留言板

尊敬的读者、作者、审稿人, 关于本刊的投稿、审稿、编辑和出版的任何问题, 您可以本页添加留言。我们将尽快给您答复。谢谢您的支持!

姓名
邮箱
手机号码
标题
留言内容
验证码

旋转体制微波散射计性能仿真和热带气旋观测研究

董字名 徐星欧 刘璐

董字名, 徐星欧, 刘璐. 旋转体制微波散射计性能仿真和热带气旋观测研究[J]. 空间科学学报, 2025, 45(2): 383-396. doi: 10.11728/cjss2025.02.2024-0165
引用本文: 董字名, 徐星欧, 刘璐. 旋转体制微波散射计性能仿真和热带气旋观测研究[J]. 空间科学学报, 2025, 45(2): 383-396. doi: 10.11728/cjss2025.02.2024-0165
DONG Ziming, XU Xingou, LIU Lu. Simulation of Rotating System Microwave Scatterometer Performance and Observation of Tropical Cyclone (in Chinese). Chinese Journal of Space Science, 2025, 45(2): 383-396 doi: 10.11728/cjss2025.02.2024-0165
Citation: DONG Ziming, XU Xingou, LIU Lu. Simulation of Rotating System Microwave Scatterometer Performance and Observation of Tropical Cyclone (in Chinese). Chinese Journal of Space Science, 2025, 45(2): 383-396 doi: 10.11728/cjss2025.02.2024-0165

旋转体制微波散射计性能仿真和热带气旋观测研究

doi: 10.11728/cjss2025.02.2024-0165 cstr: 32142.14.cjss.2024-0165
基金项目: 国家重点研发计划项目(2022YFE0204600), 海口市科技计划项目(2024-015)和国家重大科技基础设施项目(2024-EL-PT-000689)共同资助
详细信息
    作者简介:
    • 董字名 男, 2002年生于河北省廊坊市, 现为中国科学院国家空间科学中心硕士研究生. 主要研究方向为星载微波散射计系统仿真. E-mail: dongziming24@mails.ucas.ac.cn
    通讯作者:
    • 徐星欧 女, 副研究员, 硕士生导师, IEEE高级会员(Senior Member). 2010年毕业于武汉大学遥感信息工程学院, 摄影测量与遥感专业, 获工学博士学位. 2008-2009年在英国爱丁堡大学地球科学学院, 2018-2019年在荷兰皇家气象局进行访问研究. 2011年至今, 在中国科学院国家空间科学中心微波室工作, 从事微波散射计海面风场观测研究和应用十余年, 现致力于降水和高风速条件下高精度风场的观测机理、反演模型研究及应用. E-mail: xuxingou@nssc.ac.cn
  • 中图分类号: TP732.1

Simulation of Rotating System Microwave Scatterometer Performance and Observation of Tropical Cyclone

  • 摘要: 高风速风场, 特别是热带气旋风场的散射计观测长期备受关注. 本研究针对我国业务化运行的两种散射计——旋转扇形波束体制散射计和旋转笔形波束体制散射计, 通过系统仿真方法分析其在不同风速条件下的后向散射系数测量精度和风场反演性能, 并评估其对热带气旋的观测能力. 参考现有在轨运行散射计参数得到的实验结果表明, 旋转扇形波束体制散射计各观测视数能够取得更多独立观测样本数, 在20 m·s–1以上高风速风场的后向散射系数测量和风场反演仿真中性能表现更佳. 而旋转笔形波束体制散射计各观测视数拥有更大的归一化信噪比, 在低于20 m·s–1的低风速和中等风速风场观测仿真中性能表现更佳. 研究揭示了两种散射计体制在不同风速区间的性能特点, 对高风速风场反演及热带气旋观测有重要参考意义, 同时, 结论也为后续不同体制散射计设计和信号处理算法改进研究奠定了基础.

     

  • 图  1  散射计系统仿真模型

    Figure  1.  Simulation model of scatterometer system

    图  2  参考风场风速与仿真测量风场风速分布情况. (a) 旋转扇形波束体制, (b) 旋转笔形波束体制

    Figure  2.  Distribution of reference wind speed and the measured wind speed in simulation. (a) Rotating fan-beam system, (b) rotating pencil-beam system

    图  3  独立观测样本数和归一化信噪比分布情况. (a) 旋转扇形波束体制, (b) 旋转笔形波束体制

    Figure  3.  Independent observation samples and normalized SNR distribution. (a) Rotating fan-beam system, (b) rotating pencil-beam system

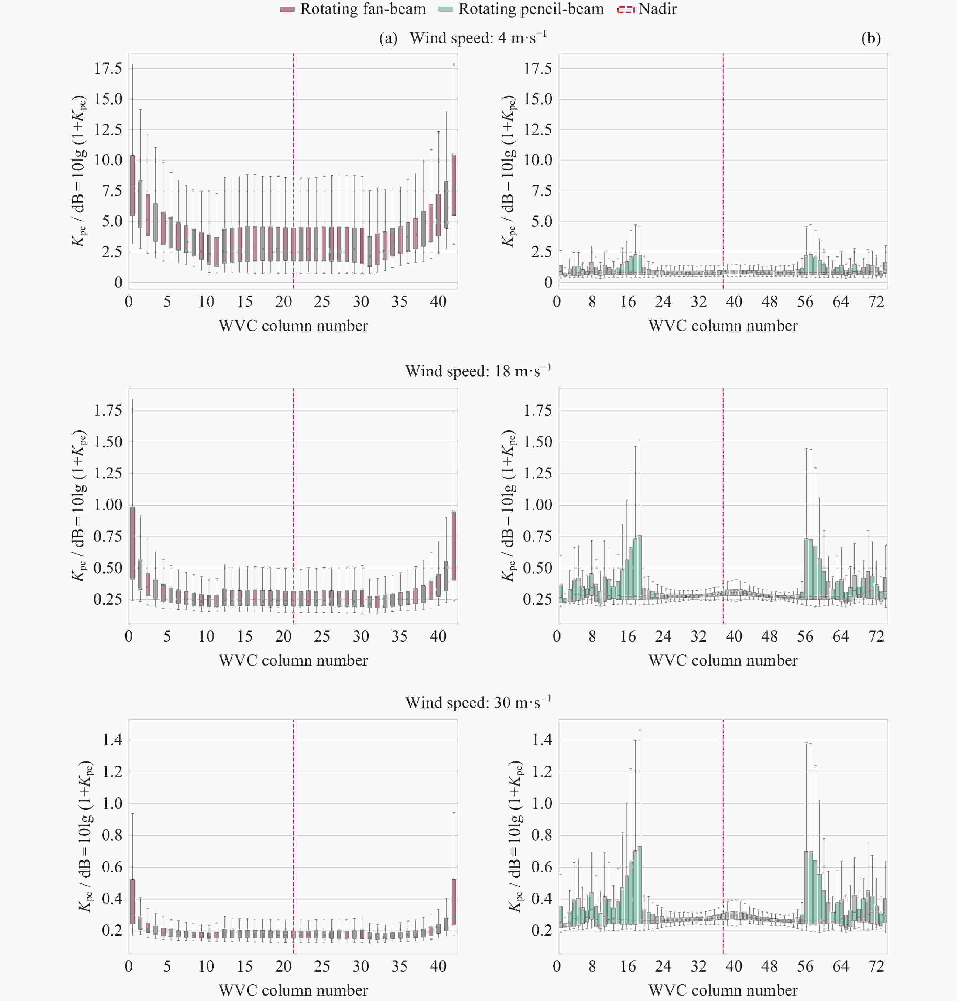
    图  4  风速分为别为4, 18, 30 m·s–1时不同位置风单元的Kpc分布情况. (a)旋转扇形波束体制, (b)旋转笔形波束体制

    Figure  4.  Kpc distribution of WVCs at different locations for wind speeds of 4, 18, and 30 m·s–1. (a) Rotating fan-beam system, (b) rotating pencil-beam system

    图  5  $ {K}_{\text{p}\text{c}} $随后向散射系数$ {\mathrm{\sigma }}^{0} $的变化情况. (a) 旋转扇形波束体制, (b) 旋转笔形波束体制

    Figure  5.  Variation of $ {K}_{\text{p}\text{c}} $ value with backscattering coefficient. (a) Rotating fan-beam system, (b) rotating pencil-beam system

    图  6  不同风速条件下风速RMSE随风单元位置的变化. (a) 旋转扇形波束体制, (b) 旋转笔形波束体制

    Figure  6.  Variation of wind speed RMSE with WVC position under different wind speed conditions. (a) Rotating fan-beam system, (b) rotating pencil-beam system

    图  7  不同风速条件下风向RMSE随风单元位置的变化. (a) 旋转扇形波束体制, (b) 旋转笔形波束体制

    Figure  7.  Variation of wind direction RMSE with WVC position under different wind speed conditions. (a) Rotating fan-beam system, (b) rotating pencil-beam system

    图  8  散射计观测台风“卡努”的仿真结果. (a) 旋转扇形波束体制, (b) 旋转笔形波束体制

    Figure  8.  Simulation results of Typhoon Khanun by two system. (a) Rotating fan-beam system, (b) rotating pencil-beam system

    图  9  台风“卡努”观测仿真结果的误差分布情况. (a) 旋转扇形波束体制, (b) 旋转笔形波束体制

    Figure  9.  Error distribution of the simulation results of Typhoon Khanun by two system. (a) Rotating fan-beam system, (b) rotating pencil-beam system

    图  10  两种不同体制散射计风速观测情况

    Figure  10.  Wind speed observations for two different scatterometer systems

    表  1  散射计系统参数

    Table  1.   Scatterometer system parameters

    参数 旋转扇形波束体制 旋转笔形波束体制
    脉冲载频/GHz 13.256 13.256
    脉冲时宽/ms 1.3 1.5
    脉冲重复频率/Hz 150 185
    接收带宽/MHz 0.5 1.0
    发射功率/W 120 120
    天线峰值增益/dB 32 39
    天线转速/(r·min–1) 3.4 16.7
    系统损耗/dB 1.0 1.0
    噪声系数/dB 6.0 5.0
    VV极化波束
    观测俯仰角/(º)
    25~44 41
    HH极化波束
    观测俯仰角/(º)
    25~44 35
    轨道高度/km 520 970
    下载: 导出CSV

    表  2  独立观测样本数和归一化信噪比统计特性

    Table  2.   Independent observation samples ($ {N}_{{\mathrm{sample}}} $) and normalized SNR ($ R_{\mathbf{S}\mathbf{N}\mathbf{R}'} $) statistics

    散射计体制 $ {\mathit{N}}_{\mathbf{s}\mathbf{a}\mathbf{m}\mathbf{p}\mathbf{l}\mathbf{e}} $均值 $ {\mathit{N}}_{\mathbf{s}\mathbf{a}\mathbf{m}\mathbf{p}\mathbf{l}\mathbf{e}} $标准差 $ R_{\mathbf{S}\mathbf{N}\mathbf{R}'} $均值 $ R_{\mathbf{S}\mathbf{N}\mathbf{R}'} $标准差
    旋转扇形波束体制 1292.7 401.2 9.4 2.9
    旋转笔形波束体制 232.7 110.6 429.4 121.1
    下载: 导出CSV

    表  3  不同散射计体制下第K风场解被选为最优解的占比统计

    Table  3.   Percentage distribution of the K-th ranked wind solution selected as optimal under different scatterometer systems

    散射计体制 K 4 m·s–1 18 m·s–1 30 m·s–1
    旋转扇形波束体制 1 47.8 89.9 92.3
    2 31.2 9.2 6.3
    3 16.4 0.6 0.9
    4 4.4 0.1 0.3
    旋转笔形波束体制 1 60.5 62.5 52.0
    2 25.9 28.3 31.0
    3 10.1 6.2 11.3
    4 3.4 2.9 5.5
      最优解为最接近真实风场的解.
    下载: 导出CSV
  • [1] HAUSER D, ABDALLA S, ARDHUIN F, et al. Satellite remote sensing of surface winds, waves, and currents: where are we now?[J]. Surveys in Geophysics, 2023, 44(5): 1357-1446 doi: 10.1007/s10712-023-09771-2
    [2] BOURASSA M A, MEISSNER T, CEROVECKI I, et al. Remotely sensed winds and wind stresses for marine forecasting and ocean modeling[J]. Frontiers in Marine Science, 2019, 6: 443 doi: 10.3389/fmars.2019.00443
    [3] 郎姝燕, 孙从容, 鲁云飞, 等. 中法海洋卫星微波散射计近海岸产品在台风遥感监测中的应用[J]. 海洋气象学报, 2022, 42(2): 74-80

    LANG Shuyan, SUN Congrong, LU Yunfei, et al. Application of Chinese-French oceanography satellite scatterometer coastal product in typhoon remote sensing monitoring[J]. Journal of Marine Meteorology, 2022, 42(2): 74-80
    [4] IPCC. Climate Change 2021: The Physical Science Basis. Contribution of Working Group I to the Sixth Assessment Report of the Intergovernmental Panel on Climate Change[M]. Cambridge, United Kingdom and New York, NY, USA: Cambridge University Press, 2021
    [5] SPENCER M W, WU C, LONG D G. Tradeoffs in the design of a spaceborne scanning pencil beam scatterometer: application to SeaWinds[J]. IEEE Transactions on Geoscience and Remote Sensing, 1997, 35(1): 115-126 doi: 10.1109/36.551940
    [6] ANDERSON C, BONEKAMP H, DUFF C, et al. Analysis of ASCAT ocean backscatter measurement noise[J]. IEEE Transactions on Geoscience and Remote Sensing, 2012, 50(7): 2449-2457 doi: 10.1109/TGRS.2012.2190739
    [7] LIN W M, DONG X L, PORTABELLA M, et al. A Perspective on the Performance of the CFOSAT rotating Fan-beam scatterometer[J]. IEEE Transactions on Geoscience and Remote Sensing, 2019, 57(2): 627-639 doi: 10.1109/TGRS.2018.2858852
    [8] SHANG J, WANG Z X, DOU F L, et al. Preliminary performance of the WindRAD scatterometer onboard the FY-3E meteorological satellite[J]. IEEE Transactions on Geoscience and Remote Sensing, 2024, 62: 5100813
    [9] 宋忠国, 董晓龙, 林文明, 等. 星载全极化微波散射计系统仿真与性能分析[J]. 电子学报, 2013, 41(12): 2382-2390 doi: 10.3969/j.issn.0372-2112.2013.12.010

    SONG Zhongguo, DONG Xiaolong, LIN Wenming, et al. Spaceborne polarimetric microwave scatterometer system simulation and performance analysis[J]. Acta Electronica Sinica, 2013, 41(12): 2382-2390 doi: 10.3969/j.issn.0372-2112.2013.12.010
    [10] 杨晟, 邹巨洪, 林明森. 星载全极化微波散射计仿真与海面风场反演研究[J]. 应用海洋学学报, 2018, 37(2): 179-184 doi: 10.3969/J.ISSN.2095-4972.2018.02.004

    YANG Sheng, ZOU Juhong, LIN Mingsen. Spaceborne fully polarized microwave scatterometer simulation and ocean surface wind retrieval[J]. Journal of Applied Oceanography, 2018, 37(2): 179-184 doi: 10.3969/J.ISSN.2095-4972.2018.02.004
    [11] BAO Q L, DONG X L, ZHU D, et al. The feasibility of ocean surface current measurement using pencil-beam rotating scatterometer[J]. IEEE Journal of Selected Topics in Applied Earth Observations and Remote Sensing, 2015, 8(7): 3441-3451 doi: 10.1109/JSTARS.2015.2414451
    [12] POLVERARI F, PORTABELLA M, LIN W M, et al. On high and extreme wind calibration using ASCAT[J]. IEEE Transactions on Geoscience and Remote Sensing, 2022, 60: 4202210
    [13] XU X G, STOFFELEN A, NI W C, et al. Extreme winds from Ku-band and C-band wind scatterometers[C]//IGARSS 2023-2023 IEEE International Geoscience and Remote Sensing Symposium. Pasadena: IEEE, 2023: 4064-4067
    [14] C3S. ERA5 hourly data on single levels from 1940 to present[DS/OL]. Copernicus Climate Change Service (C3S) Climate Data Store (CDS). 2018[2024–11-10]. https://cds.climate.copernicus.eu/doi/10.24381/cds.adbb2d47
    [15] ZHANG Y, LIN M S, XIE X T, et al. The improvement of HY-2 Satellite’s microwave scatterometer instrument and NRCS calculation[J]. IEEE Transactions on Geoscience and Remote Sensing, 2024, 62: 5112109
    [16] 于淼淼, 朱迪, 董晓龙, 等. 中法海洋卫星微波散射计后向散射测量误差分析[J]. 海洋气象学报, 2024, 44(4): 46-53

    YU Miaomiao, ZHU Di, DONG Xiaolong, et al. Analysis of backscattering measurement error of CSCAT[J]. Journal of Marine Meteorology, 2024, 44(4): 46-53
    [17] 林文明. 星载扇形波束扫描微波散射计系统研究[D]. 北京: 中国科学院研究生院, 2011

    LIN Wenming. Study on Spaceborne Rotating, Range-Gated, Fanbeam Scatterometer System[D]. Beijing: University of Chinese Academy of Sciences, 2011
    [18] 林明森, 邹巨洪, 解学通, 等. HY-2A微波散射计风场反演算法[J]. 中国工程科学, 2013, 15(7): 68-74 doi: 10.3969/j.issn.1009-1742.2013.07.010

    LIN Mingsen, ZOU Juhong, XIE Xuetong, et al. HY-2A microwave scatterometer wind retrieval algorithm[J]. Strategic Study of CAE, 2013, 15(7): 68-74 doi: 10.3969/j.issn.1009-1742.2013.07.010
    [19] 董楹, 林文明. CFOSAT散射计海面后向散射系数误差及影响[J]. 空间科学学报, 2024, 44(2): 326-334 doi: 10.11728/cjss2024.02.2023-0144

    DONG Ying, LIN Wenming. analysis of sea surface backscatter coefficient errors and its effects for the CFOSAT scatterometer[J]. Chinese Journal of Space Science, 2024, 44(2): 326-334 doi: 10.11728/cjss2024.02.2023-0144
    [20] LIN C C, STOFFELEN A, DE KLOE J, et al. Wind retrieval capability of rotating range-gated fanbeam spaceborne scatterometer[C]//Proceedings of SPIE 4881, Sensors, Systems, and Next-Generation Satellites VI. Crete, Greece: SPIE, 2003: 268
    [21] 郎姝燕. 星载微波散射计系统仿真、性能评估与优化[D]. 中国科学院研究生院, 2008

    LANG Shuyan. Simulation and Optimization of Spaceborne Microwave Scatterometer[D]. Beijing: University of Chinese Academy of Sciences, 2008
    [22] 董晓龙, 朱迪, 林文明, 等. 中法海洋卫星微波散射计在轨性能验证[J]. 空间科学学报, 2020, 40(3): 425-431 doi: 10.11728/cjss2020.03.425

    DONG Xiaolong, ZHU Di, LIN Wenming, et al. Orbit performances validation for CFOSAT scatterometer[J]. Chinese Journal of Space Science, 2020, 40(3): 425-431 doi: 10.11728/cjss2020.03.425
    [23] ZHANG Y, MU B, LIN M S, et al. An evaluation of the Chinese HY-2B Satellite’s microwave scatterometer instrument[J]. IEEE Transactions on Geoscience and Remote Sensing, 2021, 59(6): 4513-4521 doi: 10.1109/TGRS.2020.3008405
  • 加载中
图(10) / 表(3)
计量
  • 文章访问数:  550
  • HTML全文浏览量:  210
  • PDF下载量:  77
  • 被引次数: 

    0(来源:Crossref)

    0(来源:其他)

出版历程
  • 收稿日期:  2024-11-17
  • 录用日期:  2025-03-07
  • 修回日期:  2025-03-07
  • 网络出版日期:  2025-03-27

目录

    /

    返回文章
    返回