留言板

尊敬的读者、作者、审稿人, 关于本刊的投稿、审稿、编辑和出版的任何问题, 您可以本页添加留言。我们将尽快给您答复。谢谢您的支持!

姓名
邮箱
手机号码
标题
留言内容
验证码

极紫外光电效应电荷驱动仿真与试验验证

王子栋 周斌

王子栋, 周斌. 极紫外光电效应电荷驱动仿真与试验验证[J]. 空间科学学报, 2024, 44(2): 368-378. doi: 10.11728/cjss2024.02.2023-0038
引用本文: 王子栋, 周斌. 极紫外光电效应电荷驱动仿真与试验验证[J]. 空间科学学报, 2024, 44(2): 368-378. doi: 10.11728/cjss2024.02.2023-0038
WANG Zidong, ZHOU Bin. Simulation and Experimental Validation of Charge-driven Extreme Ultraviolet Photoelectric Effect (in Chinese). Chinese Journal of Space Science, 2024, 44(2): 368-378 doi: 10.11728/cjss2024.02.2023-0038
Citation: WANG Zidong, ZHOU Bin. Simulation and Experimental Validation of Charge-driven Extreme Ultraviolet Photoelectric Effect (in Chinese). Chinese Journal of Space Science, 2024, 44(2): 368-378 doi: 10.11728/cjss2024.02.2023-0038

极紫外光电效应电荷驱动仿真与试验验证

doi: 10.11728/cjss2024.02.2023-0038 cstr: 32142.14.cjss2024.02.2023-0038
详细信息
    作者简介:
    • 王子栋:男, 1998年1月出生于山东省菏泽市. 现为中国科学院国家空间科学中心硕士研究生, 主要研究方向为空间引力波探测中检验质量电荷管理技术. E-mail: wangzidong20@mails.ucas.ac.cn
    通讯作者:
    • 男, 1979年10月出生于辽宁沈阳, 现为中国科学院国家空间科学中心, 正高级工程师, 主要研究方向为空间磁场与电场探测技术研究. E-mail: zhoubin@nssc.ac.cn
  • 中图分类号: V443

Simulation and Experimental Validation of Charge-driven Extreme Ultraviolet Photoelectric Effect

  • 摘要: 惯性传感器中的检验质量是精密引力测量系统中的核心, 其表面会因为宇宙高能粒子持续注入而积累电荷, 在惯性传感器内部电磁场作用下产生杂散噪声, 影响精密引力测量结果. 根据光电效应原理, 用UV LED产生极紫外光照射惯性传感器的电极与检验质量表面, 并在电极间施加适当电场, 就可以在不引入外力作用且无接触条件下改变检验质量的电荷量. 本文基于平行板电容器的简化电极模型, 对极紫外电荷驱动过程进行了理论建模仿真. 在此基础上设计和构建了一套电荷驱动验证试验系统, 针对光功率、偏置电压对充放电速率的影响和交流电荷驱动进行试验. 试验证明电荷充放电速率与极紫外光功率成正比, 其量子产率随极板间电场强度变化. 最终可实现稳定控制检验质量电荷放电速率在0.31~0.76 pC⋅s–1, 检验质量电荷充电速率在–0.05~–0.17 pC⋅s–1. 分析提出的检验质量电荷充放电速率理论模型与地面试验结果一致, 可以有力支撑电荷管理控制系统的研制.

     

  • 图  1  偏压板加负偏压(a)与加正偏压(b)时光电子的移动方向

    Figure  1.  Direction of photoelectron movement when the bias plate is negatively biased (a) and positively biased (b)

    图  2  在单光源波长照射下垂直于表面方向的光电子动能分布(a), 实际使用的UV LED光谱(b)以及在UV LED照射下垂直于表面方向的光电子动能分布 (c)

    Figure  2.  Distribution of photoelectron kinetic energy perpendicular to the surface direction under single-source wavelength illumination (a), UV LED spectrum actually used (b), distribution of photoelectron kinetic energy perpendicular to the surface direction under UV LED illumination (c)

    图  3  极板封装结构

    Figure  3.  Polarizer packaging structure

    图  4  中间极板表面照度(a)及偏压板表面照度分布(b)

    Figure  4.  Surface illuminance distribution of the middle polarizer (a) and surface illuminance distribution of the biasing polarizer (b)

    图  5  地面试验系统中仪器整体连接及真空箱内部信号连接

    Figure  5.  Overall connection of the instrument in the ground experimental system and the internal signal connection of the vacuum chamber

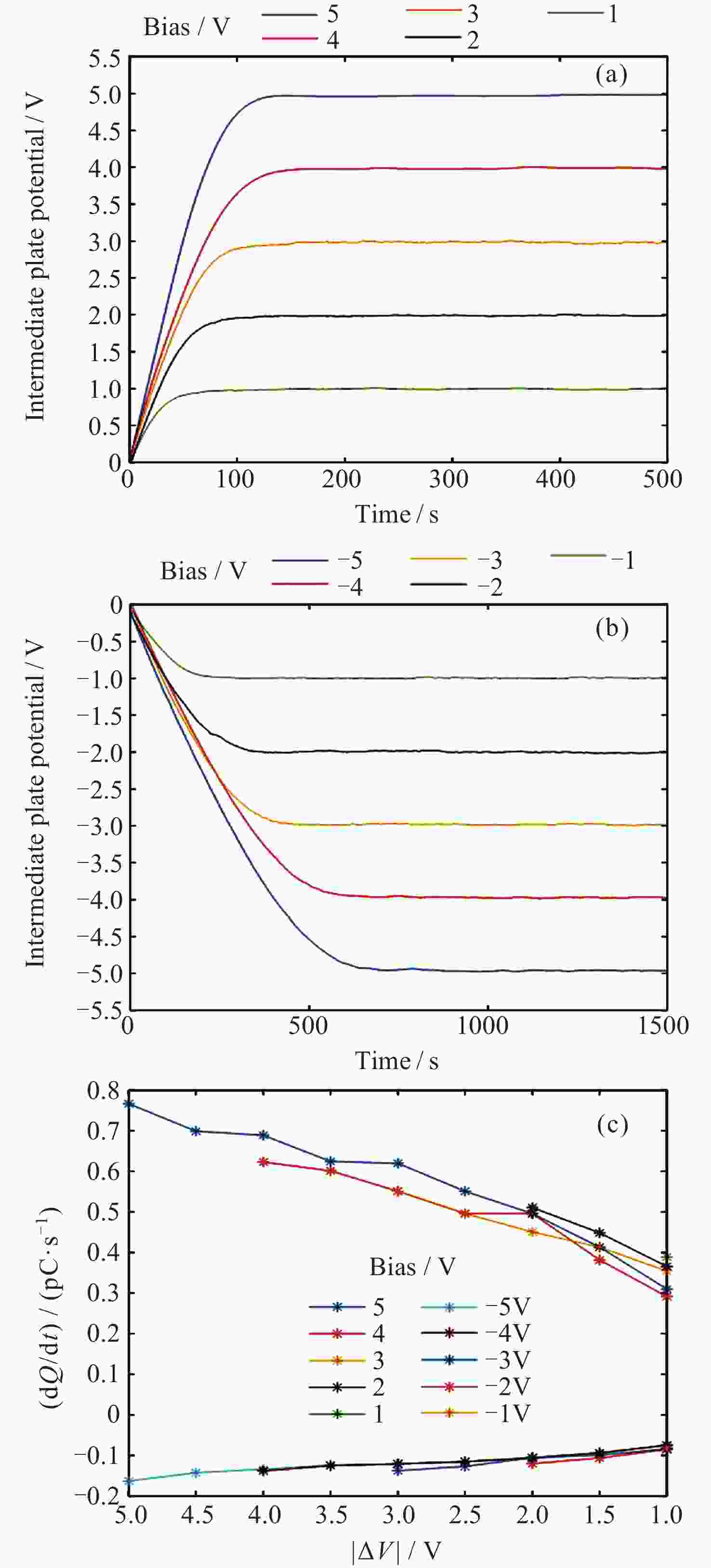
    图  6  中间极板放电(a)、充电(b)的电势变化以及平均电荷变化速率随板间电势差变化趋势(c)

    Figure  6.  Potential change of the middle electrode during discharging (a), charging (b), and average charge rate of the middle electrode changes with the potential difference between the plates (c)

    图  7  中间极板放电(a)、充电(b)的电势变化以及电势平均电荷变化速率(c)

    Figure  7.  Potential change of the middle electrode during discharging (a), charging (b), and average rate of charge change for the absolute value of the intermediate plate potential (c)

    图  8  仿真结果与对应条件下的试验结果对比

    Figure  8.  Simulation results are compared with the experimental results under the corresponding conditions

    图  10  中间极板在交流控制下的电势变化(a)以及对应电势变化率(b)

    Figure  10.  Potential change of the middle electrode under AC control (a) and corresponding rate of potential change (b)

    图  9  交流控制中的信号相位关系. (a) UV LED驱动信号与偏压信号同相实现放电过程, (b)两个信号反相即可实现充电过程

    Figure  9.  Signal phase relationship in AC control. (a) UV LED driving signal and bias voltage signal are in phase to achieve the discharge process, (b) two signals can be out of phase to achieve the charging process

    图  11  交流放电试验中2530~2767 s放电与模型放电曲线对比(a)以及3735~4321 s充电曲线与模型充电曲线对比(b)

    Figure  11.  Comparison of discharge curves from 2530 to 2767 seconds in AC discharge tests with model discharge curves (a) and comparison of charging curves from 3735 to 4321 seconds in AC discharge tests with model charging curves (b)

    表  1  交流试验时间序列

    Table  1.   AC experiment time sequence

    UV LED 信号相位/(°) 时间/s
    0 180
    × 503
    × × × 686
    × 2357
    × 3265
    × 5000
    × 5994
    × 8187
    × 9242
    × 10944
     UV LED: √表示UV LED开启, ×表示UV LED关闭. 信号相位: √位于0°表明UV LED信号与偏压信号同相, 位于180°表明UV LED信号与偏压信号反相.
    下载: 导出CSV
  • [1] ARAÚJO H M, WASS P, SHAUL D, et al. Detailed calculation of test-mass charging in the LISA mission[J]. Astroparticle Physics, 2005, 22(5/6): 451-469
    [2] VOCCA H, GRIMANI C, AMICO P, et al. Simulation of the charging process of the LISA test masses due to solar flares[J]. Classical and Quantum Gravity, 2004, 21(5): S665-S670 doi: 10.1088/0264-9381/21/5/041
    [3] 康伟东, 李得天, 雷军刚, 等. 引力参考传感器检测质量块电荷积累与控制[J]. 真空与低温, 2020, 26(2): 158-164 doi: 10.3969/j.issn.1006-7086.2020.02.012

    KANG Weidong, LI Detian, LEI Jungang, et al. Gravity reference sensor test mass charge accumulation and control[J]. Vacuum and Cryogenics, 2020, 26(2): 158-164 doi: 10.3969/j.issn.1006-7086.2020.02.012
    [4] EWING B E. Charge management in LISA pathfinder: the continuous discharging experiment[Z]. Trento, Italy: Universita di Trento, 2017
    [5] ZIEGLER T, BERGNER P, HECHENBLAIKNER G, et al. Modeling and performance of contact-free discharge systems for space inertial sensors[J]. IEEE Transactions on Aerospace and Electronic Systems, 2014, 50(2): 1493-1510 doi: 10.1109/TAES.2014.120661
    [6] 陈浩. 精密扭秤实验中的电荷管理研究[D]. 武汉: 华中科技大学, 2013

    CHEN Hao. The charge management research in the torsion pendulum[D]. Wuhan: Huazhong University of Science and Technology, 2013
    [7] PAIL R, BRUINSMA S, MIGLIACCIO F, et al. First GOCE gravity field models derived by three different approaches[J]. Journal of Geodesy, 2011, 85(11): 819-843 doi: 10.1007/s00190-011-0467-x
    [8] WILLEMENOT E, TOUBOUL P. On-ground investigation of space accelerometers noise with an electrostatic torsion pendulum[J]. Review of Scientific Instruments, 2000, 71(1): 302-309 doi: 10.1063/1.1150197
    [9] LI J, BENCZE W, DEBRA D, et al. On-orbit performance of Gravity Probe B drag-free translation control and orbit determination[J]. Advances in Space Research, 2007, 40(1): 1-10 doi: 10.1016/j.asr.2007.03.009
    [10] SARAF S, BUCHMAN S, BALAKRISHNAN K, et al. Ground testing and flight demonstration of charge management of insulated test masses using UV-LED electron photoemission[J]. Classical and Quantum Gravity, 2016, 33(24): 245004 doi: 10.1088/0264-9381/33/24/245004
    [11] SUN K X, LEINDECKER N, HIGUCHI S, et al. UV LED operation lifetime and radiation hardness qualification for space flights[J]. Journal of Physics: Conference Series, 2009, 154: 012028 doi: 10.1088/1742-6596/154/1/012028
    [12] HOLLINGTON D, BAIRD J T, SUMNER T J, et al. Characterising and testing deep UV LEDs for use in space applications[J]. Classical and Quantum Gravity, 2015, 32(23): 235020 doi: 10.1088/0264-9381/32/23/235020
    [13] HOLLINGTON D, BAIRD J T, SUMNER T J, et al. Lifetime testing UV LEDs for use in the LISA charge management system[J]. Classical and Quantum Gravity, 2017, 34(20): 205009 doi: 10.1088/1361-6382/aa87eb
    [14] HECHENBLAIKNER G, ZIEGLER T, BISWAS I, et al. Energy distribution and quantum yield for photoemission from air-contaminated gold surfaces under ultraviolet illumination close to the threshold[J]. Journal of Applied Physics, 2012, 111(12): 124914 doi: 10.1063/1.4730638
    [15] WASS P J, HOLLINGTON D, SUMNER T J, et al. Effective decrease of photoelectric emission threshold from gold plated surfaces[J]. Review of Scientific Instruments, 2019, 90(6): 064501 doi: 10.1063/1.5088135
    [16] INCHAUSPÉ H, OLATUNDE T, APPLE S, et al. Numerical modeling and experimental demonstration of pulsed charge control for the space inertial sensor used in LISA[J]. Physical Review D, 2020, 102(4): 042002 doi: 10.1103/PhysRevD.102.042002
    [17] HOLLINGTON D. The Charge Management System for LISA and LISA Pathfinder[D]. London: Imperial College London, 2011
    [18] 张琦锋, 侯士敏, 邵庆益, 等. BaO半导体薄膜在外加垂直表面电场作用下的近紫外光吸收增强现象研究[J]. 物理学报, 2000, 49(10): 2089-2093 doi: 10.3321/j.issn:1000-3290.2000.10.037

    ZHANG Qifeng, HOU Shimin, SHAO Qingyi, et al. Study of enhanced photoabsorption of BaO thin films in the near-ultraviolet band with applied vertical electric field on the surface[J]. Acta Physica Sinica, 2000, 49(10): 2089-2093 doi: 10.3321/j.issn:1000-3290.2000.10.037
    [19] 康伟东, 李得天, 李刚, 等. 引力参考传感器检测质量块电荷UV光调控技术研究[J]. 真空与低温, 2021, 27(4): 407-410 doi: 10.3969/j.issn.1006-7086.2021.04.015

    KANG Weidong, LI Detian, LI Gang, et al. Research on UV light control technology for detecting mass charge with gravitational reference sensor[J]. Vacuum and Cryogenics, 2021, 27(4): 407-410 doi: 10.3969/j.issn.1006-7086.2021.04.015
  • 加载中
图(11) / 表(1)
计量
  • 文章访问数:  809
  • HTML全文浏览量:  301
  • PDF下载量:  79
  • 被引次数: 

    0(来源:Crossref)

    0(来源:其他)

出版历程
  • 收稿日期:  2023-03-20
  • 修回日期:  2023-05-25
  • 网络出版日期:  2023-09-01

目录

    /

    返回文章
    返回