留言板

尊敬的读者、作者、审稿人, 关于本刊的投稿、审稿、编辑和出版的任何问题, 您可以本页添加留言。我们将尽快给您答复。谢谢您的支持!

姓名
邮箱
手机号码
标题
留言内容
验证码

星载多普勒散射计地面回波的多普勒谱分析

陈少涵 董晓龙 朱迪 张敬钰

陈少涵, 董晓龙, 朱迪, 张敬钰. 星载多普勒散射计地面回波的多普勒谱分析[J]. 空间科学学报. doi: 10.11728/cjss2025.06.2024-0182
引用本文: 陈少涵, 董晓龙, 朱迪, 张敬钰. 星载多普勒散射计地面回波的多普勒谱分析[J]. 空间科学学报. doi: 10.11728/cjss2025.06.2024-0182
CHEN Shaohan, DONG Xiaolong, ZHU Di, ZHANG Jingyu. Doppler Spectrum Analysis of Ground Echoes from Spaceborne Doppler Scatterometer (in Chinese). Chinese Journal of Space Science, 2025, 45(6): 1506-1518 doi: 10.11728/cjss2025.06.2024-0182
Citation: CHEN Shaohan, DONG Xiaolong, ZHU Di, ZHANG Jingyu. Doppler Spectrum Analysis of Ground Echoes from Spaceborne Doppler Scatterometer (in Chinese). Chinese Journal of Space Science, 2025, 45(6): 1506-1518 doi: 10.11728/cjss2025.06.2024-0182

星载多普勒散射计地面回波的多普勒谱分析

doi: 10.11728/cjss2025.06.2024-0182 cstr: 32142.14.cjss.2024-0182
基金项目: 中国科学院前瞻战略科技先导专项项目资助(XDA0370101)
详细信息
    作者简介:
    • 陈少涵 男, 1999年出生于山东省青岛市, 现为中国科学院大学国家空间科学中心硕士研究生, 主要从事微波遥感探测技术等方面的研究. E-mail: chenshaohan21@mails.ucas.ac.cn
    通讯作者:
    • 董晓龙 男, 1969年出生于陕西省渭南市, 现为中国科学院大学国家空间科学中心研究员, 博士生导师, 主要从事新型微波遥感探测与成像及微波遥感信息获取的方法与技术研究. E-mail: dongxiaolong@mirslab.cn
  • 中图分类号: P714

Doppler Spectrum Analysis of Ground Echoes from Spaceborne Doppler Scatterometer

  • 摘要: 流场多普勒的定标和定量化测量是实现流场观测的基础和前提, 是需要解决的关键核心问题. 建立地面散射回波仿真模型, 对潜在可用于多普勒散射计外定标的自然地面扩展目标的多普勒谱特性进行仿真分析, 比较其在不同平台的运动速度、入射角、方位角下的变化特征. 结果表明, 平台运动速度是影响多普勒谱特性的主要因素, 入射角和方位角的变化也对多普勒谱特性有明显影响. 对不同高度起伏的地面扩展目标的多普勒谱特性仿真结果表明, 高度起伏越大的目标其多普勒谱偏移越大, 同时中心高度的变化对于多普勒谱特性的影响则不明显. 因此在定标目标的选择中, 应选择较为平坦的扩展目标. 最后对地面回波多普勒频偏进行了分析, 并使用DEM模型进行验证. 研究结论将为多普勒散射计定标的后续研究提供支持.

     

  • 图  1  地面散射回波多普勒谱仿真流程

    Figure  1.  Simulation flowchart of ground scattering echo Doppler spectrum

    图  2  多普勒散射计观测几何

    Figure  2.  Observation geometry of Doppler scatterometer

    图  3  笔形波束足印的面元划分

    Figure  3.  Grid division of the footprint for the pencil-beam

    图  4  后向散射幅度计算流程

    Figure  4.  Flowchart for backscatter amplitude calculation

    图  5  多普勒散射计视向地面斜率

    Figure  5.  Doppler scatterometer line-of-sight ground slope

    图  6  脉冲对算法原理

    Figure  6.  Pulse pair algorithm schematic

    图  7  处理后的自然扩展目标

    Figure  7.  Interpolated natural extension targets

    图  8  不同影响的多普勒谱

    Figure  8.  Doppler spectrum under different influences

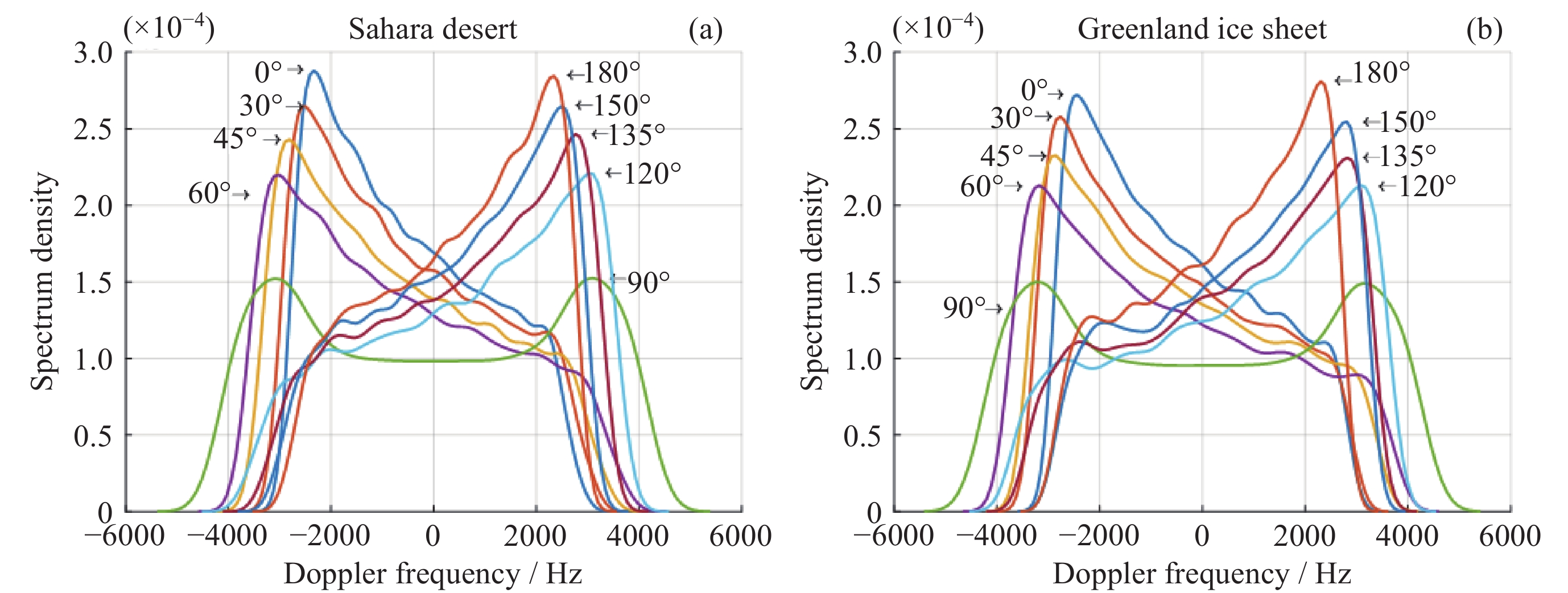
    图  9  不同方位角多普勒谱

    Figure  9.  Doppler spectrum at different azimuth angles

    图  10  不同方位角多普勒谱的各阶矩

    Figure  10.  Doppler moments at different azimuth angles

    图  11  不同入射角多普勒谱

    Figure  11.  Doppler spectrum at different incidence angles

    图  12  不同入射角多普勒谱的各阶矩

    Figure  12.  Doppler moments at different incidence angles

    图  13  随机高斯粗糙面

    Figure  13.  Random Gaussian rough surface

    图  14  不同高度范围的高度谱

    Figure  14.  Height spectrum at different altitude ranges

    图  15  不同高度范围的多普勒谱

    Figure  15.  Doppler spectrum at different altitude ranges

    图  16  不同高度起伏的多普勒谱各阶矩

    Figure  16.  Doppler moments at different height variations

    图  17  不同中心高度的高度谱

    Figure  17.  Height spectrum at different central heights

    图  19  不同中心高度的多普勒各阶矩

    Figure  19.  Doppler moments at different central heights

    图  18  不同中心高度的多普勒谱

    Figure  18.  Doppler spectrum at different central heights

    图  20  随机高斯粗糙面高度谱

    Figure  20.  Random Gaussian rough surface height spectrum

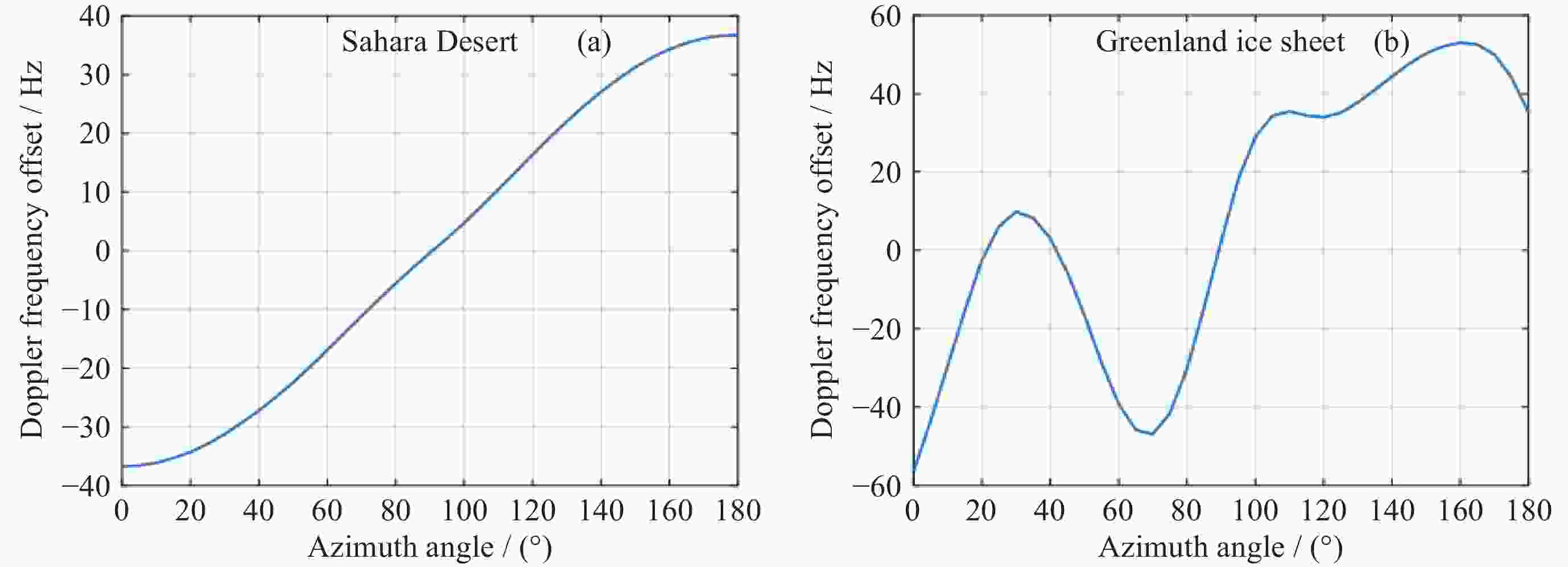
    图  21  不同方位角的多普勒频率偏移量及其不确定度

    Figure  21.  Doppler frequency shift and its uncertainty with different azimuth angles

    图  22  DEM扩展目标的多普勒频率偏移量

    Figure  22.  Doppler frequency shift for DEM extended targets

    表  1  旋转笔形波束多普勒散射计参数

    Table  1.   Parameters of rotating pencil-beam Doppler scatterometer

    平台高度/km 520
    平台速度/m·s–1 7000
    波束宽度/(°) 0.3
    脉冲宽度/μs 50
    脉冲重复时间/μs 100
    入射角/(°) 46
    采样率/MHz 20
    信号频率(Ka波段)/GHz 35.6
    极化方式 VV
    刈幅范围/km >1000
    下载: 导出CSV
  • [1] MIAO Y J, DONG X L, BOURASSA M A, et al. Effects of ocean wave directional spectra on doppler retrievals of ocean surface current[J]. IEEE Transactions on Geoscience and Remote Sensing, 2022, 60: 4204812. doi: 10.1109/TGRS.2021.3126327
    [2] BHARGAVA A, ECHENIQUE J A. An econometric analysis of sea surface temperatures, sea ice concentrations and ocean surface current velocities[J]. Journal of Marine Science and Engineering, 2022, 10(12): 1854 doi: 10.3390/jmse10121854
    [3] DONG Xiaolong, LIU Yang, HE Jieying, et al. Venus Volcano Imaging and Climate Explorer Mission. Chinese Journal of Space Science, 2022, 42(6): 1047-1059 (in Chinese) (董晓龙, 刘洋, 何杰颖, 等. 金星火山与气候探测任务[J]. 空间科学学报, 2022, 42(6): 1047-1059

    DONG Xiaolong, LIU Yang, HE Jieying, et al. Venus Volcano Imaging and Climate Explorer Mission. Chinese Journal of Space Science, 2022, 42(6): 1047-1059 (in Chinese)
    [4] SHI Jiancheng, GUO Huadong, DONG Xiaolong, et al. Developments and future strategies of Earth science from space in China[J]. Chinese Journal of Space Science, 2021, 41(1): 95-117 (施建成, 郭华东, 董晓龙, 等. 中国空间地球科学发展现状及未来策略[J]. 空间科学学报, 2021, 41(1): 95-117 doi: 10.11728/cjss2021.01.095

    SHI Jiancheng, GUO Huadong, DONG Xiaolong, et al. Developments and future strategies of Earth science from space in China[J]. Chinese Journal of Space Science, 2021, 41(1): 95-117 doi: 10.11728/cjss2021.01.095
    [5] ZHANG Zijin, DONG Xiaolong. Sea level pressure retrieval in mid-to-low latitude regions using FY-3C/MWHTS data[J]. Chinese Journal of Space Science, 2020, 40(3): 364-375 (张子瑾, 董晓龙. 基于FY-3C/MWHTS观测资料反演中低纬度海面气压[J]. 空间科学学报, 2020, 40(3): 364-375 doi: 10.11728/cjss2020.03.364

    ZHANG Zijin, DONG Xiaolong. Sea level pressure retrieval in mid-to-low latitude regions using FY-3C/MWHTS data[J]. Chinese Journal of Space Science, 2020, 40(3): 364-375 doi: 10.11728/cjss2020.03.364
    [6] DONG Xiaolong, ZHU Di, LIN Wenming, et al. Orbit Performances Validation for CFOSAT Scatterometer[J]. Chinese Journal of Space Science, 2020, 40(3): 425-431 (董晓龙, 朱迪, 林文明, 等. 中法海洋卫星微波散射计在轨性能验证[J]. 空间科学学报, 2020, 40(3): 425-431 doi: 10.11728/cjss2020.03.425

    DONG Xiaolong, ZHU Di, LIN Wenming, et al. Orbit Performances Validation for CFOSAT Scatterometer[J]. Chinese Journal of Space Science, 2020, 40(3): 425-431 doi: 10.11728/cjss2020.03.425
    [7] DU Yan, DONG Xiaolong, JIANG Xingwei, et al. Ocean surface current multiscale observation mission[J]. Chinese Journal of Space Science, 2022, 42(5): 849-861 (杜岩, 董晓龙, 蒋兴伟, 等. 全球海表流场多尺度结构观测卫星计划[J]. 空间科学学报, 2022, 42(5): 849-861 doi: 10.11728/cjss2022.05.2022-0047

    DU Yan, DONG Xiaolong, JIANG Xingwei, et al. Ocean surface current multiscale observation mission[J]. Chinese Journal of Space Science, 2022, 42(5): 849-861 doi: 10.11728/cjss2022.05.2022-0047
    [8] ZHANG J Y, DONG X L, ZHU D. Analysis of Doppler spectrum of a spaceborne Doppler scatterometer using an echoed signal simulation model[J]. International Journal of Remote Sensing, 2023, 44(16): 4883-4910 doi: 10.1080/01431161.2023.2240510
    [9] MATZLER C. Microwave permittivity of dry sand[J]. IEEE Transactions on Geoscience and Remote Sensing, 1998, 36(1): 317-319 doi: 10.1109/36.655342
    [10] MÄTZLER C. Microwave permittivity of dry snow[J]. IEEE Transactions on Geoscience and Remote Sensing, 1996, 34(2): 573-581 doi: 10.1109/36.485133
    [11] TIURI M E, SIHVOLA A H, NYFORS E G, et al. The complex dielectric constant of snow at microwave frequencies[J]. IEEE Journal of Oceanic Engineering, 2003, 9(5): 377-382
    [12] ALLEY R B, BOLZAN J F, WHILLANS I M. Polar firn densification and grain growth[J]. Annals of Glaciology, 1982, 3: 7-11 doi: 10.3189/S0260305500002433
  • 加载中
图(22) / 表(1)
计量
  • 文章访问数:  835
  • HTML全文浏览量:  282
  • PDF下载量:  10
  • 被引次数: 

    0(来源:Crossref)

    0(来源:其他)

出版历程
  • 收稿日期:  2024-12-13
  • 修回日期:  2025-05-15
  • 网络出版日期:  2025-05-16

目录

    /

    返回文章
    返回