留言板

尊敬的读者、作者、审稿人, 关于本刊的投稿、审稿、编辑和出版的任何问题, 您可以本页添加留言。我们将尽快给您答复。谢谢您的支持!

姓名
邮箱
手机号码
标题
留言内容
验证码

基于Apollo月壤样品二向反射测量数据的光度学分析

谷亚亚 杨亚洲 刘建忠 张莉

谷亚亚, 杨亚洲, 刘建忠, 张莉. 基于Apollo月壤样品二向反射测量数据的光度学分析[J]. 空间科学学报, 2025, 45(2): 328-339. doi: 10.11728/cjss2025.02.2024-0153
引用本文: 谷亚亚, 杨亚洲, 刘建忠, 张莉. 基于Apollo月壤样品二向反射测量数据的光度学分析[J]. 空间科学学报, 2025, 45(2): 328-339. doi: 10.11728/cjss2025.02.2024-0153
GU Yaya, YANG Yazhou, LIU Jianzhong, ZHANG Li. Photometric Analysis of Lunar Regolith Based on the Bidirectional Reflectance Data of Apollo Samples (in Chinese). Chinese Journal of Space Science, 2025, 45(2): 328-339 doi: 10.11728/cjss2025.02.2024-0153
Citation: GU Yaya, YANG Yazhou, LIU Jianzhong, ZHANG Li. Photometric Analysis of Lunar Regolith Based on the Bidirectional Reflectance Data of Apollo Samples (in Chinese). Chinese Journal of Space Science, 2025, 45(2): 328-339 doi: 10.11728/cjss2025.02.2024-0153

基于Apollo月壤样品二向反射测量数据的光度学分析

doi: 10.11728/cjss2025.02.2024-0153 cstr: 32142.14.cjss.2024-0153
基金项目: 中国科学院重点部署科研专项(KGFZD-145-23-15-3), 中国地质调查局地质调查项目(DD20230007, DD20221645), 黔科合重大专项(字[2024]016), 中国科协青年人才托举工程项目(2021QNRC001) 和国家自然科学基金项目(42441804)共同资助
详细信息
    作者简介:
    • 谷亚亚 女, 1992年2月出生于四川阆中市, 现为中国科学院地球化学研究所月球与行星科学研究中心博士研究生, 主要研究方向为行星光谱学. E-mail: guyaya20@mails.ucas.ac.cn
    通讯作者:
    • 刘建忠 男, 1968年10月出生于内蒙古四子王旗, 现为中国科学院地球化学研究所月球与行星科学研究中心研究员, 博士生导师, 主要研究方向为月球与行星地质等. E-mail: liujianzhong@mail.gyig.ac.cn
  • 中图分类号: P141.2

Photometric Analysis of Lunar Regolith Based on the Bidirectional Reflectance Data of Apollo Samples

  • 摘要: 了解不同观测角度下的月壤光散射特征, 不仅可以为月表光谱数据的光度校正或解混提供参考依据, 还可以帮助解译月壤物质的化学特性或物理性质. Hapke模型被广泛地应用于月表光度学分析中, 但不同研究中所选取的模型参数组合不同, 导致得到的月壤光度参数存在差异, 无法进行直接的对比分析. 为了更好地理解月壤光度特性, 基于6个不同Apollo月壤样品的二向反射测量数据, 选用不同参数组合的Hapke模型进行光度学分析, 获取了月海和高地月壤的光度参数. 同时, 对比了二项勒让德形式相函数与Henyey-Greenstein相函数, 以及3参数与5参数Hapke模型在月壤光度学分析中的适用性. 分析结果可为月壤光谱数据处理过程中的模型选择与后续解译提供参考.

     

  • 图  1  不同Apollo月壤样品在750 nm波段处的IoF曲线

    Figure  1.  IoF curves of different Apollo lunar soil samples measured at the wavelength of 750 nm

    图  2  Apollo 10084 IoF曲线的LG-3拟合结果. 拟合IoF曲线用菱形符号表示. 为区分波段 550, 750和950 nm的IoF曲线, 分别垂直平移了0.01, 0.02和0.03

    Figure  2.  Fitted IoF curves of Apollo 10084 using LG-3. The fitted IoF curves are represented by the diamond symbols. IoF curves are vertically offset for clarity, with 0.01, 0.02, and 0.03 for the wavelength of 550, 750, and 950 nm, respectively

    图  3  Apollo 68810 IoF曲线的LG-3拟合结果. 拟合IoF曲线用菱形符号表示. 为区分波段550, 750和950 nm的IoF曲线, 分别垂直平移了0.01, 0.02和0.03

    Figure  3.  Fitted IoF curves of Apollo 68810 using LG-3. The fitted IoF curves are represented by the diamond symbols. IoF curves are vertically offset for clarity, with 0.01, 0.02, and 0.03 for the wavelength of 550, 750, and 950 nm, respectively

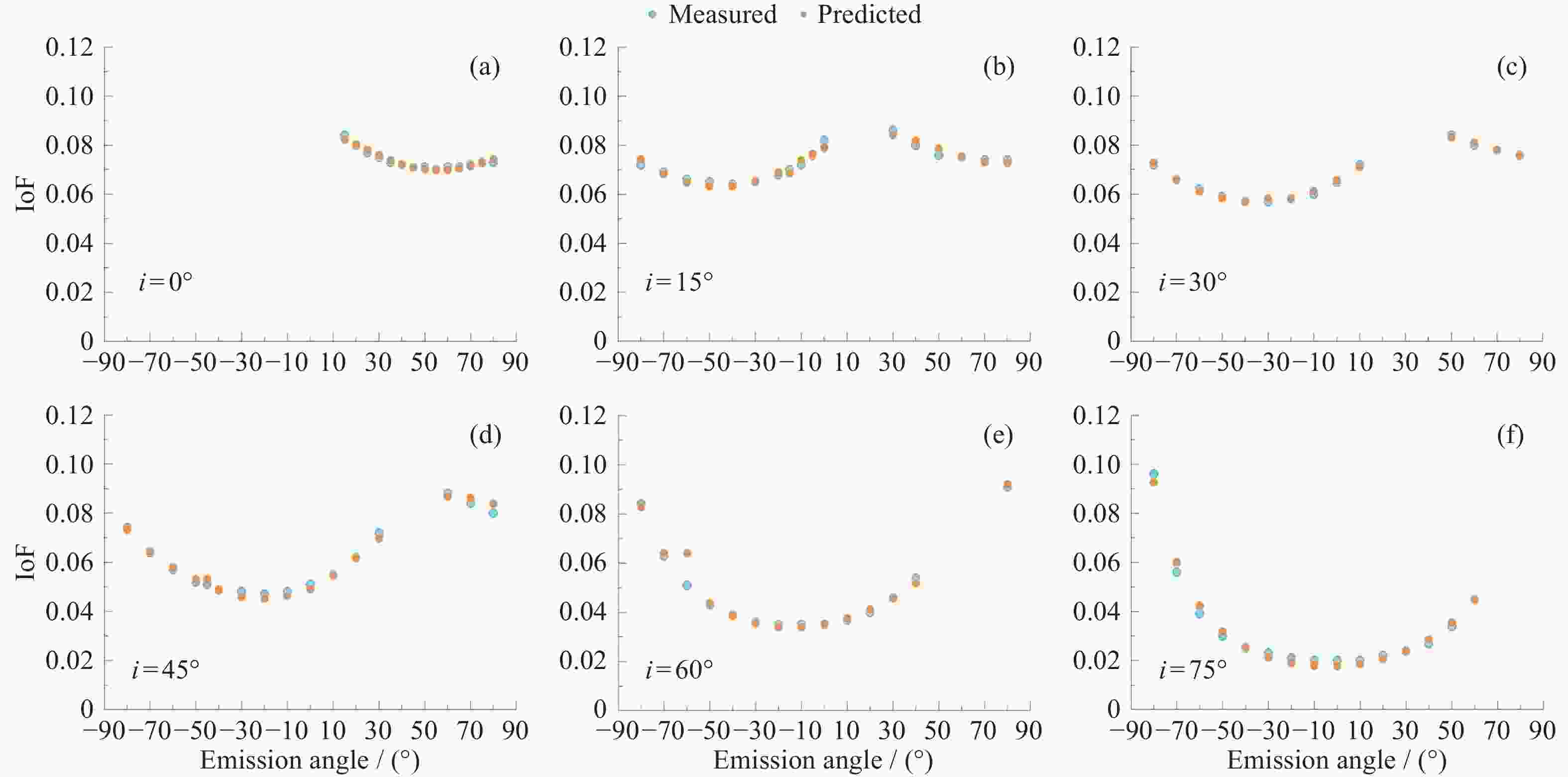
    图  4  Apollo 10084在750 nm处的主IoF曲线LG-3拟合结果

    Figure  4.  Fitted main IoF curves of Apollo 10084 using LG-3 at the wavelength of 750 nm

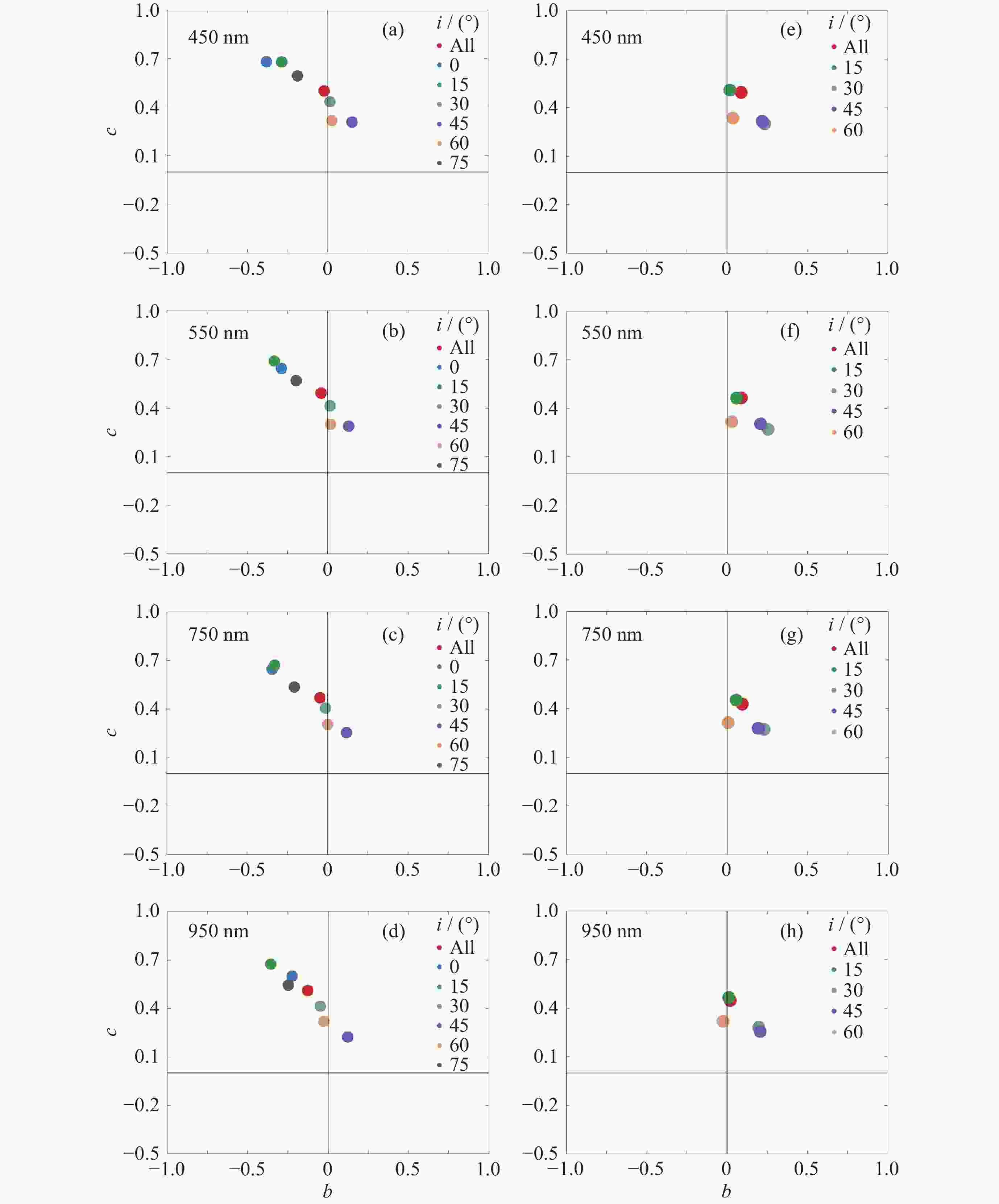
    图  5  Apollo 10084的LG-3拟合相函数参数. (a)~(d)为含重复相角数据的拟合值, 其中All是所有入射角度数据的相函数参数值. (e)~(h)为删除重复相角数据后的相函数参数值, All为含入射角0°和75°的所有入射角度数据的相函数参数值

    Figure  5.  Phase function parameters fitted by using LG-3 for Apollo 10084. (a)~(d) show the values of phase function parameters before eliminating duplicate phase angle data, where “All” represent the values fitted by using spectral data of all incident angles. (e)~(h) show the values of phase function parameters after elimination, where “All” represent the values fitted by using spectral data of all incident angles data, including 0° and 75°

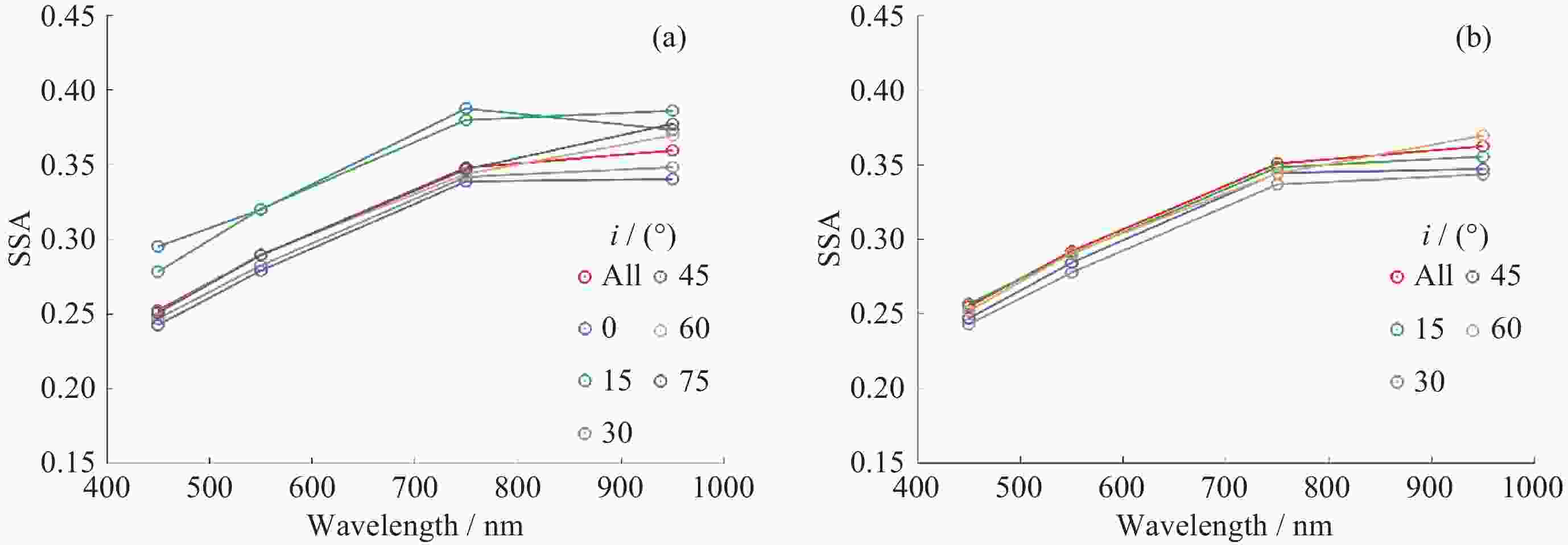
    图  6  Apollo 10084的LG-3拟合单次散射反照率. (a) 含重复相角数据的拟合值, 其中All为所有入射角度数据的拟合结果. (b) 删除重复相角数据后的, All为包含入射角0°和75°的所有入射角度数据的拟合结果

    Figure  6.  Single scattering albedos fitted by using LG-3 for Apollo 10084. (a) Fitted SSA values before eliminating duplicate phase angle data, where “All” represents the values fitted by using spectral data of all incident angles data. (b) SSA values after elimination, where “All” means the values fitted by using spectral data of all incident angles data, including 0° and 75°

    图  7  Apollo 10084在750 nm处的HG-3拟合IoF曲线

    Figure  7.  Fitted IoF curves of Apollo 10084 using HG-3 at the wavelength of 750 nm

    图  8  Apollo 10084在750 nm处的HG-5模拟IoF曲线

    Figure  8.  Modeled IoF curves by using HG-5 for Apollo 10084 at the wavelength of 750 nm

    表  1  各Apollo月壤的LG-3拟合相函数参数值和单次散射反照率

    Table  1.   Values of phase function parameters and single scattering albedo fitted by using LG-3 for different Apollo lunar regolith

    Apollo 10084 12001 15071 61141 68810 70181
    bLG –0.02 0.07 0.13 0.26 0.23 0.14
    cLG 0.50 0.46 0.39 0.35 0.38 0.37
    $\varpi _{0} $ 0.31 0.34 0.36 0.56 0.52 0.32
      各参数值为4个波段的平均值.
    下载: 导出CSV

    表  2  各Apollo月壤的HG-5模拟参数值

    Table  2.   Parameter values modeled by HG-5 for different Apollo lunar soil samples

    Apollo K bHG cHG SSA $ \bar{\theta} $/(°)
    10084 1.52 0.29 –0.08 0.24 18.19
    12001 1.31 0.27 0.02 0.30 20.56
    15071 1.27 0.23 0.14 0.33 24.60
    61141 1.10 0.25 0.24 0.55 17.42
    68810 1.49 0.22 0.29 0.44 24.20
    70181 1.52 0.23 0.18 0.24 20.84
      各参数值为4个波段的平均值.
    下载: 导出CSV

    表  3  文献[32]中Apollo月壤样品的Hapke 模型参数值

    Table  3.   Parameter values of Hapke model for Apollo lunar samples in Ref.[32]

    Apollo K bHG cHG SSA $ \bar{\theta} $/(°)
    10084 0.34 0.30 0.34 14
    68810 0.34 0.34 0.56 15
    下载: 导出CSV
  • [1] SHKURATOV Y, KAYDASH V, KOROKHIN V, et al. Optical measurements of the moon as a tool to study its surface[J]. Planetary and Space Science, 2011, 59(13): 1326-1371 doi: 10.1016/j.pss.2011.06.011
    [2] SANCHEZ J A, REDDY V, NATHUES A, et al. Phase reddening on near-Earth asteroids: implications for mineralogical analysis, space weathering and taxonomic classification[J]. Icarus, 2012, 220(1): 36-50 doi: 10.1016/j.icarus.2012.04.008
    [3] HAPKE B. Theory of Reflectance and Emittance Spectroscopy[M]. Cambridge: Cambridge University Press, 2012
    [4] SHEPARD M K. Introduction to Planetary Photometry[M]. Cambridge: Cambridge University Press, 2017
    [5] HAPKE B, DENEVI B, SATO H, et al. The wavelength dependence of the lunar phase curve as seen by the Lunar Reconnaissance Orbiter wide‐angle camera[J]. Journal of Geophysical Research: Planets, 2012, 117(E12): E00H15
    [6] SATO H, ROBINSON M S, HAPKE B, et al. Resolved Hapke parameter maps of the moon[J]. Journal of Geophysical Research: Planets, 2014, 119(8): 1775-1805 doi: 10.1002/2013JE004580
    [7] JIN W D, ZHANG H, YUAN Y, et al. In situ optical measurements of Chang’E-3 landing site in Mare Imbrium: 2. Photometric properties of the regolith[J]. Geophysical Research Letters, 2015, 42(20): 8312-8319 doi: 10.1002/2015GL065789
    [8] JIANG T, HU X Y, ZHANG H, et al. In situ lunar phase curves measured by Chang’E-4 in the Von Karman Crater, South Pole-Aitken basin[J]. Astronomy :Times New Roman;">& Astrophysics, 2021, 646: A2
    [9] LI S, MILLIKEN R E. Estimating the modal mineralogy of eucrite and diogenite meteorites using visible-near infrared reflectance spectroscopy[J]. Meteoritics :Times New Roman;">& Planetary Science, 2015, 50(11): 1821-1850
    [10] YOKOTA Y, MATSUNAGA T, OHTAKE M, et al. Lunar photometric properties at wavelengths 0.5–1.6 μm acquired by SELENE Spectral Profiler and their dependency on local albedo and latitudinal zones[J]. Icarus, 2011, 215(2): 639-660 doi: 10.1016/j.icarus.2011.07.028
    [11] WU Y Z, BESSE S, LI J Y, et al. Photometric correction and in-flight calibration of Chang’ E-1 Interference Imaging Spectrometer (IIM) data[J]. Icarus, 2013, 222(1): 283-295 doi: 10.1016/j.icarus.2012.11.010
    [12] HAPKE B. Bidirectional reflectance spectroscopy: 1. theory[J]. Journal of Geophysical Research: Solid Earth, 1981, 86(B4): 3039-3054 doi: 10.1029/JB086iB04p03039
    [13] HAPKE B, WELLS E. Bidirectional reflectance spectroscopy: 2. experiments and observations[J]. Journal of Geophysical Research: Solid Earth, 1981, 86(B4): 3055-3060 doi: 10.1029/JB086iB04p03055
    [14] HAPKE B. Bidirectional reflectance spectroscopy: 3. correction for macroscopic roughness[J]. Icarus, 1984, 59(1): 41-59 doi: 10.1016/0019-1035(84)90054-X
    [15] HAPKE B. Bidirectional reflectance spectroscopy: 4. the extinction coefficient and the opposition effect[J]. Icarus, 1986, 67(2): 264-280 doi: 10.1016/0019-1035(86)90108-9
    [16] HAPKE B. Bidirectional reflectance spectroscopy: 5. the coherent backscatter opposition effect and anisotropic scattering[J]. Icarus, 2002, 157(2): 523-534 doi: 10.1006/icar.2002.6853
    [17] HAPKE B. Bidirectional reflectance spectroscopy: 6. effects of porosity[J]. Icarus, 2008, 195(2): 918-926 doi: 10.1016/j.icarus.2008.01.003
    [18] HAPKE B. Bidirectional reflectance spectroscopy 7: the single particle phase function hockey stick relation[J]. Icarus, 2012, 221(2): 1079-1083 doi: 10.1016/j.icarus.2012.10.022
    [19] LI S, LI L. Radiative transfer modeling for quantifying lunar surface minerals, particle size, and submicroscopic metallic Fe[J]. Journal of Geophysical Research, 2011, 116(E9): E9001
    [20] YANG Y Z, LI S, MILLIKEN R E, et al. Phase functions of typical lunar surface minerals derived for the Hapke model and implications for visible to near-infrared spectral unmixing[J]. Journal of Geophysical Research: Planets, 2019, 124(1): 31-60 doi: 10.1029/2018JE005713
    [21] MUSTARD J F, PIETERS C M. Photometric phase functions of common geologic minerals and applications to quantitative analysis of mineral mixture reflectance spectra[J]. Journal of Geophysical Research: Solid Earth, 1989, 94(B10): 13619-13634 doi: 10.1029/JB094iB10p13619
    [22] LUCEY P G. Model near-infrared optical constants of olivine and pyroxene as a function of iron content[J]. Journal of Geophysical Research: Planets, 1998, 103(E1): 1703-1713 doi: 10.1029/97JE03145
    [23] 欧阳自远. 月球科学概论[M]. 北京: 中国宇航出版社, 2005

    OUYANG Ziyuan. Introduction to Lunar Science[M]. Beijing: China Aerospace Press, 2005
    [24] YANG Yazhou, LIN Honglei, LIU Yang, et al. The effects of viewing geometry on the spectral analysis of lunar regolith as inferred by in situ spectrophotometric measurements of Chang'E‐4[J]. Geophysical Research Letters, 2020, 47(8): e2020GL087080 doi: 10.1029/2020GL087080
    [25] SLYUTA E N. Physical and mechanical properties of the lunar soil (a review)[J]. Solar System Research, 2014, 48(5): 330-353 doi: 10.1134/S0038094614050050
    [26] OHTAKE M, MATSUNAGA T, YOKOTA Y, et al. Deriving the absolute reflectance of lunar surface using SELENE (Kaguya) multiband imager data[J]. Space Science Reviews, 2010, 154(1/2/3/4): 57-77
    [27] HAPKE B, SATO H. The porosity of the upper lunar regolith[J]. Icarus, 2016, 273: 75-83 doi: 10.1016/j.icarus.2015.10.031
    [28] SHEPARD M K, HELFENSTEIN P. A test of the Hapke photometric model[J]. Journal of Geophysical Research: Planets, 2007, 112(E3): E03001
    [29] SHEPARD M K. The bloomsburg University Goniometer (B. U. G. ) Laboratory: an Integrated Laboratory for Measuring Bidirectional Reflectance Functions[C]//Lunar and Planetary Science XXXII. Houston: LPI, 2001: abstract 1015
    [30] MCGUIRE A F, HAPKE B W. An experimental study of light scattering by large, irregular particles[J]. Icarus, 1995, 113(1): 134-155 doi: 10.1006/icar.1995.1012
    [31] GUO L, REN X, LIU D W, et al. Chang'E‐5 In Situ spectra reveal photometric properties of the lunar surface[J]. Journal of Geophysical Research: Planets, 2024, 129(2): e2023JE007847 doi: 10.1029/2023JE007847
    [32] JOHNSON J R, SHEPARD M K, GRUNDY W M, et al. Spectrogoniometry and modeling of Martian and Lunar analog samples and Apollo soils[J]. Icarus, 2013, 223(1): 383-406 doi: 10.1016/j.icarus.2012.12.004
    [33] JIANG T, ZHANG H, YANG Y Z, et al. Bi-directional reflectance and polarization measurements of pulse-laser irradiated airless body analog materials[J]. Icarus, 2019, 331: 127-147 doi: 10.1016/j.icarus.2019.05.022
    [34] LIN H L, YANG Y Z, LIN Y T, et al. Photometric properties of lunar regolith revealed by the Yutu-2 rover[J]. Astronomy :Times New Roman;">& Astrophysics, 2020, 638: A35
    [35] XU J F, WANG M Z, LIN H L, et al. In‐Situ photometric properties of lunar regolith revealed by lunar mineralogical spectrometer on board Chang’E‐5 Lander[J]. Geophysical Research Letters, 2022, 49(4): e2021GL096876 doi: 10.1029/2021GL096876
    [36] CHANG R, LIN H L, YANG W, et al. Comparison of laboratory and in situ reflectance spectra of Chang’e-5 lunar soil[J]. Astronomy :Times New Roman;">& Astrophysics, 2023, 674: A68
    [37] The Lunar and Planetary Institute. Lunar samples[EB/OL]. (2009-08-01)[2024-10-29]. https://www.lpi.usra.edu/lunar/samples
    [38] PIETERS C M, NOBLE S K. Space weathering on airless bodies[J]. Journal of Geophysical Research: Planets, 2016, 121(10): 1865-1884 doi: 10.1002/2016JE005128
    [39] LI C L, HU H, YANG M F, et al. Nature of the lunar far-side samples returned by the Chang’E-6 mission[J]. National Science Reviews, 2024, 11(11): nwae328 doi: 10.1093/nsr/nwae328
  • 加载中
图(8) / 表(3)
计量
  • 文章访问数:  974
  • HTML全文浏览量:  498
  • PDF下载量:  110
  • 被引次数: 

    0(来源:Crossref)

    0(来源:其他)

出版历程
  • 收稿日期:  2024-11-01
  • 修回日期:  2024-12-16
  • 网络出版日期:  2025-01-20

目录

    /

    返回文章
    返回