留言板

尊敬的读者、作者、审稿人, 关于本刊的投稿、审稿、编辑和出版的任何问题, 您可以本页添加留言。我们将尽快给您答复。谢谢您的支持!

姓名
邮箱
手机号码
标题
留言内容
验证码

火星富CO2大气环境下NaY沸石吸附分子污染物机制研究

冯爱虎 戴洁燕 高旭 张青春 于云

冯爱虎, 戴洁燕, 高旭, 张青春, 于云. 火星富CO2大气环境下NaY沸石吸附分子污染物机制研究[J]. 空间科学学报, 2025, 45(2): 310-316. doi: 10.11728/cjss2025.02.2024-0161
引用本文: 冯爱虎, 戴洁燕, 高旭, 张青春, 于云. 火星富CO2大气环境下NaY沸石吸附分子污染物机制研究[J]. 空间科学学报, 2025, 45(2): 310-316. doi: 10.11728/cjss2025.02.2024-0161
FENG Aihu, DAI Jieyan, GAO Xu, ZHANG Qingchun, YU Yun. Adsorption Mechanism of NaY Zeolite on Space Contaminants in the CO2-rich Atmosphere of Mars (in Chinese). Chinese Journal of Space Science, 2025, 45(2): 310-316 doi: 10.11728/cjss2025.02.2024-0161
Citation: FENG Aihu, DAI Jieyan, GAO Xu, ZHANG Qingchun, YU Yun. Adsorption Mechanism of NaY Zeolite on Space Contaminants in the CO2-rich Atmosphere of Mars (in Chinese). Chinese Journal of Space Science, 2025, 45(2): 310-316 doi: 10.11728/cjss2025.02.2024-0161

火星富CO2大气环境下NaY沸石吸附分子污染物机制研究

doi: 10.11728/cjss2025.02.2024-0161 cstr: 32142.14.cjss.2024-0161
基金项目: 东方英才计划领军项目(原上海领军人才)(2023144), 国家自然科学基金项目(52202076), 中国科学院青年创新促进会会员项目(2023261)和中国科协青年人才托举工程项目(2023QNRC001)共同资助
详细信息
    作者简介:
    • 冯爱虎 男, 出生于1991年, 工学博士, 副研究员/硕士生导师, 研究方向为航天器特种无机功能涂层. E-mail: fengaihu@mail.sic.ac.cn
    通讯作者:
    • 于云 女, 出生于1967年, 工学博士, 研究员/博士生导师, 研究方向为航天器特种无机涂层与热防护材料. E-mail: yunyush@mail.sic.ac.cn
  • 中图分类号: V45

Adsorption Mechanism of NaY Zeolite on Space Contaminants in the CO2-rich Atmosphere of Mars

  • 摘要: 利用多孔沸石分子筛实时收集空间分子污染物, 是解决在轨航天器空间分子污染的新方法. 除高真空环境外, 飞行任务阶段的火星探测器还面临特殊的富CO2大气环境. 为了克服空间分子污染物对火星探测器的高灵敏分析仪及其他光学敏感部件造成的污染, 同时降低分子污染物掩盖潜在生命迹象或导致假阳性结果的可能性, 需要验证沸石分子筛是否可以应用于火星探测器. 针对火星探测器面临的特殊火星大气环境, 本文重点开展富CO2大气环境下, NaY沸石分子筛对空间分子污染物的吸附作用机制研究. 选用甲苯(C7H8)作为目标分子污染物, 模拟证实CO2分子主要吸附于NaY沸石β笼位点, 甲苯分子则优先吸附于超笼位点, CO2分子的存在并不影响甲苯分子的吸附. 因此, 在火星富CO2大气条件下, NaY沸石分子筛可以应用于火星探测器, 用于控制空间分子污染物水平.

     

  • 图  1  NaY沸石分子筛模型建立流程

    Figure  1.  Model building process of NaY zeolite

    图  2  NaY沸石分子筛模型

    Figure  2.  Model diagram of NaY zeolite

    图  3  C7H8 (a)和CO2 (b)分子结构模型

    Figure  3.  Structure diagram of C7H8 (a) and CO2 (b) molecules

    图  4  NaY沸石对CO2分子的模拟吸附量与实测吸附量对比

    Figure  4.  Comparisons of simulated and measured adsorption capacity of NaY zeolite on CO2 molecules

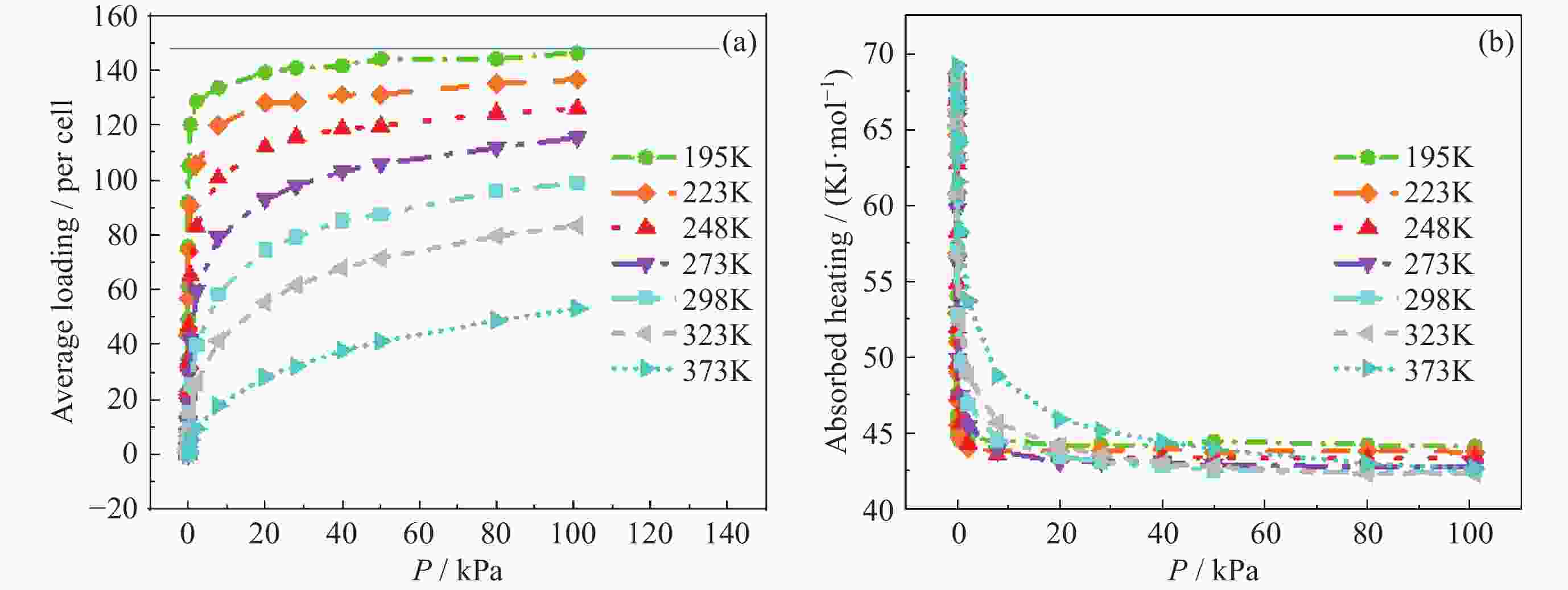
    图  5  不同温度情况下NaY沸石对CO2分子的模拟吸附量(a)及吸附热(b)

    Figure  5.  Simulated adsorption capacity (a) and adsorption heat (b) of NaY zeolite on CO2 molecules under different temperatures

    图  6  压力为500 Pa时CO2分子在NaY沸石内部的分布密度

    Figure  6.  Distribution density of CO2 molecules in NaY zeolite at P = 500 Pa

    图  7  CO2及C7H8分子在NaY沸石内部的竞争吸附曲线

    Figure  7.  Competitive adsorption characteristics of CO2 and C7H8 molecules in NaY zeolite

    图  8  NaY沸石内部CO2及C7H8分子的分布密度. (a)中红色表示CO2, 绿色表示C7H8

    Figure  8.  Distribution density of CO2 and toluene molecules in NaY zeolite. Red represents CO2 and green represents C7H8 in (a)

    图  9  NaY-CO2沸石对C7H8分子的模拟吸附曲线

    Figure  9.  Simulated adsorption capacity curves of NaY-CO2 zeolite for C7H8 molecules

    图  10  不同压力下NaY-CO2沸石内部C7H8分子的分布密度. (a)(b) Ptoluene= 10–4 Pa, (c)(d) Ptoluene =1 Pa

    Figure  10.  Distribution density of C7H8 molecules in NaY-CO2 zeolite at different pressures. (a)(b) Ptoluene= 10–4 Pa, (c)(d) Ptoluene=1 Pa

  • [1] ABRAHAM N S, JALLICE D E. Preliminary testing of NASA’s molecular Adsorber coating technology for future missions to Mars[C/OL]. (2018-10-09) [2024-04-07]. https://ntrs.nasa.gov/citations/20180006126
    [2] STRAKA S, PETERS W, HASEGAWA M, et al. Development of molecular adsorber coatings[C]//Proceedings of the SPIE Optical System Contamination: Effects, Measurements, and Control 2010. San Diego: SPIE, 2010, 7794: 77940C
    [3] ABRAHAM N S, HASEGAWA M M, STRAKA S A. Development and testing of molecular Adsorber coatings[C]//Optical System Contamination: Effects, Measurements, and Control 2012. San Diego: SPIE, 2012, 8492: 849203
    [4] PARK J, CHO K H, KIM J C, et al. Design of olefin-phobic zeolites for efficient ethane and ethylene separation[J]. Chemistry of Materials, 2023, 35(5): 2078-2087 doi: 10.1021/acs.chemmater.2c03645
    [5] FU D L, PARK Y, DAVIS M E. Zinc containing small-pore zeolites for capture of low concentration carbon dioxide[J]. Angewandte Chemie International Edition, 2022, 61(5): e202112916
    [6] ABRAHAM N S, HASEGAWA M M, SECUNDA M S. Application of the molecular adsorber coating technology on the ionospheric connection explorer program[C]//Systems Contamination: Prediction, Control, and Performance 2016. San Diego Convention Center. San Diego: SPIE, 2016, 9952: 99520D
    [7] ABRAHAM N S, HASEGAWA M M, WOOLDRIDGE E M, et al. The use of the molecular adsorber coating technology to mitigate vacuum chamber contamination during pathfinder testing for the James Webb Space Telescope[C]//Systems Contamination: Prediction, Control, and Performance 2016. San Diego: SPIE, 2016, 9952: 99520C
    [8] ABRAHAM N S, JALLICE D E. Using NASA’s Molecular Adsorber Coating technology during thermal vacuum testing to protect critical laser flight optics on the ATLAS instrument[C]//Systems Contamination: Prediction, Control, and Performance 2018. San Diego: SPIE, 2018, 10748: 107480F
    [9] LAURIDANT N, DAOU T J, ARNOLD G, et al. Zeolite hybrid films for space decontamination[J]. Microporous and Mesoporous Materials, 2013, 172: 36-43
    [10] 李娜, 院小雪, 孟立飞, 等. 沸石分子筛对航天器分子污染物的吸附性能研究[J]. 宇航学报, 2016, 37(4): 494-498

    LI Na, YUAN Xiaoxue, MENG Lifei, et al. Absorption properties of zeolite molecular sieves in contamination control of spacecraft[J]. Journal of Astronautics, 2016, 37(4): 494-498
    [11] 卢松涛, 李杨, 洪杨, 等. 一种具有热控功能的白色分子吸附涂层的制备方法: CN, 202011357083.1[P]. 2021-03-12

    LU Songtao, LI Yang, HONG Yang, et al. Preparation method of white molecular adsorption coating with thermal control function: CN, 202011357083.1[P]. 2021-03-12
    [12] FENG A H, DAI J Y, GAO X, et al. Influence of the surfactant on structural characterizations and molecular adsorption properties of surfactant-templated NaY zeolite[J]. Chemical Physics Letters, 2024, 841: 141181
    [13] 戴洁燕, 冯爱虎, 米乐, 等. NaY沸石分子吸附涂层对典型空间污染物的吸附机制研究[J]. 无机材料学报, 2023, 38(10): 1237-1244

    DAI Jieyan, FENG Aihu, MI Le, et al. Adsorption mechanism of NaY zeolite molecular Adsorber coating on typical space contaminations[J]. Journal of Inorganic Materials, 2023, 38(10): 1237-1244
  • 加载中
图(10)
计量
  • 文章访问数:  541
  • HTML全文浏览量:  239
  • PDF下载量:  69
  • 被引次数: 

    0(来源:Crossref)

    0(来源:其他)

出版历程
  • 收稿日期:  2024-11-13
  • 修回日期:  2024-12-22
  • 网络出版日期:  2025-01-20

目录

    /

    返回文章
    返回