留言板

尊敬的读者、作者、审稿人, 关于本刊的投稿、审稿、编辑和出版的任何问题, 您可以本页添加留言。我们将尽快给您答复。谢谢您的支持!

姓名
邮箱
手机号码
标题
留言内容
验证码

基于迁移学习的太空台风自动识别

夏凯 邢赞扬 张清和 王艳玲 杨秋菊 陆盛 刘振平

夏凯, 邢赞扬, 张清和, 王艳玲, 杨秋菊, 陆盛, 刘振平. 基于迁移学习的太空台风自动识别[J]. 空间科学学报, 2023, 43(2): 231-240. doi: 10.11728/cjss2023.02.2022-0031
引用本文: 夏凯, 邢赞扬, 张清和, 王艳玲, 杨秋菊, 陆盛, 刘振平. 基于迁移学习的太空台风自动识别[J]. 空间科学学报, 2023, 43(2): 231-240. doi: 10.11728/cjss2023.02.2022-0031
XIA Kai, XING Zanyang, ZHANG Qinghe, WANG Yanling, YANG Qiuju, LU Sheng, LIU Zhenping. Automatic Identification of Space Hurricane Based on Transfer Learning (in Chinese). Chinese Journal of Space Science, 2023, 43(2): 231-240 doi: 10.11728/cjss2023.02.2022-0031
Citation: XIA Kai, XING Zanyang, ZHANG Qinghe, WANG Yanling, YANG Qiuju, LU Sheng, LIU Zhenping. Automatic Identification of Space Hurricane Based on Transfer Learning (in Chinese). Chinese Journal of Space Science, 2023, 43(2): 231-240 doi: 10.11728/cjss2023.02.2022-0031

基于迁移学习的太空台风自动识别

doi: 10.11728/cjss2023.02.2022-0031 cstr: 32142.14.cjss2023.02.2022-0031
基金项目: 国家自然科学基金项目资助(42120104003,41904169,41874170)
详细信息
    作者简介:
    通讯作者:
  • 中图分类号: P352

Automatic Identification of Space Hurricane Based on Transfer Learning

  • 摘要: 太空台风是极盖区内一种新发现的大尺度亮斑状极光结构,直观表征了地磁平静期的一种堪比磁暴的太阳风能量注入现象,这更新了人们对太阳风–磁层–电离层耦合过程的认识,如何从海量星载极光数据中准确髙效识别出太空台风事件具有重要的科学意义。采用深度学习的方法,通过六种网络模型的对比,最终基于迁移学习和EfficientNetB2网络提出了一种太空台风自动识别方法。在2005-2021年美国国防气象卫星(Defense Meteorological Satellite Program,DMSP)上搭载的紫外光谱成像仪(Special Sensor Ultraviolet Spectrographic Imager,SSUSI)的观测数据中验证了该模型的有效性,识别准确率达到97.7%。研究结果表明,该方法可用于从海量星载极光观测数据中自动识别太空台风事件。

     

  • 图  1  太空台风自动识别算法构架

    Figure  1.  Architecture diagram of space hurricane automatic identification

    图  2  迁移学习策略

    Figure  2.  Transfer learning strategy

    图  3  太空台风事例

    Figure  3.  Examples of space hurricane

    图  4  数据预处理

    Figure  4.  Data pre-processing

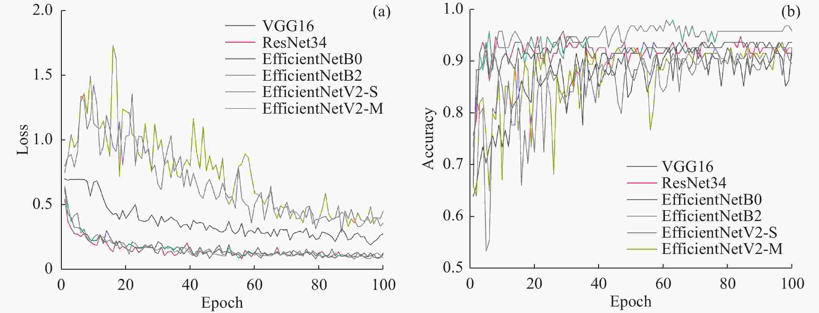
    图  5  6种模型训练集损失率(a)与验证集准确率(b)的变化情况

    Figure  5.  Variation of loss rate in the training set (a) and accuracy rate in the validation set (b) of six models

    图  6  6种模型测试集的混淆矩阵

    Figure  6.  Confusion matrices of six models in the test set

    图  7  MBConv结构

    Figure  7.  MBConv structure

    图  8  太空台风识别卷积层的32个特征图

    Figure  8.  32 feature maps of space hurricane recognition convolution layer

    图  9  太空台风误判事件

    Figure  9.  Misjudgements of space hurricane

    表  1  混淆矩阵

    Table  1.   Confusion matrix

    Confusion matrixTrue labels
    10
    Predicted labels1n1n2
    0n3n4
    下载: 导出CSV

    表  2  6种模型测试集的评价指标

    Table  2.   Evaluation metrics of six models in the test set

    Model nameaprsF1
    VGG0.97000.99300.94670.99330.9693
    ResNet0.96670.97950.95330.98000.9662
    EfficientNetB00.97670.97990.97330.98000.9766
    EfficientNetB20.97670.97350.98000.97330.9767
    EfficientNetV2-S0.92000.92000.92000.92000.9200
    EfficientNetV2-M0.94000.94590.93330.94670.9396
    下载: 导出CSV

    表  3  EfficientNetB0的体系结构

    Table  3.   Architecture of EfficientNetB0

    StageOperatorResolutionChannelsLayers
    1Conv3×3224×224321
    2MBConv1, k3×3112×112161
    3MBConv6, k3×3112×112242
    4MBConv6, k5×556×56402
    5MBConv6, k3×328×28803
    6MBConv6, k5×514×141123
    7MBConv6, k5×514×141924
    8MBConv6, k3×37×73201
    9Conv1×1&Pooling&FC7×712801
    下载: 导出CSV
  • [1] FELDSHTEYN Y I. Some problems concerning the morphology of auroras and magnetic disturbances at high latitudes[J]. Geomagnetism Aeronomy, 1963, 3: 183-192
    [2] FREY H U, IMMEL T J, LU G, et al. Properties of localized, high latitude, dayside aurora[J]. Journal of Geophysical Research: Space Physics, 2003, 108(A4): 8008 doi: 10.1029/2002JA009332
    [3] XING Z Y, ZHANG Q H, HAN D S, et al. Conjugate observations of the evolution of polar cap arcs in both hemispheres[J]. Journal of Geophysical Research: Space Physics, 2018, 123(3): 1794-1805
    [4] HAN D S, FENG H T, ZHANG H, et al. A new type of polar cap arc observed in the ~1500 MLT Sector: 1. Northern hemisphere observations[J]. Geophysical Research Letters, 2020, 47(20): e2020GL090261
    [5] ZHANG Q H, ZHANG Y L, WANG C, et al. A space hurricane over the Earth’s polar ionosphere[J]. Nature Communications, 2021, 12(1): 1207 doi: 10.1038/s41467-021-21459-y
    [6] SYRJÄSUO M T, DONOVAN E F. Diurnal auroral occurrence statistics obtained via machine vision[J]. Annales Geophysicae, 2004, 22(4): 1103-1113 doi: 10.5194/angeo-22-1103-2004
    [7] LI Y C, JIANG N K. An aurora image classification method based on compressive sensing and distributed WKNN[C]//2018 IEEE 42 nd Annual Computer Software and Applications Conference (COMPSAC). Tokyo: IEEE, 2018: 347-354
    [8] KIM S K, RANGANATH H S. Content-based retrieval of aurora images based on the Hierarchical Representation[C]//12 th International Conference on Advanced Concepts for Intelligent Vision Systems. Sydney: Springer, 2010: 249-260
    [9] GONZALEZ R C. Deep convolutional neural networks (Lecture Notes)[J]. IEEE Signal Processing Magazine, 2018, 35(6): 79-87 doi: 10.1109/MSP.2018.2842646
    [10] 佟欣, 邹自明, 白曦, 等. 喉区极光的机器识别[J]. 空间科学学报, 2021, 41(4): 654-666 doi: 10.11728/cjss2021.04.654

    TONG Xin, ZOU Ziming, BAI Xi, et al. Machine identification of throat aurora[J]. Chinese Journal of Space Science, 2021, 41(4): 654-666 doi: 10.11728/cjss2021.04.654
    [11] CLAUSEN L B N, NICKISCH H. Automatic classification of auroral images from the Oslo Auroral THEMIS (OATH) data set using machine learning[J]. Journal of Geophysical Research: Space Physics, 2018, 123(7): 5640-5647 doi: 10.1029/2018JA025274
    [12] KVAMMEN A, WICKSTRØM K, MCKAY D, et al. Auroral image classification with deep neural networks[J]. Journal of Geophysical Research: Space Physics, 2020, 125(10): e2020JA027808
    [13] DONAHUE J, JIA Y Q, VINYALS O, et al. DeCAF: a deep convolutional activation feature for generic visual recognition[C]//Proceedings of the 31 st International Conference on Machine Learning. Beijing: ACM, 2014: I-647-I-655
    [14] 李彦枝, 陈昌红, 谢晓芳, 基于改进卷积神经网络的极光图像分类算法研究[J]. 南京邮电大学学报(自然科学版), 2019, 39(6): 86-93

    LI Y Z, CHEN C H, XIE X F. Research on aurora image classification algorithm based on improved convolutional neural network[J]. Journal of Nanjing University of Posts and Telecommunications (Natural Science Edition), 2019, 39(6): 86-93
    [15] SADO P, CLAUSEN L B N, MILOCH W J, et al. Transfer learning aurora image classification and magnetic disturbance evaluation[J]. Journal of Geophysical Research: Space Physics, 2022, 127(1): e2021JA029683
    [16] Simonyan K, Zisserman A. Very Deep Convolutional Networks for Large-Scale Image Recognition[J]. Computer Science, 2014. DOI: 10.48550/arXiv.1409.1556
    [17] HE K M, ZHANG X Y, REN S Q, et al. Deep residual learning for image recognition[C]//Proceedings of the IEEE Conference on Computer Vision and Pattern Recognition. Las Vegas: IEEE, 2016: 770-778
    [18] TAN M X, LE Q. EfficientNet: Rethinking model scaling for convolutional neural networks[C]//Proceedings of the 36 th International Conference on Machine Learning. Long Beach: PMLR, 2019: 6105-6114
    [19] TAN M X, LE Q. EfficientNetV2: smaller models and faster training[C]//Proceedings of the 38th International Conference on Machine Learning. ElectrNetwork: PMLR, 2021: 10096-10106
    [20] LI H, PAN J K, ZENG H D, et al. Identification of specific substances in the FAIMS spectra of complex mixtures using deep learning[J]. Sensors, 2021, 21(18): 6160 doi: 10.3390/s21186160
    [21] PAN S J, YANG Q. A survey on transfer learning[J]. IEEE Transactions on Knowledge and Data Engineering, 2010, 22(10): 1345-1359 doi: 10.1109/TKDE.2009.191
  • 加载中
图(9) / 表(3)
计量
  • 文章访问数:  950
  • HTML全文浏览量:  319
  • PDF下载量:  63
  • 被引次数: 

    0(来源:Crossref)

    0(来源:其他)

出版历程
  • 收稿日期:  2022-07-11
  • 录用日期:  2022-11-21
  • 修回日期:  2022-10-22
  • 网络出版日期:  2022-11-28

目录

    /

    返回文章
    返回