada: American Institute of Aeronautics and Astronautics, 2023
    [15] DAVIS D, BHATT S, HOWELL K, et al. Orbit maintenance and navigation of human spacecraft at cislunar near rectilinear halo orbits[C]//AAS/AIAA Space Flight Mechanics Meeting. San Antonio: AIAA, 2017
    [16] ZIMOVAN E M. Characteristics and design strategies for near rectilinear halo orbits within the earth-moon system[D]. West Lafayette, Indiana: Purdue University, 2017
    [17] ZIMOVAN E M, HOWELL K C, DAVIS D C. Near rectilinear halo orbits and their application in cis-lunar space[C]//3rd IAA Conference on Dynamics and Controls of Space Systems. Moscow: IAA, 2017
    [18] ZIMOVAN-SPREEN E M, HOWELL K C, DAVIS D C. Near rectilinear halo orbits and nearby higher-period dynamical structures: orbital stability and resonance properties[J]. Celestial Mechanics and Dynamical Astronomy, 2020, 132(5): 28 doi: 10.1007/s10569-020-09968-2
    [19] 关梅倩. 地月空间综合PNT星座设计及导航定位性能分析[D]. 济南: 山东大学, 2022

    GUAN Meiqian. Integrated-PNT Constellation Design and Navigation Performance Analysis in Cislunar Space[D]. Ji’nan: Shandong University, 2022
    [20] GÓMEZ G, KOON W S, LO M W, et al. Connecting orbits and invariant manifolds in the spatial restricted three-body problem[J]. Nonlinearity, 2004, 17(5): 1571-1606 doi: 10.1088/0951-7715/17/5/002
    [21] CHEN H R, MA J. Phasing trajectories to deploy a constellation in a halo orbit[J]. Journal of Guidance, Control, and Dynamics, 2017, 40(10): 2662-2667 doi: 10.2514/1.G002518
  • 加载中
图(10) / 表(4)
计量
  • 文章访问数:  678
  • HTML全文浏览量:  358
  • PDF下载量:  80
  • 被引次数: 

    0(来源:Crossref)

    0(来源:其他)

出版历程
  • 收稿日期:  2024-10-31
  • 录用日期:  2025-03-21
  • 修回日期:  2025-02-19
  • 网络出版日期:  2025-04-22

目录

    /

    返回文章
    返回