留言板

尊敬的读者、作者、审稿人, 关于本刊的投稿、审稿、编辑和出版的任何问题, 您可以本页添加留言。我们将尽快给您答复。谢谢您的支持!

姓名
邮箱
手机号码
标题
留言内容
验证码

基于一维残差卷积神经网络的Pi2脉动识别模型

张怡悦 邹自明 方少峰

张怡悦, 邹自明, 方少峰. 基于一维残差卷积神经网络的Pi2脉动识别模型[J]. 空间科学学报, 2025, 45(1): 66-81. doi: 10.11728/cjss2025.01.2024-0018
引用本文: 张怡悦, 邹自明, 方少峰. 基于一维残差卷积神经网络的Pi2脉动识别模型[J]. 空间科学学报, 2025, 45(1): 66-81. doi: 10.11728/cjss2025.01.2024-0018
ZHANG Yiyue, ZOU Ziming, FANG Shaofeng. Identification Model of Pi2 Pulsation Based on One-dimensional Residual Convolutional Neural Network (in Chinese). Chinese Journal of Space Science, 2025, 45(1): 66-81 doi: 10.11728/cjss2025.01.2024-0018
Citation: ZHANG Yiyue, ZOU Ziming, FANG Shaofeng. Identification Model of Pi2 Pulsation Based on One-dimensional Residual Convolutional Neural Network (in Chinese). Chinese Journal of Space Science, 2025, 45(1): 66-81 doi: 10.11728/cjss2025.01.2024-0018

基于一维残差卷积神经网络的Pi2脉动识别模型

doi: 10.11728/cjss2025.01.2024-0018 cstr: 32142.14.cjss.2024-0018
基金项目: 国家重点研发计划项目(2022YFF0711400)和中国科学院网信专项(CAS-WX2022SF-0103)共同资助
详细信息
    作者简介:
    • 张怡悦 女, 1999年6月出生, 现为中国科学院大学、中国科学院国家空间科学中心在读硕士生, 主要研究方向为机器学习在超低频波识别中的应用. E-mail: zhangyiyue21@mails.ucas.ac.cn
    通讯作者:
    • 邹自明 男, 1971年5月出生, 现为中国科学院国家空间科学中心研究员, 博士生导师, 主要研究方向为日地空间信息系统技术、机器学习在空间物理中的应用等. E-mail: mzou@nssc.ac.cn
  • 中图分类号: P353

Identification Model of Pi2 Pulsation Based on One-dimensional Residual Convolutional Neural Network

  • 摘要: Pi2脉动是一种不规则的超低频波(Ultra-Low Frequency, ULF), 是磁层与电离层耦合的重要瞬态响应, 其发生与亚暴爆发有密切的关系. Pi2脉动作为地球磁层中的一种扰动现象, 其发生信号隐藏在地磁场分量观测数据中. 面对持续增长的观测数据量, 如何有效地判断某段地磁场分量观测数据中是否有Pi2脉动发生, 是构建Pi2脉动识别模型的关键. 利用子午工程磁通门磁力仪观测的地磁场分量数据, 基于一维残差卷积神经网络(One-Dimensional Residual Convolutional Neural Network, 1D-ResCNN), 构建了一个端到端的Pi2脉动识别模型, 用于判别某段地磁场分量观测数据中是否有Pi2脉动发生. 实验结果表明, 该模型与现有公开发表的Pi2脉动机器学习识别模型相比, 具有更高的识别准确率和更低的虚报率、漏报率.

     

  • 图  1  候选事件中的非Pi2脉动事件举例 (2019年9月24日00:00 UT-01:00 UT漠河站磁力仪观测数据)

    Figure  1.  Example of non-Pi2 pulsation event in candidate events (MHT magnetometer data during 00:00 UT-01:00 UT on 24 September 2019)

    图  2  候选事件中的Pi2脉动事件举例 (2011年6月1日16:00 UT-17:00 UT漠河站磁力仪观测数据)

    Figure  2.  Example of Pi2 pulsation event in candidate events (MHT magnetometer data during 16:00 UT-17:00 UT on 1 June 2011)

    图  3  Pi2脉动事件持续时间的统计结果

    Figure  3.  Statistical results of Pi2 pulsation events duration

    图  4  太阳活动水平统计情况

    Figure  4.  Statistics of solar activity levels

    图  5  直接相加的残差模块ResBlock1 (a)和具有线性变换的残差模块ResBlock2 (b)

    Figure  5.  ResBlock1 with direct addition (a) and ResBlock2 with linearly transformation to match the dimension (b)

    图  6  1D-ResCNN网络结构

    Figure  6.  Network architecture of 1D-ResCNN

    图  7  模型训练及推理流程

    Figure  7.  Diagram of model training and inference process

    图  8  1D-ResCNN模型训练过程中的损失函数值变化

    Figure  8.  Variation of loss function value during the training process of 1D-ResCNN model

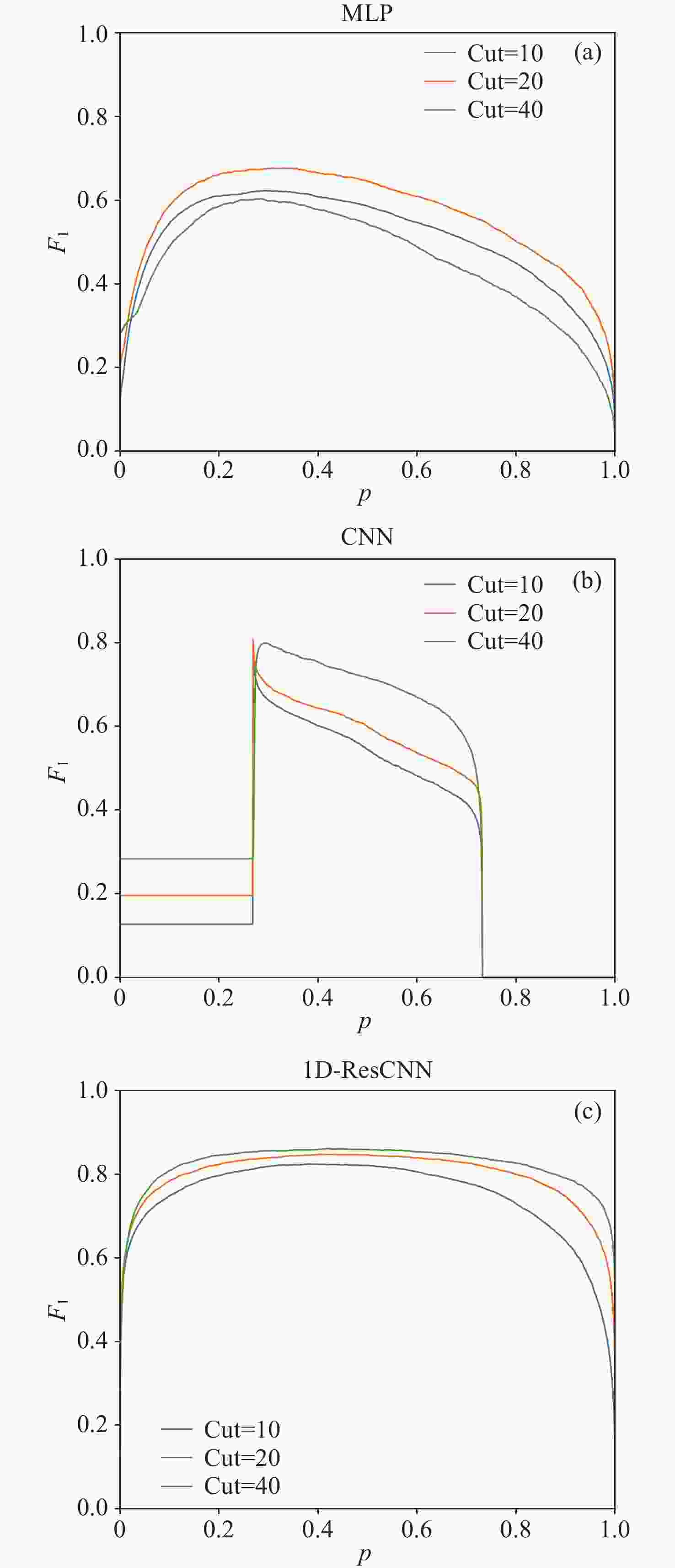
    图  9  不同窗口长度和概率阈值$ p $的情况下三种模型在验证集上的$ {F}_{1} $值

    Figure  9.  $ {F}_{1} $-score of different models on validation datasets with different window cut and threshold $ p $

    图  10  1D-ResCNN模型正确识别出的孤立Pi2脉动

    Figure  10.  Isolated Pi2 pulsation correctly identified by 1D-ResCNN

    图  11  2011年3月6日12:40 UT-13:20 UT期间5个台站的磁力仪观测数据

    Figure  11.  Magnetometer data of five stations during 12:40 UT-13:20 UT on 6 March 2011

    图  12  1D-ResCNN模型正确识别出的连续Pi2脉动

    Figure  12.  Cyclic Pi2 pulsation correctly identified by 1D-ResCNN

    图  13  2011年1月21日14:00 UT-14:40 UT期间五个台站的磁力仪观测数据

    Figure  13.  Magnetometer data of five stations during 14:00 UT-14:40 UT on 21 January 2011

    图  14  1D-ResCNN模型漏报的处在初期的Pi2脉动

    Figure  14.  Incipient Pi2 pulsation missed by 1D-ResCNN

    图  15  1D-ResCNN模型漏报的处在衰减阶段的Pi2脉动

    Figure  15.  Pi2 pulsation in the decay phase missed by 1D-ResCNN

    图  16  1D-ResCNN模型虚报的Pi2脉动

    Figure  16.  False positive Pi2 pulsations identified by 1D-ResCNN

    表  1  漠河站Dataset1的正负样本分布情况

    Table  1.   Positive and negative sample distribution of Dataset1 at MHT

    窗口长度/min训练集验证集测试集
    正样本负样本正样本负样本正样本负样本
    101332021693665248966810061146323
    2010855104273522342873807170121
    40847749087397720071619532901
    下载: 导出CSV

    表  2  漠河站Dataset2的正负样本分布情况

    Table  2.   Positive and negative sample distribution of Dataset2 at MHT

    窗口长度/min训练集验证集测试集
    正样本负样本正样本负样本正样本负样本
    10146622219256232951639011135839
    2011737106556517045528724265183
    40918849958384421505561730596
    下载: 导出CSV

    表  3  混淆矩阵

    Table  3.   Confusion matrix

    预测类别 真实标签
    正例 正例
    正例 TP FP
    负例 FN TN
    下载: 导出CSV

    表  4  使用策略1的不同模型在Dataset1和Dataset2测试集上的实验结果

    Table  4.   Experimental results on testing Dataset1 and Dataset2 of different models with Decision 1

    模型 窗口长度/min 准确率/(%) 虚报率/(%) 漏报率/(%) $ {F}_{1} $值
    FT+MLP[11] 10 95.63, 95.76 1.05, 0.98 52.68, 53.39 0.58, 0.58
    20 93.75, 94.04 1.73, 1.69 45.58, 44.35 0.64, 0.65
    40 88.41, 88.45 2.77, 2.27 58.39, 62.08 0.5, 0.50
    DWT+CNN[12] 10 95.90, 95.89 0.06, 0.05 62.83, 65.28 0.54, 0.51
    20 93.89, 94.33 0.11, 0.18 58.26, 55.12 0.58, 0.61
    40 92.43, 91.59 0.69, 0.21 44.10, 53.07 0.70, 0.63
    1D-ResCNN(本文方法) 10 97.84, 97.86 0.83, 0.96 21.64, 19.80 0.82, 0.82
    20 96.89, 97.13 1.41, 1.23 17.85, 17.70 0.85, 0.85
    40 95.71, 95.82 1.85, 1.82 17.21, 16.98 0.86, 0.86
    下载: 导出CSV

    表  5  使用策略2的不同模型在Dataset1和Dataset2测试集上的实验结果

    Table  5.   Experimental results on testing Dataset1 and Dataset2 of different models with Decision2

    模型 窗口长度/min 决策阈值 准确率/(%) 虚报率/(%) 漏报率/(%) $ {F}_{1} $值
    FT+MLP[11] 10 0.29, 0.25 95.24, 95.25 2.43, 2.67 38.72, 36.10 0.62, 0.63
    20 0.33, 0.31 93.52, 93.55 3.25, 3.65 34.48, 31.63 0.68, 0.68
    40 0.29, 0.27 86.80, 87.19 8.38, 7.91 38.81, 39.51 0.60, 0.59
    DWT+CNN[12] 10 0.27, 0.27 96.98, 97.13 1.89, 1.53 19.39, 23.02 0.77, 0.77
    20 0.27, 0.28 96.09, 94.33 2.00, 2.20 20.53, 21.55 0.81, 0.79
    40 0.29, 0.27 93.55, 94.10 3.78, 3.22 20.61, 20.53 0.80, 0.81
    1D-ResCNN 10 0.38, 0.43 97.77, 97.84 1.25, 1.17 16.41, 17.17 0.83, 0.83
    (本文方法) 20 0.40, 0.38 96.81, 97.06 1.87, 1.76 14.65, 13.62 0.85, 0.85
    40 0.42, 0.35 95.73, 95.76 2.26, 2.74 14.98, 12.43 0.86, 0.86
    下载: 导出CSV

    表  6  不同台站的基本信息及样本分布情况

    Table  6.   Basic information and samples distribution of different stations

    台站名称 (编码) 地磁坐标 训练集 验证集 测试集
    正样本 负样本 正样本 负样本 正样本 负样本
    琼中站 (QZT) (16°48′ , 182°0′ ) 1845 9772 748 4231 5944 31784
    邵阳站 (SYT) (23°54′ , 183°55′ ) 1611 12929 675 5557 5190 41070
    马陵山站 (MLS) (29°25′ , 191°21′ ) 1522 12388 680 5282 3710 30634
    农安站 (NAT) (39°0′ , 198°5′ ) 1923 14381 859 6129 5252 38020
    下载: 导出CSV

    表  7  不同台站的测试集的实验结果

    Table  7.   Experimental results on testing datasets of stations at different latitudes

    台站名称 (编码) 准确率/(%) 虚报率/(%) 漏报率/(%) $ {F}_{1} $值
    琼中站 (QZT) 90.73 8.64 12.63 0.75
    邵阳站 (SYT) 95.81 1.77 23.35 0.80
    马陵山站 (MLS) 95.86 1.96 22.16 0.80
    农安站 (NAT) 95.76 1.88 21.27 0.82
    下载: 导出CSV
  • [1] JACOBS J A, KATO Y, MATSUSHITA S, et al. Classification of geomagnetic micropulsations[J]. Journal of Geophysical Research, 1964, 69(1): 180-181 doi: 10.1029/JZ069i001p00180
    [2] TAKAHASHI K, LEE D H, NOSÉ M, et al. CRRES electric field study of the radial mode structure of Pi2 pulsations[J]. Journal of Geophysical Research: Space Physics, 2003, 108(A5): 1210
    [3] SAITO T, YUMOTO K, KOYAMA Y. Magnetic pulsation Pi2 as a sensitive indicator of magnetospheric substorm[J]. Planetary and Space Science, 1976, 24(11): 1025-1029 doi: 10.1016/0032-0633(76)90120-3
    [4] CHEN L, SHIOKAWA K, MIYOSHI Y, et al. Correspondence of Pi2 pulsations, aurora luminosity, and plasma flux fluctuation near a substorm brightening aurora: Arase observations[J]. Journal of Geophysical Research: Space Physics, 2023, 128(10): e2023JA031648 doi: 10.1029/2023JA031648
    [5] SIMHA C P, KATLAMUDI M R, BULUSU J. Low latitude Pi2 pulsations at Desalpar, Gujarat, India: A statistical analysis of the influences of magnetic storms/substorms, seasons, and solar cycles[J]. Journal of Atmospheric and Solar-Terrestrial Physics, 2023, 252: 106145 doi: 10.1016/j.jastp.2023.106145
    [6] KEILING A, TAKAHASHI K. Review of Pi2 models[J]. Space Science Reviews, 2011, 161(1): 63-148
    [7] KWON H J, KIM K H, JUN C W, et al. Low‐latitude Pi2 pulsations during intervals of quiet geomagnetic conditions (K p≤1)[J]. Journal of Geophysical Research: Space Physics, 2013, 118(10): 6145-6153 doi: 10.1002/jgra.50582
    [8] NOSÉ M, IYEMORI T, TAKEDA M, et al. Automated detection of Pi 2 pulsations using wavelet analysis: 1. Method and an application for substorm monitoring[J]. Earth, Planets and Space, 1998, 50(9): 773-783
    [9] MURPHY K R, JONATHAN RAE I, MANN I R, et al. Wavelet‐based ULF wave diagnosis of substorm expansion phase onset[J]. Journal of Geophysical Research: Space Physics, 2009, 114(A1): A00C16
    [10] KATSAVRIAS C, PAPADIMITRIOU C, HILLARIS A, et al. Application of wavelet methods in the investigation of geospace disturbances: a review and an evaluation of the approach for quantifying wavelet power[J]. Atmosphere, 2022, 13(3): 499 doi: 10.3390/atmos13030499
    [11] SUTCLIFFE P R. Substorm onset identification using neural networks and Pi2 pulsations[J]. Annales Geophysicae, 1997, 15(10): 1257-1264 doi: 10.1007/s00585-997-1257-x
    [12] RABIE E, HAFEZ A G, SAAD O M, et al. Geomagnetic micro-pulsation automatic detection via deep leaning approach guided with discrete wavelet transform[J]. Journal of King Saud University-Science, 2021, 33(1): 101263 doi: 10.1016/j.jksus.2020.101263
    [13] BALASIS G, AMINALRAGIA-GIAMINI S, PAPADIMITRIOU C, et al. A machine learning approach for automated ULF wave recognition[J]. Journal of Space Weather and Space Climate, 2019, 9: A13 doi: 10.1051/swsc/2019010
    [14] ANTONOPOULOU A, BALASIS G, PAPADIMITRIOU C, et al. Convolutional neural networks for automated ULF wave classification in swarm time series[J]. Atmosphere, 2022, 13(9): 1488 doi: 10.3390/atmos13091488
    [15] OMONDI S, YOSHIKAWA A, ZAHRA W K, et al. Automatic detection of auroral Pc5 geomagnetic pulsation using machine learning approach guided with discrete wavelet transform[J]. Advances in Space Research, 2023, 72(3): 866-883 doi: 10.1016/j.asr.2022.06.063
    [16] PAPPOE J A, YOSHIKAWA A, KANDIL A, et al. A machine learning approach combined with wavelet analysis for automatic detection of Pc5 geomagnetic pulsations observed at geostationary orbits[J/OL]. Advances in Space Research, 2023. (2023-11-03). [2024-01-30]. https://www.sciencedirect.com/science/article/abs/pii/S0273117723008736
    [17] TERAMOTO M, MIYOSHI Y, MATSUOKA A, et al. Off-Equatorial Pi2 pulsations inside and outside the plasmapause observed by the Arase satellite[J]. Journal of Geophysical Research: Space Physics, 2022, 127(1): e2021JA029677 doi: 10.1029/2021JA029677
    [18] TAKAHASHI K, LYSAK R, VELLANTE M. Statistical analysis of Pi2 pulsations observed by Van Allen Probes[J]. Journal of Geophysical Research: Space Physics, 2022, 127(9): e2022JA030674 doi: 10.1029/2022JA030674
    [19] 曾正君, 张莹, 杜爱民, 等. 顶部电离层Pc3压缩波的波动特征[J]. 地球物理学进展, 2020, 35(3): 918-924 doi: 10.6038/pg2020DD0174

    ZENG Zhengjun, ZHANG Ying, DU Aimin, et al. Characteristics of Pc3 compressional waves in the topside ionosphere[J]. Progress in Geophysics, 2020, 35(3): 918-924 doi: 10.6038/pg2020DD0174
    [20] ZHANG Yiyue, ZOU Ziming, FANG Shaofeng. Pi2 pulsation event annotation time-series dataset[DB/OL]. V3. Science Data Bank, 2024. [2024-04-26]. https://cstr.cn/14804.11.sciencedb.space.01648
    [21] 中国气象局. QX/T 135-2011 太阳活动水平分级[S]. 北京: 中国气象出版社, 2011

    China Meteorological Administration. QX/T 135-2011 Classification for solar activity level[S]. Beijing: China Meteorological Press, 2011
    [22] HE K M, ZHANG X Y, REN S Q, et al. Deep residual learning for image recognition[C]//2016 IEEE Conference on Computer Vision and Pattern Recognition. Las Vegas, NV, USA: IEEE, 2016: 770-778
  • 加载中
图(16) / 表(7)
计量
  • 文章访问数:  749
  • HTML全文浏览量:  325
  • PDF下载量:  80
  • 被引次数: 

    0(来源:Crossref)

    0(来源:其他)

出版历程
  • 收稿日期:  2024-01-30
  • 修回日期:  2024-04-28
  • 网络出版日期:  2024-07-08

目录

    /

    返回文章
    返回