留言板

尊敬的读者、作者、审稿人, 关于本刊的投稿、审稿、编辑和出版的任何问题, 您可以本页添加留言。我们将尽快给您答复。谢谢您的支持!

姓名
邮箱
手机号码
标题
留言内容
验证码

行星科学研究中热发射光谱的实验测量与定标方法

杨亚洲 MILLIKEN Ralph E BRAMBLE Michael S PATTERSON William R 邹永廖 刘洋

杨亚洲, MILLIKEN Ralph E, BRAMBLE Michael S, PATTERSON William R, 邹永廖, 刘洋. 行星科学研究中热发射光谱的实验测量与定标方法[J]. 空间科学学报, 2024, 44(2): 270-286. doi: 10.11728/cjss2024.01.2023-0116
引用本文: 杨亚洲, MILLIKEN Ralph E, BRAMBLE Michael S, PATTERSON William R, 邹永廖, 刘洋. 行星科学研究中热发射光谱的实验测量与定标方法[J]. 空间科学学报, 2024, 44(2): 270-286. doi: 10.11728/cjss2024.01.2023-0116
YANG Yazhou, MILLIKEN Ralph E, BRAMBLE Michael S, PATTERSON William R, ZOU Yongliao, LIU Yang. Laboratory Thermal Emission Spectral Measurement and Calibration Methods for Planetary Science Research (in Chinese). Chinese Journal of Space Science, 2024, 44(2): 270-286 doi: 10.11728/cjss2024.01.2023-0116
Citation: YANG Yazhou, MILLIKEN Ralph E, BRAMBLE Michael S, PATTERSON William R, ZOU Yongliao, LIU Yang. Laboratory Thermal Emission Spectral Measurement and Calibration Methods for Planetary Science Research (in Chinese). Chinese Journal of Space Science, 2024, 44(2): 270-286 doi: 10.11728/cjss2024.01.2023-0116

行星科学研究中热发射光谱的实验测量与定标方法

doi: 10.11728/cjss2024.01.2023-0116 cstr: 32142.14.cjss2024.01.2023-0116
基金项目: 中国科协青年人才托举工程(2021QNRC001)
详细信息
    作者简介:
    • 杨亚洲:男, 1990年9月出生于湖北省孝感市, 现为中国科学院国家空间科学中心副研究员, 主要研究方向为行星光谱学、无大气天体表面的空间风化作用等. E-mail: yangyazhou@nssc.ac.cn
  • 中图分类号: O433

Laboratory Thermal Emission Spectral Measurement and Calibration Methods for Planetary Science Research

  • 摘要: 准确的物质组成信息是解译行星体形成与演化历史的关键, 可见–近红外遥感光谱探测一直是获取行星表面成分的主要技术手段. 在热红外谱段光谱特征更为丰富, 因此随着探测技术的发展, 其在行星探测中得到越来越多的应用. 尤其是在目前已经实施与立项的国内外小行星探测任务中, 都将热发射光谱仪作为核心载荷之一. 为了更好地对将来获取的热发射光谱数据进行解译, 建立科学合理的数据处理与定标方案是必不可少的. 本文对用于行星科学研究的热发射光谱测量装置的设计、测量及数据处理方法进行了系统分析. 针对低温、真空条件下热发射测量过程中样品辐射信号与仪器辐射信号难以分离的问题, 提出并论证了基于傅里叶变换红外光谱仪原始测量信号–干涉图的数据处理方法. 该方法可以更为有效地分离出样品实际辐射信号, 从而获得更为准确的发射率光谱数据. 研究结果可为国内相关热发射测量装置的设计与搭建以及未来天问二号等探测数据的处理与科学解译提供参考.

     

  • 图  1  可见–近红外与中红外波段月表反射太阳光与自身热发射的光强分布

    Figure  1.  Light reflected and emitted from the Moon surface in the visible and near-infrared and mid-infrared wavelengths

    图  2  月表主要矿物的可见–近红外反射光谱与热红外发射光谱. 光谱数据分别源自RELAB[24]与ASU光谱数据库(http://speclib.asu.edu/), #后编号为对应的光谱数据ID

    Figure  2.  Visible and near-infrared reflectance and thermal infrared emission spectra of typical lunar-type minerals. The spectral data are collected from the RELAB[24] and ASU spectral databases (http://speclib.asu.edu/), respectively. The numbers after # are the corresponding spectral data ID in those two database

    图  3  热发射测量装置的组成与辐射信号光路(Es表示从样品表面辐射与反射出的能量; Ed表示由探测器辐射出的经干涉仪调制后又反射到探测器的能量; Rs为样品表面反射率, Rs·Eenv表示样品腔内部环境辐射能量经样品表面反射后 进入探测器的能量. 左边FTIR光谱仪光路图是基于Bruker VertexTM光谱仪内部光路图绘制的)

    Figure  3.  Configurations for general setup of thermal emission measurement device and the optical path of emitted light. Es represents the energies emitted and reflected by the sample surface. Ed represents the energy emitted from the detector that is modulated by the interferometer and then reflected back to the detector. Rs is the reflectance of sample surface, and Rs·Eenv represents the energy emitted by the internal environment of the chamber and reflected by the sample (The optical path diagram of the FTIR spectrometer in the left is based on the internal configuration of the Bruker VertexTM spectrometer)

    图  4  基于普朗克黑体辐射公式计算得到的探测器与 红外光源辐射能量对比

    Figure  4.  Comparison of radiation energy between detector and infrared light source calculated based on the Planck blackbody radiation formula

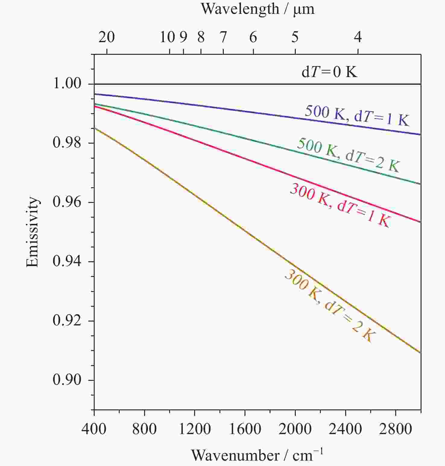
    图  5  温度偏差对发射率的影响

    Figure  5.  Effects of temperature differences on the derived emissivity

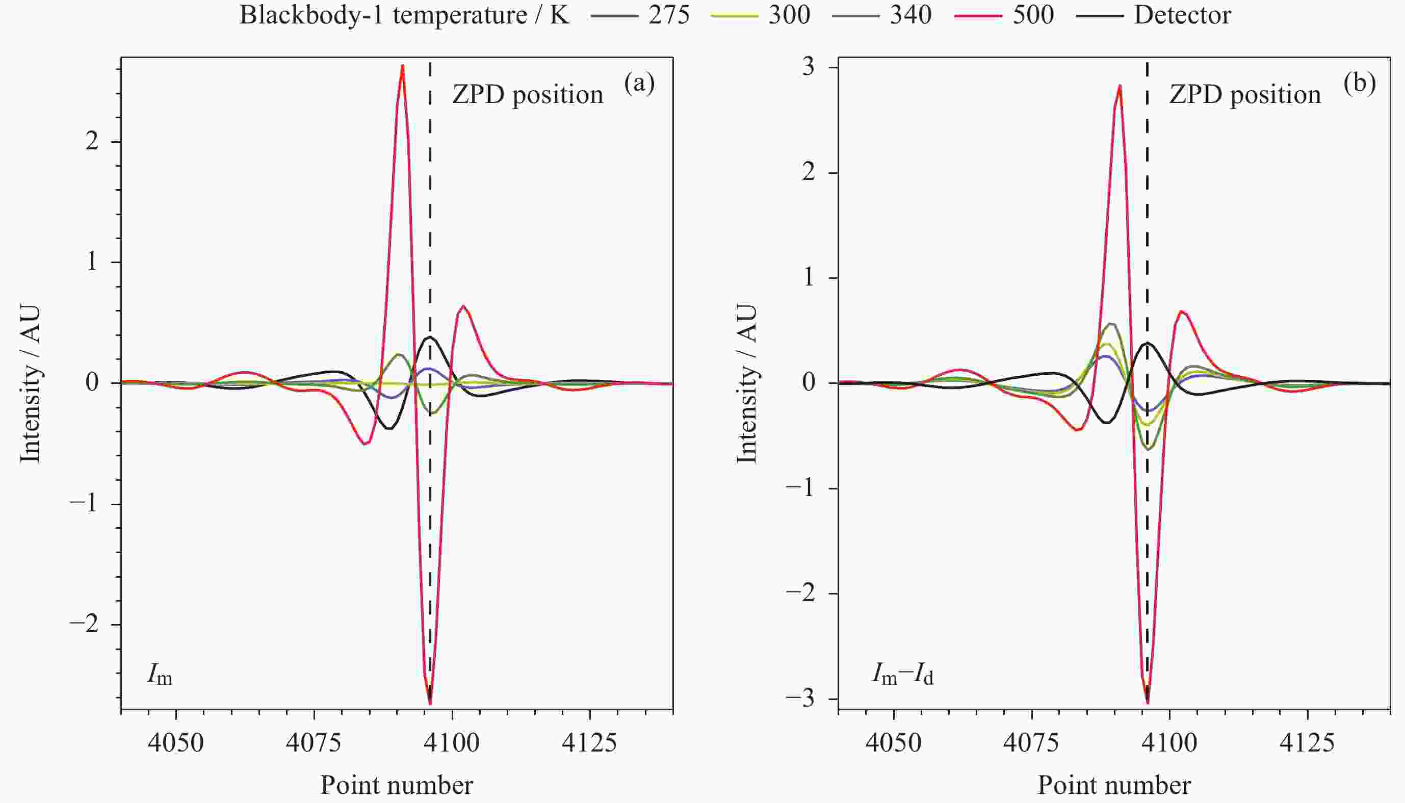
    图  6  低温真空条件下将黑体1加热至不同温度测得的信号(箭头所示方向为黑体温度逐渐升高的方向)

    Figure  6.  Signals measured by heating blackbody-1 to different temperatures under cold vacuum conditions. The arrows in the plot indicate the increasing trend of the blackbody’s temperature

    图  7  低温真空条件下将黑体2加热至不同温度测得的信号(箭头所示方向为黑体温度逐渐升高的方向)

    Figure  7.  Signals measured by heating blackbody-2 to different temperatures under cold vacuum conditions. The arrows in the plot indicate the increasing trend of the blackbody’s temperature

    图  8  迈克逊干涉仪光路

    Figure  8.  Schematic diagram for Michelson interferometer

    图  9  基于理论公式计算得到的红外光源光强与包含不同相位偏差的干涉信号示例

    Figure  9.  Spectra of infrared light source and corresponding interferograms with or without phase error based on theoretical calculations

    图  10  探测器与不同温度下黑体的实测干涉信号对比

    Figure  10.  Comparison of measured interferograms between the detector and the blackbody with varied temperatures

    图  11  源自外部光源与探测器本身辐射的光经过分束器后的相位变化

    Figure  11.  Phase changes of the radiation light from the external light source and the detector itself after passing through the beam splitter

    图  12  在干涉图层面扣除仪器辐射信号后再进行傅里叶变换等处理得到的两个自制黑体在不同温度下的实际辐射信号

    Figure  12.  Actual radiation signals of two self-made blackbodies at different temperatures with the instrument radiation signal subtracted based on their interferograms

    表  1  热发射测量装置的指标参考

    Table  1.   Some references for thermal emission measurement device

    指标类型 ALEC[52] PARSEC[54] PASCALE[59,60]
    FTIR光谱仪型号 NicoletTM Nexus 870 NicoletTM 6700 BrukerTM Vertex 70 V
    分束器 KBr KBr 宽谱段T240/3
    检测器类型 DTGS DLaTGS 宽谱段DTGS
    光谱范围 400~4000 cm–1 400~2200 cm–1 6000~50 cm–1
    温度传感器与温控精度 铂电阻温度计, <1 K (未提及) 铂电阻温度计, ±0.3 K
    样品腔真空度 <10–4 mbar 10–5 mbar <10–4 mbar
    样品杯底部加热 电阻加热
    最高可达约620 K
    电阻加热 电阻加热
    顶部模拟太阳光照 卤钨灯: 功率可调
    照射角度: 30°
    卤钨灯: 功率可调
    照射角度: 55°
    卤钨灯: 功率可调
    照射角度: 55°
    样品腔最低温度 约85 K <150 K <125 K
    低温真空下测量时
    样品温度设定值
    底部加热+顶部加热: 350~500 K 底部加热+顶部加热: 约350 K 底部加热+顶部加热: 亮温350±3 K
    低温真空下测量时
    黑体温度设定值
    低温: 约85 K
    高温: ≥500 K
    低温: 330±0.5 K
    高温: 370±0.5 K
    低温: 340 K
    高温: 360 K
     ALEC: Asteroid and Lunar Environmental Chamber at Brown University. PARSEC: Planetary and Asteroid Regolith Spectroscopy Environmental Chamber at Stony Brook University. PASCALE: Planetary Analogue Surface Chamber for Asteroid and Lunar Environments at Oxford University.
    下载: 导出CSV
  • [1] SHKURATOV Y, KAYDASH V, KOROKHIN V, et al. Optical measurements of the Moon as a tool to study its surface[J]. Planetary and Space Science, 2011, 59(13): 1326-1371 doi: 10.1016/j.pss.2011.06.011
    [2] CLARK R N, ROUSH T L. Reflectance spectroscopy: Quantitative analysis techniques for remote sensing applications[J]. Journal of Geophysical Research: Solid Earth, 1984, 89(B7): 6329-6340 doi: 10.1029/JB089iB07p06329
    [3] LEMELIN M, LUCEY P G, MILJKOVIĆ K, et al. The compositions of the lunar crust and upper mantle: Spectral analysis of the inner rings of lunar impact basins[J]. Planetary and Space Science, 2019, 165: 230-243 doi: 10.1016/j.pss.2018.10.003
    [4] MILJKOVIĆ K, WIECZOREK M A, COLLINS G S, et al. Excavation of the lunar mantle by basin-forming impact events on the Moon[J]. Earth and Planetary Science Letters, 2015, 409: 243-251 doi: 10.1016/j.jpgl.2014.10.041
    [5] MORIARTY DANIEL P III, DYGERT N, VALENCIA S N, et al. The search for lunar mantle rocks exposed on the surface of the Moon[J]. Nature Communications, 2021, 12(1): 4659 doi: 10.1038/s41467-021-24626-3
    [6] HESS P C, PARMENTIER E M. A model for the thermal and chemical evolution of the Moon’s interior: Implications for the onset of mare volcanism[J]. Earth and Planetary Science Letters, 1995, 134(3/4): 501-514
    [7] JOLLIFF B L, GILLIS J J, HASKIN L A, et al. Major lunar crustal terranes: Surface expressions and crust-mantle origins[J]. Journal of Geophysical Research: Planets, 2000, 105(E2): 4197-4216 doi: 10.1029/1999JE001103
    [8] PIETERS C M, NOBLE S K. Space weathering on airless bodies[J]. Journal of Geophysical Research: Planets, 2016, 121(10): 1865-1884 doi: 10.1002/2016JE005128
    [9] GUEYMARD C A. Revised composite extraterrestrial spectrum based on recent solar irradiance observations[J]. Solar Energy, 2018, 169: 434-440 doi: 10.1016/j.solener.2018.04.067
    [10] MATTHEWS G. Celestial body irradiance determination from an underfilled satellite radiometer: application to albedo and thermal emission measurements of the Moon using CERES[J]. Applied Optics, 2008, 47(27): 4981-4993 doi: 10.1364/AO.47.004981
    [11] WILLIAMS J P, PAIGE D A, GREENHAGEN B T, et al. The global surface temperatures of the Moon as measured by the Diviner Lunar Radiometer Experiment[J]. Icarus, 2017, 283: 300-325 doi: 10.1016/j.icarus.2016.08.012
    [12] FONTENLA J, WHITE O R, FOX P A, et al. Calculation of solar irradiances. I. Synthesis of the solar spectrum[J]. The Astrophysical Journal, 1999, 518(1): 480-499 doi: 10.1086/307258
    [13] CLARK R N. Spectroscopy of rocks and minerals and principles of spectroscopy[M]//Remote Sensing for the Earth Sciences: Manual of Remote Sensing. New York: John Wiley and Sons, 1999: 3-58
    [14] BURNS R G. Mineralogical Applications of Crystal Field Theory[M]. Cambridge: Cambridge University Press, 1993
    [15] CLOUTIS E A, GAFFEY M J, JACKOWSKI T L, et al. Calibrations of phase abundance, composition, and particle size distribution for olivine-orthopyroxene mixtures from reflectance spectra[J]. Journal of Geophysical Research: Solid Earth, 1986, 91(B11): 11641-11653 doi: 10.1029/JB091iB11p11641
    [16] GAFFEY M J, BELL J F, BROWN R H, et al. Mineralogical variations within the S-type asteroid class[J]. Icarus, 1993, 106(2): 573-602 doi: 10.1006/icar.1993.1194
    [17] YANG Y Z, LIN H L, LIU Y, et al. The effects of viewing geometry on the spectral analysis of lunar regolith as inferred by in situ spectrophotometric measurements of Chang’E-4[J]. Geophysical Research Letters, 2020, 47(8): e2020GL087080 doi: 10.1029/2020GL087080
    [18] ZHANG X Y, ZHU M H, BUGIOLACCHI R. Mafic minerals in the South Pole-Aitken basin[J]. Journal of Geophysical Research: Planets, 2019, 124(6): 1581-1591 doi: 10.1029/2018JE005870
    [19] HAPKE B. Theory of Reflectance and Emittance Spectroscopy[M]. 2nd ed. Cambridge: Cambridge University Press, 2012
    [20] LI S, LI L. Radiative transfer modeling for quantifying lunar surface minerals, particle size, and submicroscopic metallic Fe[J]. Journal of Geophysical Research: Planets, 2011, 116(E9): E09001
    [21] Yang Y Z, Li S, Milliken R E, et al. Phase functions of typical lunar surface minerals derived for the Hapke model and implications for visible to near-infrared spectral unmixing[J]. Journal of Geophysical Research: Planets, 2019, 124(1): 31-60 doi: 10.1029/2018JE005713
    [22] GLOTCH T D, LUCEY G, BANDFIELD J L, et al. Highly silicic compositions on the Moon[J]. Science, 2010, 329(5998): 1510-1513 doi: 10.1126/science.1192148
    [23] KAPLAN H H, MILLIKEN R E, ALEXANDER C M O D, et al. Reflectance spectroscopy of insoluble organic matter (IOM) and carbonaceous meteorites[J]. Meteoritics & Planetary Science, 2019, 54(5): 1051-1068
    [24] MILLIKEN R E, HIROI T, SCHOLES D, et al. The NASA Reflectance Experiment LABoratory (RELAB) facility: An online spectral database for planetary exploration[C]. LPI Contributions, 2021, 2654
    [25] HARRIS D C, BERTOLUCCI M D. Symmetry and Spectroscopy: An Introduction to Vibrational and Electronic Spectroscopy[M]. New York: Dover Publications, 1989
    [26] BISHOP J L, LANE M D, DYAR M D, et al. Reflectance and emission spectroscopy study of four groups of phyllosilicates: smectites, kaolinite-serpentines, chlorites and micas[J]. Clay Minerals, 2008, 43(1): 35-54 doi: 10.1180/claymin.2008.043.1.03
    [27] CHRISTENSEN R, BANDFIELD J L, HAMILTON V E, et al. A thermal emission spectral library of rock-forming minerals[J]. Journal of Geophysical Research: Planets, 2000, 105(E4): 9735-9739 doi: 10.1029/1998JE000624
    [28] COOPER B L, SALISBURY J W, KILLEN R M, et al. Midinfrared spectral features of rocks and their powders[J]. Journal of Geophysical Research: Planets, 2002, 107(E4): 1-1-1-17
    [29] LANE M D. Mid-infrared emission spectroscopy of sulfate and sulfate-bearing minerals[J]. American Mineralogist, 2007, 92(1): 1-18 doi: 10.2138/am.2007.2170
    [30] DU P X, YUAN P, LIU J C, et al. Clay minerals on Mars: An up-to-date review with future perspectives[J]. Earth-Science Reviews, 2023, 243: 104491 doi: 10.1016/j.earscirev.2023.104491
    [31] 赵珊茸. 结晶学及矿物学[M]. 3版. 北京: 高等教育出版社, 2017

    ZHAO Shanrong. Crystallography and Mineralogy[M]. 3rd Edition, Beijing: Higher Education Press, 2017
    [32] NOEL Y, CATTI M, D’ARCO P, et al. The vibrational frequencies of forsterite Mg2SiO4: an all-electron ab initio study with the CRYSTAL code[J]. Physics and Chemistry of Minerals, 2006, 33(6): 383-393 doi: 10.1007/s00269-006-0085-y
    [33] YANG Y Z, JIANG T, LIU Y, et al. A micro mid-infrared spectroscopic study of Chang’e-5 sample[J]. Journal of Geophysical Research: Planets, 2022, 127(8): e2022JE007453 doi: 10.1029/2022JE007453
    [34] CHRISTENSEN P R, ANDERSON D L, CHASE S C, et al. Thermal emission spectrometer experiment: Mars Observer mission[J]. Journal of Geophysical Research: Planets, 1992, 97(E5): 7719-7734 doi: 10.1029/92JE00453
    [35] SALISBURY J W, WALTER L S. Thermal infrared (2.5-13.5 μm) spectroscopic remote sensing of igneous rock types on particulate planetary surfaces[J]. Journal of Geophysical Research: Solid Earth, 1989, 94(B7): 9192-9202 doi: 10.1029/JB094iB07p09192
    [36] HAMILTON V E. Thermal infrared (vibrational) spectroscopy of Mg–Fe olivines: A review and applications to determining the composition of planetary surfaces[J]. Geochemistry, 2010, 70(1): 7-33 doi: 10.1016/j.chemer.2009.12.005
    [37] ZENG X J, LI X Y, MARTIN D, et al. Micro-FTIR spectroscopy of lunar pyroclastic and impact glasses as a new diagnostic tool to discern them[J]. Journal of Geophysical Research: Planets, 2019, 124(12): 3267-3282 doi: 10.1029/2019JE006237
    [38] HUNT G R, SALISBURY J W. Mid-infrared spectroscopic observations of the Moon[J]. Philosophical Transactions of the Royal Society of London. Series A, Mathematical and Physical Sciences, 1969, 264(1150): 109-139 doi: 10.1098/rsta.1969.0005
    [39] MURCRAY F H, MURCRAY D G, WILLIAMS W J. Infrared emissivity of lunar surface features: 1. Balloon-borne observations[J]. Journal of Geophysical Research, 1970, 75(14): 2662-2669 doi: 10.1029/JB075i014p02662
    [40] CHRISTENSEN R, BANDFIELD J L, HAMILTON V E, et al. Mars Global Surveyor Thermal Emission Spectrometer experiment: Investigation description and surface science results[J]. Journal of Geophysical Research: Planets, 2001, 106(E10): 23823-23871 doi: 10.1029/2000JE001370
    [41] GREENHAGEN B T, LUCEY G, WYATT M B, et al. Global silicate mineralogy of the Moon from the Diviner lunar radiometer[J]. Science, 2010, 329(5998): 1507-1509 doi: 10.1126/science.1192196
    [42] RUFF S W, CHRISTENSEN R R, BLANEY D L, et al. The rocks of Gusev Crater as viewed by the Mini-TES instrument[J]. Journal of Geophysical Research: Planets, 2006, 111(E12): E12S18
    [43] AMIRI H E S, BRAIN D, SHARAF O, et al. The emirates mars mission[J]. Space Science Reviews, 2022, 218(1): 4 doi: 10.1007/s11214-021-00868-x
    [44] CHRISTENSEN P R, HAMILTON V E, MEHALL G L, et al. The OSIRIS-REx thermal emission spectrometer (OTES) instrument[J]. Space Science Reviews, 2018, 214(5): 87 doi: 10.1007/s11214-018-0513-6
    [45] OLKIN C B, LEVISON H F, VINCENT M, et al. Lucy mission to the Trojan asteroids: Instrumentation and encounter concept of operations[J]. The Planetary Science Journal, 2021, 2(5): 172 doi: 10.3847/PSJ/abf83f
    [46] LIU B, LIU X D, JIA X Y, et al. Active asteroid 311P/PanSTARRS: Rotational instability as the origin of its multitails?[J]. The Astronomical Journal, 2023, 166(4): 156 doi: 10.3847/1538-3881/acf31c
    [47] XU L, LI H, PEI Z Y, et al. A brief introduction to the international lunar research station program and the interstellar express mission[J]. Chinese Journal of Space Science, 2022, 42(4): 511-513 doi: 10.11728/cjss2022.04.yg28
    [48] 刘占一, 许婷, 张魏静, 等. 热防护材料表面发射率测试研究[J]. 火箭推进, 2019, 45(4): 79-84,90 doi: 10.3969/j.issn.1672-9374.2019.04.013

    LIU Zhanyi, XU Ting, ZHANG Weijing, et al. Measurement study on surface emissivity of thermal protection material[J]. Journal of Rocket Propulsion, 2019, 45(4): 79-84,90 doi: 10.3969/j.issn.1672-9374.2019.04.013
    [49] 王新北. 基于傅立叶红外光谱仪的材料光谱发射率测量技术的研究[D]. 哈尔滨: 哈尔滨工业大学, 2007

    WANG Xinbei. Study on Measurement of Spectral Emissivity of Materials based on Fourier Infrared Spectrometer[D]. Harbin: Harbin Institute of Technology, 2007
    [50] 原遵东, 张俊祺, 赵军, 等. 材料光谱发射率精密测量装置[J]. 仪器仪表学报, 2008, 29(8): 1659-1664

    YUAN Zundong, ZHANG Junqi, ZHAO Jun, et al. Precision measurement facility of material spectral emissivity[J]. Chinese Journal of Scientific Instrument, 2008, 29(8): 1659-1664
    [51] 张岚,. 张术坤, 蔡静. 基于傅里叶红外光谱仪的材料发射率测量方法研究[J]. 工业计量, 2015, 25(4): 16-18,35

    ZHANG. Lan, ZHANG Shukun, CAI Jing. A study on the measurement method of material emissivity based on Fourier transform infrared spectroscopy[J]. Industrial Metrology, 2015, 25(4): 16-18,35
    [52] BRAMBLE M S, YANG Y Z, PATTERSON W R, et al. Radiometric calibration of thermal emission data from the Asteroid and Lunar Environment Chamber (ALEC)[J]. Review of Scientific Instruments, 2019, 90(9): 093101 doi: 10.1063/1.5096363
    [53] DONALDSON HANNA K L, THOMAS I R, BOWLES N E, et al. Laboratory emissivity measurements of the plagioclase solid solution series under varying environmental conditions[J]. Journal of Geophysical Research: Planets, 2012, 117(E11): E11004
    [54] SHIRLEY K A, GLOTCH T D. Particle size effects on mid-infrared spectra of lunar analog minerals in a simulated lunar environment[J]. Journal of Geophysical Research: Planets, 2019, 124(4): 970-988 doi: 10.1029/2018JE005533
    [55] DONALDSON HANNA K L, GREENHAGEN B T, PATTERSON W R, et al. Effects of varying environmental conditions on emissivity spectra of bulk lunar soils: Application to Diviner thermal infrared observations of the Moon[J]. Icarus, 2017, 283: 326-342 doi: 10.1016/j.icarus.2016.05.034
    [56] DONALDSON HANNA K L, WYATT M B, THOMAS I R, et al. Thermal infrared emissivity measurements under a simulated lunar environment: Application to the Diviner Lunar Radiometer Experiment[J]. Journal of Geophysical Research: Planets, 2012, 117(E12): E00H05
    [57] LOGAN L M, HUNT G R. Emission spectra of particulate silicates under simulated lunar conditions[J]. Journal of Geophysical Research, 1970, 75(32): 6539-6548 doi: 10.1029/JB075i032p06539
    [58] RUFF S W, CHRISTENSEN P R, BARBERA P W, et al. Quantitative thermal emission spectroscopy of minerals: A laboratory technique for measurement and calibration[J]. Journal of Geophysical Research: Solid Earth, 1997, 102(B7): 14899-14913 doi: 10.1029/97JB00593
    [59] THOMAS I R, GREENHAGEN B T, BOWLES N E, et al. A new experimental setup for making thermal emission measurements in a simulated lunar environment[J]. Review of Scientific Instruments, 2012, 83(12): 124502 doi: 10.1063/1.4769084
    [60] DONALDSON HANNA K L, BOWLES N E, WARREN T J, et al. Spectral characterization of Bennu analogs using PASCALE: A new experimental set-up for simulating the near-surface conditions of airless bodies[J]. Journal of Geophysical Research: Planets, 2021, 126(2): e2020JE006624 doi: 10.1029/2020JE006624
    [61] GRIFFITHS P R, DE HASETH J A. Fourier Transform Infrared Spectrometry[M]. 2nd ed. Hoboken: John Wiley & Sons, 2007
    [62] SÜSS B, RINGLEB F, HEBERLE J. New ultrarapid-scanning interferometer for FT-IR spectroscopy with microsecond time-resolution[J]. Review of Scientific Instruments, 2016, 87(6): 063113 doi: 10.1063/1.4953658
    [63] 李希明, 李文军, 顾喆涵, 等. 在中低温条件下环境辐射对光谱发射率测量的影响[J]. 计量学报, 2014, 35(1): 10-12 doi: 10.3969/j.issn.1000-1158.2014.01.03

    LI Ximing, LI Wenjun, GU Zhehan, et al. Effect on environment radiation in measurements for spectral emissivity at medium and low temperatures[J]. Acta Metrologica Sinica, 2014, 35(1): 10-12 doi: 10.3969/j.issn.1000-1158.2014.01.03
    [64] YANG Y, MILLIKEN R E, PATTERSON W R, et al. Data reduction of FTIR thermal emission measurements under cold vacuum conditions: Processing of interferograms vs. spectra[C]//49th Annual Lunar and Planetary Science Conference. The Woodlands, Texas, 2018
    [65] BROWN R J, YOUNG B G. Spectral emission signatures of ambient temperature objects[J]. Applied Optics, 1975, 14(12): 2927-2934 doi: 10.1364/AO.14.002927
    [66] STUART B H. Infrared Spectroscopy: Fundamentals and Applications[M]. Chichester, UK: John Wiley & Sons, 2004
    [67] PAPIKE J J, SIMON S B, LAUL J C. The lunar regolith: Chemistry, mineralogy, and petrology[J]. Reviews of Geophysics, 1982, 20(4): 761-826 doi: 10.1029/RG020i004p00761
    [68] LUCEY P G, GREENHAGEN B T, SONG E, et al. Space weathering effects in Diviner Lunar Radiometer multispectral infrared measurements of the lunar Christiansen Feature: Characteristics and mitigation[J]. Icarus, 2017, 283: 343-351 doi: 10.1016/j.icarus.2016.05.010
  • 加载中
图(12) / 表(1)
计量
  • 文章访问数:  1489
  • HTML全文浏览量:  481
  • PDF下载量:  104
  • 被引次数: 

    0(来源:Crossref)

    0(来源:其他)

出版历程
  • 收稿日期:  2023-10-22
  • 录用日期:  2024-01-15
  • 修回日期:  2023-11-19
  • 网络出版日期:  2023-12-04

目录

    /

    返回文章
    返回