留言板

尊敬的读者、作者、审稿人, 关于本刊的投稿、审稿、编辑和出版的任何问题, 您可以本页添加留言。我们将尽快给您答复。谢谢您的支持!

姓名
邮箱
手机号码
标题
留言内容
验证码

旋转作用下水平圆管内蒸汽冷凝特性

张雷刚 茹梦 李豪 岳利文 陈振乾 马艳阳

张雷刚, 茹梦, 李豪, 岳利文, 陈振乾, 马艳阳. 旋转作用下水平圆管内蒸汽冷凝特性[J]. 空间科学学报, 2025, 45(1): 149-161. doi: 10.11728/cjss2025.01.2024-0004
引用本文: 张雷刚, 茹梦, 李豪, 岳利文, 陈振乾, 马艳阳. 旋转作用下水平圆管内蒸汽冷凝特性[J]. 空间科学学报, 2025, 45(1): 149-161. doi: 10.11728/cjss2025.01.2024-0004
ZHANG Leigang, RU Meng, LI Hao, YUE Liwen, CHEN Zhenqian, MA Yanyang. Steam Condensing Characteristics in a Horizontal Circular Tube under Rotating Action (in Chinese). Chinese Journal of Space Science, 2025, 45(1): 149-161 doi: 10.11728/cjss2025.01.2024-0004
Citation: ZHANG Leigang, RU Meng, LI Hao, YUE Liwen, CHEN Zhenqian, MA Yanyang. Steam Condensing Characteristics in a Horizontal Circular Tube under Rotating Action (in Chinese). Chinese Journal of Space Science, 2025, 45(1): 149-161 doi: 10.11728/cjss2025.01.2024-0004

旋转作用下水平圆管内蒸汽冷凝特性

doi: 10.11728/cjss2025.01.2024-0004 cstr: 32142.14.cjss.2024-0004
基金项目: 国家自然科学基金项目(52106116), 河南省高等学校重点科研项目(22A470011)和郑州轻工业大学校科研基金项目(2020BSJJ051)共同资助
详细信息
    作者简介:
    • 张雷刚 男, 1992年3月出生于河南省洛阳市, 现为郑州轻工业大学能源与动力工程学院讲师, 硕士生导师, 主要研究方向为微重力条件下冷凝传热及强化排液研究. E-mail: leigzhang@zzuli.edu.cn
  • 中图分类号: TK124

Steam Condensing Characteristics in a Horizontal Circular Tube under Rotating Action

  • 摘要: 冷凝是传热设备工作中一种重要的物理过程. 与传统的单相流回路相比, 冷凝相变释放的潜热相当大. 随着航天事业的不断发展, 高效的热控技术变得越来越重要. 目前, 营造微重力环境主要采用自由落塔和抛物飞行等方法, 但是其获得的微重力时间比较短且实验成本较高. 本研究采用离心力方法来模拟不同的重力条件, 结果表明由于重力的影响, 液体会在底部聚集, 导致管壁下部温度较低. 通过可视化分析也可以看到管内存在波状和螺旋状流态. 在重力条件改变时, 测得的温度普遍低于常重力条件下的温度. 传热恶化现象取决于工作条件. 蒸汽流速的增加会改善传热恶化, 但是改善程度有限, 测试段整体温度略微升高. 在低流量时, 测试段温度变化对重力条件更为敏感, 而在高流量时, 测试段温度变化对重力条件不敏感. 上述结论将有助于设计和优化传热设备.

     

  • 图  1  实验装置

    Figure  1.  Experimental installation

    图  2  30 mL·min–1时无法观测到流型

    Figure  2.  Flow patterns can not be observed at 30 mL·min–1

    图  4  50 mL·min–1时的螺旋状流

    Figure  4.  Spiral flow at 50 mL·min–1

    图  3  40 mL·min–1时的波状流

    Figure  3.  Wavy flow at 40 mL·min–1

    图  5  常重力下不同流量不同管径的上部温度分布

    Figure  5.  Upper temperature distribution of different flow rates and different pipe diameters under normal gravity

    图  6  常重力下不同流量不同管径的下部温度分布

    Figure  6.  Lower temperature distribution of different flow rates and different pipe diameters under normal gravity

    图  7  30 mL·min–1蒸汽流量不同重力条件下的管壁温度分布(管径12 mm)

    Figure  7.  Tube wall temperature distribution under different gravity conditions at 30 mL·min–1 flow rate (Tube diameter: 12 mm)

    图  9  50 mL·min–1蒸汽流量不同重力条件下的管壁温度分布(管径12 mm)

    Figure  9.  Tube wall temperature distribution under different gravity conditions at 50 mL·min–1(Tube diameter: 12 mm)

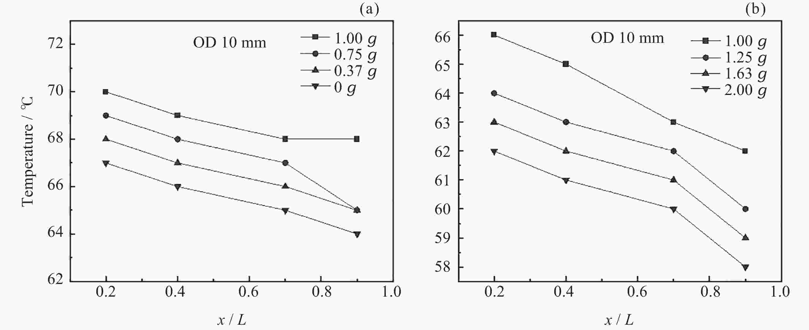
    图  10  30 mL·min–1蒸汽流量不同重力条件下的管壁温度分布 (管径10 mm)

    Figure  10.  Tube wall temperature distribution under different gravity conditions at 30 mL·min–1 (Tube diameter: 10 mm)

    图  12  50 mL·min–1蒸汽流量不同重力条件下的管壁温度分布 (管径10 mm)

    Figure  12.  Tube wall temperature distribution under different gravity conditions at 50 mL·min–1 (Tube diameter: 10 mm)

    图  13  不同重力条件下10 mm管内的温度分布

    Figure  13.  Temperature distribution under different gravity conditions in 10 mm diameter tube

    图  14  不同重力条件下12 mm管内的温度分布

    Figure  14.  Temperature distribution under different gravity conditions in 12 mm diameter tube

    图  8  40 mL·min–1蒸汽流量不同重力条件下的管壁温度分布(管径12 mm)

    Figure  8.  Tube wall temperature distribution under different gravity conditions at 40 mL·min–1(Tube diameter: 12 mm)

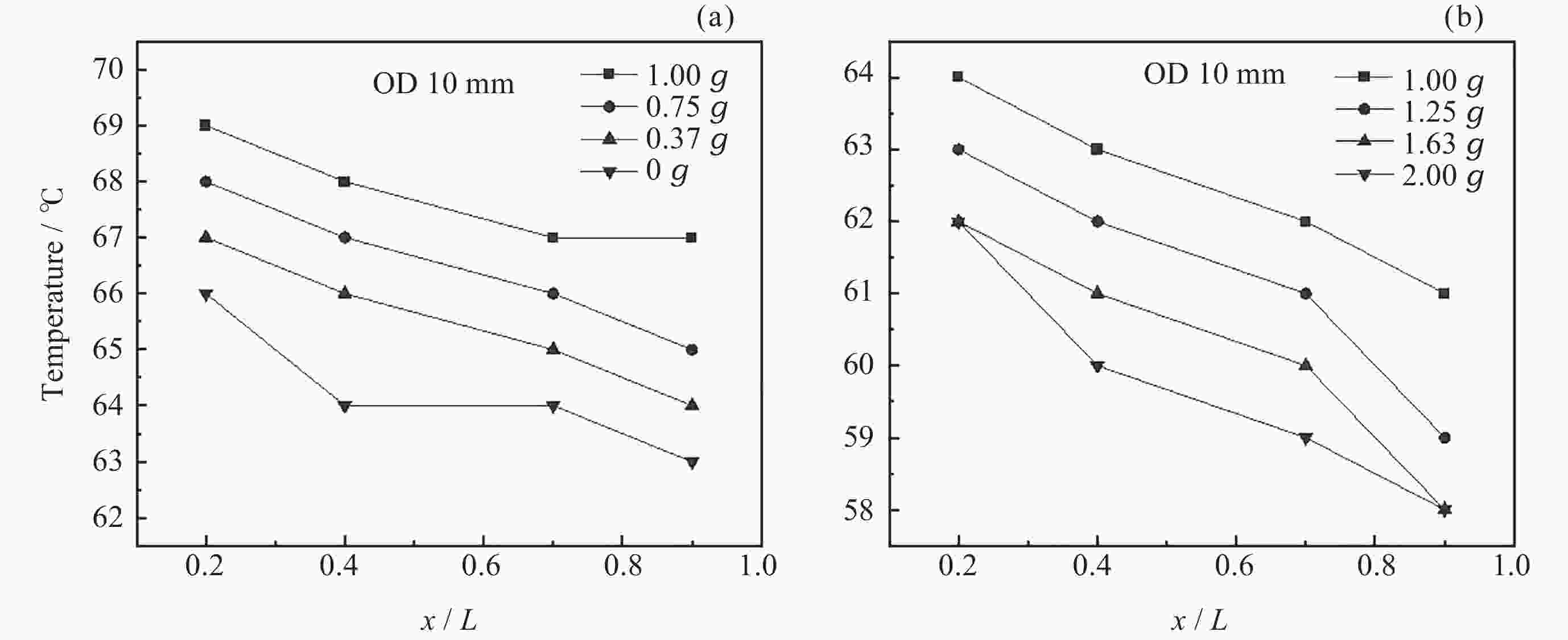
    图  11  40 mL·min–1蒸汽流量不同重力条件下的管壁温度分布(管径10 mm)

    Figure  11.  Tube wall temperature distribution under different gravity conditions at 40 mL·min–1 (Tube diameter: 10 mm)

    图  15  测试段不同流量下的压降

    Figure  15.  Test section pressure drop at different flow rates

    图  16  测试段不同转速下的压降(管径12 mm)

    Figure  16.  Test section pressure drop at different rotary speeds (Tube diameter: 12 mm)

    图  17  测试段不同转速下的压降(管径10 mm)

    Figure  17.  Test section pressure drop at different rotary speeds (Tube diameter: 10 mm)

  • [1] WANG L L, JIAO P F, DANG C B, et al. Condensation heat transfer characteristics of R1234yf and other Refrigerants inside small-scale tube: an experimental study and heat transfer correlation development[J]. Heat and Mass Transfer, 2022, 58(6): 1059-1074 doi: 10.1007/s00231-021-03164-0
    [2] ŁUKASZUK M, SKIEPKO T. Condensation heat transfer coefficient during steam intermittent flows in a horizontal minichannel[J]. Experimental Thermal and Fluid Science, 2023, 145: 110875 doi: 10.1016/j.expthermflusci.2023.110875
    [3] BERTO A, AZZOLIN M, BORTOLIN S, et al. Condensation heat transfer in microgravity conditions[J]. npj Microgravity, 2023, 9(1): 32 doi: 10.1038/s41526-023-00276-1
    [4] 康琦, 侯瑞. 微重力流体管理在航天工程中的应用[J]. 自然杂志, 2007, 29(6): 328-334 doi: 10.3969/j.issn.0253-9608.2007.06.004

    KANG Qi, HOU Rui. The applications of microgravity fluid management in the aerospace engineering[J]. Chinese Journal of Nature, 2007, 29(6): 328-334 doi: 10.3969/j.issn.0253-9608.2007.06.004
    [5] 赵建福, 林海, 解京昌, 等. 失重飞机搭载气/液两相流实验研究[J]. 空间科学学报, 2000, 20(4): 340-347 doi: 10.3969/j.issn.0254-6124.2000.04.009

    ZHAO Jianfu, LIN Hai, XIE Jingchang, et al. Experimental investigation of gas-liquid two-phase flow utilizing reduced gravity airplane[J]. Chinese Journal of Space Science, 2000, 20(4): 340-347 doi: 10.3969/j.issn.0254-6124.2000.04.009
    [6] 赵建福, 林海, 解京昌, 等. 微重力条件下气/液两相流压降实验研究[J]. 应用基础与工程科学学报, 2001, 9(4): 373-380 doi: 10.3969/j.issn.1005-0930.2001.04.012

    ZHAO Jianfu, LIN Hai, XIE Jingchang, et al. Experimental study on pressure drop of two-phase gas-liquid flow at microgravity conditions[J]. Journal of Basic Science and Engineering, 2001, 9(4): 373-380 doi: 10.3969/j.issn.1005-0930.2001.04.012
    [7] FANG X D, ZHANG H G, XU Y, et al. Evaluation of using two-phase frictional pressure drop correlations for normal gravity to microgravity and reduced gravity[J]. Advances in Space Research, 2012, 49(2): 351-364 doi: 10.1016/j.asr.2011.09.038
    [8] BAI W D, CHEN W, LI M F, et al. An improved mass transfer model for film condensation numerical simulation[J]. International Journal of Heat and Mass Transfer, 2023, 202: 123686 doi: 10.1016/j.ijheatmasstransfer.2022.123686
    [9] HE F L, DU W F, MIAO J Y, et al. Numerical investigation of the gravity effect on two-phase flow and heat transfer of neon condensation inside horizontal tubes[J]. Applied Thermal Engineering, 2023, 233: 121162 doi: 10.1016/j.applthermaleng.2023.121162
    [10] LIU N, ZHAO Q, LAN Z X. Flow regimes and transitions for two-phase flow of R152a during condensation in a circular minichannel[J]. Frontiers in Energy Research, 2021, 9: 792586 doi: 10.3389/fenrg.2021.792586
    [11] NEBULONI S, THOME J R. Film condensation under normal and microgravity: effect of channel shape[J]. Microgravity Science and Technology, 2007, 19(3/4): 125-127
    [12] COLEMAN J W, GARIMELLA S. Two-phase flow regimes in round, square and rectangular tubes during condensation of refrigerant R134a[J]. International Journal of Refrigeration, 2003, 26(1): 117-128 doi: 10.1016/S0140-7007(02)00013-0
    [13] BAI C, QIU Y, WEI M, et al. Converging-shaped small channel for condensation heat transfer enhancement under varying-gravity conditions[J]. International Communications in Heat and Mass Transfer, 2021, 123: 105171 doi: 10.1016/j.icheatmasstransfer.2021.105171
    [14] LIPS S, MEYER J P. Effect of gravity forces on heat transfer and pressure drop during condensation of R134a[J]. Microgravity Science and Technology, 2012, 24(3): 157-164 doi: 10.1007/s12217-011-9292-3
    [15] WANG W C, MA X H, WEI Z D, et al. Two-phase flow patterns and transition characteristics for in-tube condensation with different surface inclinations[J]. International Journal of Heat and Mass Transfer, 1998, 41(24): 4341-4349 doi: 10.1016/S0017-9310(98)00041-6
    [16] AZZOLIN M, BORTOLIN S, LE NGUYEN L P, et al. Experimental investigation of in-tube condensation in microgravity[J]. International Communications in Heat and Mass Transfer, 2018, 96: 69-79 doi: 10.1016/j.icheatmasstransfer.2018.05.013
    [17] SPARROW E M, GREGG J L. A theory of rotating condensation[J]. Journal of Heat Transfer, 1959, 81(2): 113-119 doi: 10.1115/1.4008150
    [18] SPARROW E M, GREGG J L. The effect of vapor drag on rotating condensation[J]. Journal of Heat Transfer, 1960, 82(1): 71-72 doi: 10.1115/1.3679881
    [19] SPARROW E M, HARTNETT J P. Condensation on a rotating cone[J]. Journal of Heat Transfer, 1961, 83(1): 101-102 doi: 10.1115/1.3680454
    [20] BERTO A, AZZOLIN M, LAVIEILLE P, et al. Experimental investigation of liquid film thickness and heat transfer during condensation in microgravity[J]. International Journal of Heat and Mass Transfer, 2022, 199: 123467 doi: 10.1016/j.ijheatmasstransfer.2022.123467
    [21] LEE H, MUDAWAR I, HASAN M M. Experimental and theoretical investigation of annular flow condensation in microgravity[J]. International Journal of Heat and Mass Transfer, 2013, 61: 293-309 doi: 10.1016/j.ijheatmasstransfer.2013.02.010
    [22] DEY P, RAJ D, SAHA S K. A numerical study on condensation heat transfer characteristics of R134a in microchannel under varying gravity conditions[J]. Microgravity Science and Technology, 2021, 33(3): 34 doi: 10.1007/s12217-021-09884-6
  • 加载中
图(17)
计量
  • 文章访问数:  675
  • HTML全文浏览量:  413
  • PDF下载量:  76
  • 被引次数: 

    0(来源:Crossref)

    0(来源:其他)

出版历程
  • 收稿日期:  2024-01-08
  • 修回日期:  2024-03-10
  • 网络出版日期:  2024-05-08

目录

    /

    返回文章
    返回