留言板

尊敬的读者、作者、审稿人, 关于本刊的投稿、审稿、编辑和出版的任何问题, 您可以本页添加留言。我们将尽快给您答复。谢谢您的支持!

姓名
邮箱
手机号码
标题
留言内容
验证码

偏远林区单北斗/多模GNSS实时单点定位性能比较

叶少春 徐文兵 尹潇

叶少春, 徐文兵, 尹潇. 偏远林区单北斗/多模GNSS实时单点定位性能比较[J]. 空间科学学报, 2025, 45(1): 235-242. doi: 10.11728/cjss2025.01.2023-0120
引用本文: 叶少春, 徐文兵, 尹潇. 偏远林区单北斗/多模GNSS实时单点定位性能比较[J]. 空间科学学报, 2025, 45(1): 235-242. doi: 10.11728/cjss2025.01.2023-0120
YE Shaochun, XU Wenbing, YIN Xiao. Comparison on Real-time Single Point Positioning Performance of Single Beidou/Multi-mode GNSS in Remote Forested Areas (in Chinese). Chinese Journal of Space Science, 2025, 45(1): 235-242 doi: 10.11728/cjss2025.01.2023-0120
Citation: YE Shaochun, XU Wenbing, YIN Xiao. Comparison on Real-time Single Point Positioning Performance of Single Beidou/Multi-mode GNSS in Remote Forested Areas (in Chinese). Chinese Journal of Space Science, 2025, 45(1): 235-242 doi: 10.11728/cjss2025.01.2023-0120

偏远林区单北斗/多模GNSS实时单点定位性能比较

doi: 10.11728/cjss2025.01.2023-0120 cstr: 32142.14.cjss.2023-0120
基金项目: 国家自然科学基金项目(42074014)和浙江农林大学人才基金项目(2021LFR057)共同资助
详细信息
    作者简介:
    • 叶少春 男, 1998年1月出生于浙江省绍兴市, 现为浙江农林大学环境与资源学院硕士研究生, 主要研究方向为组合导航和林业测绘. E-mail: yeshaochun2025@163.com
    • 尹潇 男, 1987年8月出生于山东省济宁市, 现为浙江农林大学环境与资源学院讲师、硕士生导师, 主要研究方向为多源传感器导航与智能感知. E-mail: yinxiaotongji@zafu.edu.cn
    通讯作者:
    • 徐文兵 男, 1978年2月出生于安徽省桐城市, 现为浙江农林大学环境与资源学院教授, 硕士生导师, 主要研究方向为测绘科学与技术. E-mail: xuwb@zafu.edu.cn
  • 中图分类号: V448

Comparison on Real-time Single Point Positioning Performance of Single Beidou/Multi-mode GNSS in Remote Forested Areas

  • 摘要: 在偏远林区, 参考站比较稀疏且较难进行网络通信, 多路径效应大, 观测时卫星周跳数大, 难以利用双差方式进行高精度实时(Real-Time Kinematic, RTK)定位. 为此, 在考虑广播星历钟差引入码硬件延迟的基础上, 推导了单北斗(BDS)/多模全球导航卫星系统(Global Navigation Satellite System, GNSS)单频和消电离层组合的伪距单点定位(Single Point Positioning, SPP)模型, 根据系统钟差基准不同引起的伪距硬件延迟的改正方法, 并采用林区实测的车载动态观测数据进行精度评估, 得出目前卫星导航基于单频SPP和IF SPP在偏远林区可以达到的定位精度. 结果表明, 在林区无参考站改正数的情况下, 单北斗以及GPS/Galileo/ BDS组合的SPP定位平面精度可以达到2 m. 相比单频SPP, 单北斗、GPS/Galileo/BDS消电离层组合SPP的平面精度分别提高约0.5 m和0.4 m, 基于消电离层组合的SPP具有更优的定位性能.

     

  • 图  1  GNSS试验数据获取的林区路网环境

    Figure  1.  Forest road network environment obtained from experimental data

    图  2  HHBD3000接收设备

    Figure  2.  HHBD3000 receiving device

    图  3  卫星数时间序列

    Figure  3.  Satellite number time series

    图  4  位置精度衰减因子值

    Figure  4.  PDOP value

    图  5  周跳分析

    Figure  5.  Cycle skip analysis

    图  6  BDS单频SPP定位误差

    Figure  6.  BDS single frequency SPP positioning error

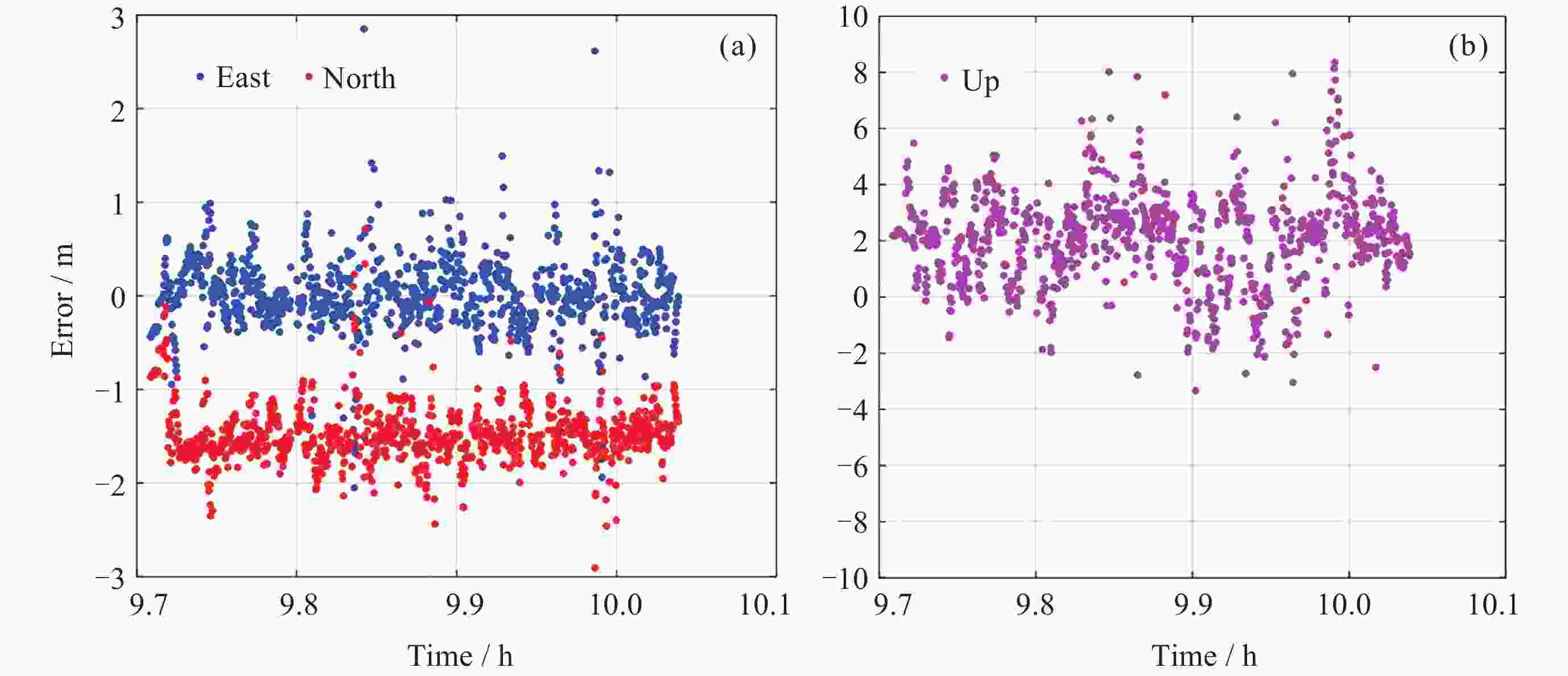
    图  7  GPS/Galileo/BDS单频单点定位误差

    Figure  7.  GPS/Galileo/BDS single frequency SPP positioning error

    图  8  BDS消电离层组合SPP定位误差

    Figure  8.  BDS ionospheric combination SPP positioning error

    图  9  GPS/Galileo/BDS消电离层组合SPP定位误差

    Figure  9.  GPS/Galileo/BDS ionospheric combination SPP positioning error

    图  10  单双频SPP平面方向对比分析

    Figure  10.  Comparative analysis of single and dual frequency SPP plane direction

    表  1  四个模型在三个方向上的定位误差

    Table  1.   Positioning errors of four models in three directions

    Root mean square error / m
    模型EastNorthUpHorizontal
    BDS单频SPP1.01.93.92.1
    BDS IFSPP1.40.94.51.6
    三系统单频SPP
    三系统IF SPP
    0.5
    0.9
    1.5
    0.9
    2.6
    2.4
    1.6
    1.2
    下载: 导出CSV
  • [1] 庞丽峰, 黄水生, 李万里, 等. 全球导航卫星系统在我国林业中的应用[J]. 世界林业研究, 2019, 32(5): 41-46

    PANG Lifeng, HUANG Shuisheng, LI Wanli, et al. Application of GNSS in forestry sector in China[J]. World Forestry Research, 2019, 32(5): 41-46
    [2] KATSIGIANNI G, LOYER S, PEROSANZ F. PPP and PPP-AR kinematic post-processed performance of GPS-only, Galileo-only and multi-GNSS[J]. Remote Sensing, 2019, 11(21): 2477 doi: 10.3390/rs11212477
    [3] 孔豫龙, 柴洪洲, 潘宗鹏, 等. 弱电离层组合SPP在极区定位效果分析[J]. 测绘科学技术学报, 2017, 34(5): 470-474

    KONG Yulong, CHAI Hongzhou, PAN Zongpeng, et al. Analysis of SPP result in polar regions based on iono-weak combination[J]. Journal of Geomatics Science and Technology, 2017, 34(5): 470-474
    [4] 李元鸿, 孙艳丽, 张英, 等. 北斗林业生态移动巡护平台在森林管护中的研发及应用[J]. 林业资源管理, 2020(4): 153-160

    LI Yuanhong, SUN Yanli, ZHANG Ying, et al. Research and application of Beidou forestry ecological mobile patrol platform in forest management and protection[J]. Forest Resources Management, 2020(4): 153-160
    [5] 胡鸿, 杨雪清, 黄静华, 等. 北斗卫星导航在林业中的应用模式研究[J]. 林业资源管理, 2017(3): 120-127

    HU Hong, YANG Xueqing, HUANG Jinghua, et al. Research on application model of Beidou satellite navigation in forestry[J]. Forest Resources Management, 2017(3): 120-127
    [6] 黄颖, 唐小明, 黄水生, 等. 林业野外巡护采集信息北斗短报文编码设计及应用[J]. 中南林业科技大学学报, 2014, 34(8): 106-110 doi: 10.3969/j.issn.1673-923X.2014.08.022

    HUANG Ying, TANG Xiaoming, HUANG Shuisheng, et al. BeiDou short message encoding design and application for collected information in forestry patrol[J]. Journal of Central South University of Forestry and Technology, 2014, 34(8): 106-110 doi: 10.3969/j.issn.1673-923X.2014.08.022
    [7] 闫飞, 王春博, 吴永睿, 等. 森林BDS/GPS组合定位算法与精度分析[J]. 农业机械学报, 2019, 50(4): 221-227,373 doi: 10.6041/j.issn.1000-1298.2019.04.025

    YAN Fei, WANG Chunbo, WU Yongrui, et al. Algorithm implementation and precision analysis of forest BDS/GPS combined positioning[J]. Transactions of the Chinese Society for Agricultural Machinery, 2019, 50(4): 221-227,373 doi: 10.6041/j.issn.1000-1298.2019.04.025
    [8] 申丽丽, 郭际明, 王磊. 多GNSS系统组合在城市峡谷中的定位性能分析[J]. 地理空间信息, 2017, 15(1): 50-52,62 doi: 10.3969/j.issn.1672-4623.2017.01.015

    SHEN Lili, GUO Jiming, WANG Lei. Performance analysis of multi-GNSS positioning in urban canyon environment[J]. Geospatial Information, 2017, 15(1): 50-52,62 doi: 10.3969/j.issn.1672-4623.2017.01.015
    [9] 张益泽. 北斗实时高精度定位服务系统研究[J]. 测绘学报, 2018, 47(9): 1293 doi: 10.11947/j.AGCS.2018.20170534

    ZHANG Yize. Research on real-time high precision BeiDou positioning service system[J]. Acta Geodaetica et Cartographica Sinica, 2018, 47(9): 1293 doi: 10.11947/j.AGCS.2018.20170534
    [10] 石君杰, 陈忠震, 孟令宇, 等. GNSS RTK 技术在林木定位及微地形测量中的应用[J]. 林业资源管理, 2019(4): 117-123,131

    SHI Junjie, CHEN Zhongzhen, MENG Lingyu, et al. Applications of GNSS RTK technology to positioning forest location and measuring microtopography[J]. Forest Resources Management, 2019(4): 117-123,131
    [11] 武红敢, 罗鹏, 杨云凤, 等. 森林环境下的北斗卫星导航系统性能分析[J]. 测绘科学, 2021, 46(5): 1-7

    WU Honggan, LUO Peng, YANG Yunfeng, et al. Performance of BeiDou navigation satellite system in forested conditions[J]. Science of Surveying and Mapping, 2021, 46(5): 1-7
    [12] YIN X, CHAI H Z, XU W B, et al. Realization and evaluation of real-time uncombined GPS/Galileo/BDS PPP-RTK in the offshore area of China’s Bohai sea[J]. Marine Geodesy, 2022, 45(6): 577-594 doi: 10.1080/01490419.2022.2057628
    [13] TEUNISSEN P G, MONTENBRUCK O. Handbook of Global Navigation Satellite Systems[M]. Cham: Springer, 2017
    [14] BeiDou Navigation Satellite System Signal in Space Interface Control Document-Open Service Signal (Version 2.1) [Z]. China Satellite Navigation Office, 2016
    [15] CHEN J P, ZHANG Y Z, WANG J G, et al. A simplified and unified model of multi-GNSS precise point positioning[J]. Advances in Space Research, 2015, 55(1): 125-134 doi: 10.1016/j.asr.2014.10.002
  • 加载中
图(10) / 表(1)
计量
  • 文章访问数:  1105
  • HTML全文浏览量:  605
  • PDF下载量:  55
  • 被引次数: 

    0(来源:Crossref)

    0(来源:其他)

出版历程
  • 收稿日期:  2023-10-27
  • 修回日期:  2023-12-29
  • 网络出版日期:  2025-01-10

目录

    /

    返回文章
    返回