星载SAR图像方位角计算及其对风速反演影响评估
doi: 10.11728/cjss2023.06.2023-0077 cstr: 32142.14.cjss2023.06.2023-0077
Calculation of Spaceborne SAR Image Heading and Its Impact on Wind Speed Retrieval
-
摘要: 星载合成孔径雷达(Synthetic Aperture Radar, SAR)是海洋常规观测的重要技术手段,然而在其数据处理和关键物理参数反演中,SAR图像方位角$ {\phi }_{\mathrm{I}\mathrm{M}\mathrm{G}} $和卫星飞行方向角$ {\phi }_{\mathrm{S}\mathrm{A}\mathrm{T}} $相混淆的情况普遍存在,影响SAR海面风速的反演精度。对此,根据SAR图像方位角的定义,结合空间卫星坐标系转换关系推导了$ {\phi }_{\mathrm{I}\mathrm{M}\mathrm{G}} $,并进一步提出了基于SAR图像地面控制点的$ {\phi }_{\mathrm{I}\mathrm{M}\mathrm{G}} $计算方法。通过对比分析2016年全球近70万景哨兵一号卫星波模式SAR图像,量化了$ {\phi }_{\mathrm{I}\mathrm{M}\mathrm{G}} $与$ {\phi }_{\mathrm{S}\mathrm{A}\mathrm{T}} $的系统偏差,发现该偏差与雷达入射角和轨道方向紧密相关。选用五次多项式拟合该偏差随纬度的变化规律,同时发现将卫星飞行方向角近似等于SAR图像方位角会引起海面风场反演误差,该误差空间分布不均,且升轨降轨有所差异,风速误差最大可达 ±0.5 m·s–1。研究结果表明,$ {\phi }_{\mathrm{I}\mathrm{M}\mathrm{G}} $的正确计算和使用对于SAR地球科学研究具有重要意义,本文提出的$ {\phi }_{\mathrm{I}\mathrm{M}\mathrm{G}} $计算方法对其他SAR卫星系列也具有实际参考价值。Abstract: The spaceborne Synthetic Aperture Radar (SAR) is a broadly acknowledged technique to monitor the vast open ocean. However, a frequent confusion between the SAR image azimuth angle $ {\phi }_{\mathrm{I}\mathrm{M}\mathrm{G}} $ and the satellite flight direction $ {\phi }_{\mathrm{S}\mathrm{A}\mathrm{T}} $ exists in the data processing and geophysical applications, which influences for instance the accuracy of SAR wind inversions. An overview of $ {\phi }_{\mathrm{I}\mathrm{M}\mathrm{G}} $ derivation from the transformation of the spatial satellite coordinate systems is presented in this paper, along with a method for calculating $ {\phi }_{\mathrm{I}\mathrm{M}\mathrm{G}} $ based on the Ground Control Points (GCP). By analyzing a set of 0.7 million Sentinel-1 SAR wave mode images acquired in 2016, we quantify the systematic bias between $ {\phi }_{\mathrm{I}\mathrm{M}\mathrm{G}} $ and $ {\phi }_{\mathrm{S}\mathrm{A}\mathrm{T}} $ and find out that this bias is related to the incidence angle and orbital direction. It can be accurately fitted using a fifth-order polynomial relative to latitude. The misuse of $ {\phi }_{\mathrm{S}\mathrm{A}\mathrm{T}} $ is demonstrated to approximate $ {\phi }_{\mathrm{I}\mathrm{M}\mathrm{G}} $ can lead to nonnegligible wind retrieval errors. The spatial distribution of this wind error is non-uniform and differs between ascending and descending orbits, with a wind speed bias of ±0.5 m·s–1. Results obtained in this study evidence that the precise estimate of $ {\phi }_{\mathrm{I}\mathrm{M}\mathrm{G}} $ are significant to various SAR applications in relevant studies. The proposed method here also holds practical reference for other satellite SAR missions.
-
Key words:
- Synthetic Aperture Radar (SAR) /
- Azimuth angle /
- Wind retrieval accuracy /
- Sentinel-1
-
图 1 不考虑(a)和考虑(b)地球曲面的星载SAR成像几何概念。ϕSAT和ϕIMG分别为卫星飞行方向和SAR图像方位向与地理北极的夹角
Figure 1. Illustration of SAR imaging geometries without (a) and with (b) consideration of the curved Earth’s surface. The satellite heading ϕSAT is the angle of its flighting direction relative to the North. The image heading ϕIMG is the angle of geolocated azimuth direction of each pixel relative to the North
图 3 哨兵一号波模式SAR图像升轨(a)与降轨(b)案例。蓝色点为GCPs位置,蓝色箭头为利用GCPs计算的图像方位角$ {\phi }_{\mathrm{I}\mathrm{M}\mathrm{G}} $,红色箭头为卫星飞行方向$ {\phi }_{\mathrm{S}\mathrm{A}\mathrm{T}} $
Figure 3. Two Sentinel-1WV cases of ascending (a) and descending (b) showing the GCPs in blue points, $ {\phi }_{{\mathrm{IMG}}} $ calculated using GCPs in blue arrows and $ {\phi }_{\mathrm{S}\mathrm{A}\mathrm{T}} $ in red arrows
图 4 2016年全球哨兵一号波模式SAR图像方位角$ {\phi }_{\mathrm{I}\mathrm{M}\mathrm{G}} $与卫星飞行方向$ {\phi }_{\mathrm{S}\mathrm{A}\mathrm{T}} $差值分布。 (a)和(b)分别为WV1 (23°入射角)升轨与降轨。(c)和(d)分别为WV2 (36°入射角)升轨与降轨
Figure 4. Global maps of the difference between image heading $ {\phi }_{\mathrm{I}\mathrm{M}\mathrm{G}} $ and satellite heading $ {\phi }_{\mathrm{S}\mathrm{A}\mathrm{T}} $ for S-1 A WV1 ASC (a), WV1 DSC (b), WV2 ASC (c) and WV2 DSC (d) SAR data acquired in 2016
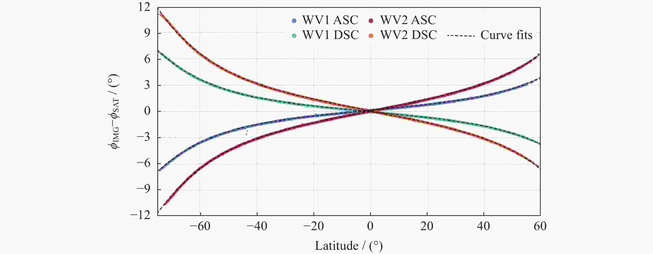
图 5 2016年全球哨兵一号波模式SAR图像方位角$ {\phi }_{\mathrm{I}\mathrm{M}\mathrm{G}} $与卫星飞行方向$ {\phi }_{\mathrm{S}\mathrm{A}\mathrm{T}} $的差值散点图。黑色虚线为利用五次多项式对WV1升轨与降轨和WV2升轨与降轨数据的拟合,拟合参数见表1
Figure 5. Scatters of the difference between image heading $ {\phi }_{\mathrm{I}\mathrm{M}\mathrm{G}} $and satellite heading $ {\phi }_{\mathrm{S}\mathrm{A}\mathrm{T}} $ along latitude for S-1 A WV SAR data acquired in 2016. Curve fits in dashed lines are performed using the fifth order polynomial function with coefficients listed in Table 1
图 6 利用$ {\phi }_{\mathrm{S}\mathrm{A}\mathrm{T}} $和$ {\phi }_{\mathrm{I}\mathrm{M}\mathrm{G}} $对2016年全球哨兵一号 WV SAR数据进行风速反演的偏差。(a)和(b)分别为WV1 (23°入射角)升轨与降轨。(c)和(d)分别为WV2 (36°入射角)升轨与降轨。反演算法统一使用C-SARMOD GMF和ERA5再分析数据的10 m高度处风向。正值和负值分别代表高估和低估
Figure 6. Global mean biases of SAR retrieved sea surface wind speed using between the satellite heading and image heading. (a) and (b) are WV1 ascending and descending, and (c) and (d) are WV2 ascending and descending, respectively. The C-SARMOD GMF is used with wind direction inputs of ERA5 U10. Positives and negatives here mean overestimates and underestimates, respectively
图 7 利用$ {\phi }_{\mathrm{I}\mathrm{M}\mathrm{G}} $的2016年全球哨兵一号波模式 SAR数据风速反演精度。(a)和(b)分别为WV1升轨与降轨。(c)和(d)分别为WV2升轨与降轨。对比风速为ERA5再分析数据
Figure 7. Accuracy of wind speed retrieved using $ {\phi }_{\mathrm{I}\mathrm{M}\mathrm{G}} $ from the Sentinel-1 WV SAR data in 2016. (a)~(d) are for WV1 ASC, WV1 DSC, WV2 ASC and WV2 DSC, respectively. The reference wind speed is from ERA5 reanalysis product
表 1 图5中五次多项式对WV1升轨与降轨和WV2升轨与降轨数据的拟合系数
Table 1. Coefficients of the fifth order polynomial fit of the curves shown in Fig. 5
c0 c1 c2 c3 c4 c5 WV1 ASC 8.257×10–1 3.390×10–2 7.290×10–1 7.280×10–1 1.806×100 8.826×10–2 WV1 DSC –8.264×10–1 –0.843×10–2 –0.709×100 –0.202×10–1 –1.813×100 –0.863×10–1 WV2 ASC 1.081×100 –5.653×10–2 1.210×100 5.733×10–2 3.694×100 1.052×10–3 WV2 DSC –1.299×100 –8.776×10–3 –9.296×10–1 –4.119×10–2 –3.753×100 2.256×10–4 -
[1] FU L L, HOLT B. Seasat Views Oceans and Sea Ice with Synthetic-Aperture Radar[M]. Pasadena, California: National Aeronautics and Space Administration, 1982: 81 [2] MOREIRA A, PRATS-IRAOLA P, YOUNIS M, et al. A tutorial on synthetic aperture radar[J]. IEEE Geoscience and Remote Sensing Magazine, 2013, 1(1): 6-43 doi: 10.1109/MGRS.2013.2248301 [3] 陈立泽, 申旭辉, 田勤俭. 合成孔径雷达(SAR)及其在地质和地震研究中的应用[J]. 地震, 2003, 23(1): 29-35 doi: 10.3969/j.issn.1000-3274.2003.01.005CHEN Lize, SHEN Xuhui, TIAN Qinjian. SAR technique and its application to geologic and seismic research[J]. Earthquake, 2003, 23(1): 29-35 doi: 10.3969/j.issn.1000-3274.2003.01.005 [4] 陈艳玲, 丁晓利, 黄珹, 等. 星载SAR在海气边界层气象学中的应用研究[J]. 遥感技术与应用, 2007, 22(2): 238-241 doi: 10.3969/j.issn.1004-0323.2007.02.023CHEN Yanling, DING Xiaoli, HUANG Cheng, et al. The preliminary study on marine atmospheric boundary layer using synthetic aperture radar[J]. Remote Sensing Technology and Application, 2007, 22(2): 238-241 doi: 10.3969/j.issn.1004-0323.2007.02.023 [5] FU L L, LEE T, LIU W T, et al. 50 years of satellite remote sensing of the ocean[J]. Meteorological Monographs, 2019, 59(1): 5.1-5.46 [6] WANG C, TANDEO P, MOUCHE A, et al. Classification of the global Sentinel-1 SAR vignettes for ocean surface process studies[J]. Remote Sensing of Environment, 2019, 234: 111457 doi: 10.1016/j.rse.2019.111457 [7] JACKSON C R, APEL J R. Synthetic Aperture Radar Marine User’s Manual[R]. Washington DC: National Oceanic and Atmospheric Administration, 2004 [8] TORRES R, SNOEIJ P, GEUDTNER D, et al. GMES Sentinel-1 mission[J]. Remote Sensing of Environment, 2012, 120: 9-24 doi: 10.1016/j.rse.2011.05.028 [9] CHRISTIANSEN M B, KOCH W, HORSTMANN J, et al. Wind resource assessment from C-band SAR[J]. Remote Sensing of Environment, 2006, 105(1): 68-81 doi: 10.1016/j.rse.2006.06.005 [10] STOFFELEN A, ANDERSON D. Scatterometer data interpretation: estimation and validation of the transfer function CMOD4[J]. Journal of Geophysical Research: Oceans, 1997, 102(C3): 5767-5780 doi: 10.1029/96JC02860 [11] QUILFEN Y, CHAPRON B, ELFOUHAILY T, et al. Observation of tropical cyclones by high-resolution scatterometry[J]. Journal of Geophysical Research: Oceans, 1998, 103(C4): 7767-7786 doi: 10.1029/97JC01911 [12] ALPERS W, BRÜMMER B. Atmospheric boundary layer rolls observed by the synthetic aperture radar aboard the ERS-1 satellite[J]. Journal of Geophysical Research: Oceans, 1994, 99(C6): 12613-12621 doi: 10.1029/94JC00421 [13] YOUNG G S, SIKORA T D, WINSTEAD N S. Inferring marine atmospheric boundary layer properties from spectral characteristics of satellite-borne SAR imagery[J]. Monthly Weather Review, 2000, 128(5): 1506-1520 doi: 10.1175/1520-0493(2000)128<1506:IMABLP>2.0.CO;2 [14] MOURAD P D, THOMPSON D R, VANDEMARK D C. Extracting fine-scale wind fields from synthetic aperture radar images of the ocean surface[J]. Johns Hopkins APL Technical Digest, 2000, 21(1): 108-115 [15] MOUCHE A A, HAUSER D, KUDRYAVTSEV V. Radar scattering of the ocean surface and sea-roughness properties: a combined analysis from dual-polarizations airborne radar observations and models in C band[J]. Journal of Geophysical Research: Oceans, 2006, 111(C9): C09004 [16] FRANCESCHETTI G, LANARI R. Synthetic Aperture Radar Processing[M]. Boca Raton: CRC Press, 1999 [17] CUMMING I G, WONG F H. Digital Processing of Synthetic Aperture Radar Data: Algorithms and Implementation[M]. Boston: Artech House, 2005 [18] MASSONNET D, SOUYRIS J C. Imaging with Synthetic Aperture Radar[M]. New York: EPFL Press, 2008 [19] CURLANDER J C. Location of spaceborne SAR imagery[J]. IEEE Transactions on Geoscience and Remote Sensing, 1982, GE-20(3): 359-364 doi: 10.1109/TGRS.1982.350455 [20] TOUTIN T. Review article: geometric processing of remote sensing images: models, algorithms and methods[J]. International Journal of Remote Sensing, 2004, 25(10): 1893-1924 doi: 10.1080/0143116031000101611 [21] SCHUBERT A, SMALL D, MIRANDA N, et al. Sentinel-1A product geolocation accuracy: commissioning phase results[J]. Remote Sensing, 2015, 7(7): 9431-9449 doi: 10.3390/rs70709431 [22] GISINGER C, SCHUBERT A, BREIT H, et al. In-depth verification of sentinel-1 and TerraSAR-X geolocation accuracy using the Australian corner reflector array[J]. IEEE Transactions on Geoscience and Remote Sensing, 2021, 59(2): 1154-1181 doi: 10.1109/TGRS.2019.2961248 [23] VINCENTY T. Direct and inverse solutions of geodesics on the ellipsoid with application of nested equations[J]. Survey Review, 1975, 23(176): 88-93 doi: 10.1179/sre.1975.23.176.88 [24] LIN H, XU Q, ZHENG Q A. An overview on SAR measurements of sea surface wind[J]. Progress in Natural Science, 2008, 18(8): 913-919 doi: 10.1016/j.pnsc.2008.03.008 [25] LI H M, MOUCHE A, STOPA J E. Impact of sea state on wind retrieval from sentinel-1 wave mode data[J]. IEEE Journal of Selected Topics in Applied Earth Observations and Remote Sensing, 2019, 12(2): 559-566 doi: 10.1109/JSTARS.2019.2893890 -
-
下载: