留言板

尊敬的读者、作者、审稿人, 关于本刊的投稿、审稿、编辑和出版的任何问题, 您可以本页添加留言。我们将尽快给您答复。谢谢您的支持!

姓名
邮箱
手机号码
标题
留言内容
验证码

基于高热流密度芯片的金刚石歧管针翅散热器传热特性实验研究

乔通 汤凯 郭元东 黄金印 刘金龙 黄亦龙 苗建印 林贵平

乔通, 汤凯, 郭元东, 黄金印, 刘金龙, 黄亦龙, 苗建印, 林贵平. 基于高热流密度芯片的金刚石歧管针翅散热器传热特性实验研究[J]. 空间科学学报, 2025, 45(2): 449-457. doi: 10.11728/cjss2025.02.2024-0176
引用本文: 乔通, 汤凯, 郭元东, 黄金印, 刘金龙, 黄亦龙, 苗建印, 林贵平. 基于高热流密度芯片的金刚石歧管针翅散热器传热特性实验研究[J]. 空间科学学报, 2025, 45(2): 449-457. doi: 10.11728/cjss2025.02.2024-0176
QIAO Tong, TANG Kai, GUO Yuandong, HUANG Jinyin, LIU Jinlong, HUANG Yilong, MIAO Jianyin, LIN Guiping. Experimental Study of a Manifold Pin-fin Diamond Heat Sink for High Heat Flux Chips (in Chinese). Chinese Journal of Space Science, 2025, 45(2): 449-457 doi: 10.11728/cjss2025.02.2024-0176
Citation: QIAO Tong, TANG Kai, GUO Yuandong, HUANG Jinyin, LIU Jinlong, HUANG Yilong, MIAO Jianyin, LIN Guiping. Experimental Study of a Manifold Pin-fin Diamond Heat Sink for High Heat Flux Chips (in Chinese). Chinese Journal of Space Science, 2025, 45(2): 449-457 doi: 10.11728/cjss2025.02.2024-0176

基于高热流密度芯片的金刚石歧管针翅散热器传热特性实验研究

doi: 10.11728/cjss2025.02.2024-0176 cstr: 32142.14.cjss.2024-0176
基金项目: 国家自然科学基金项目(52472443), 中国科协青年人才托举工程项目(2023QNRC001)和航天器热控技术全国重点实验室开放基金项目(NKLST-JJ-202401007)共同资助
详细信息
    作者简介:
    • 乔通 男, 2001年5月生于湖南省邵阳市. 现就读于北京航空航天大学航空科学与工程学院, 硕士研究生, 主要研究方向为歧管微通道换热、流动沸腾传热实验研究. E-mail: 1227848608@qq.com
    通讯作者:
    • 郭元东 男, 1992年6月出生于河北省邢台市. 现为北京航空航天大学航空科学与工程学院副教授, 硕士生导师, 主要研究方向为航天器热控、热管、流动沸腾传热、微通道换热技术理论与实验研究. E-mail: guoyd@buaa.edu.cn
  • 中图分类号: V443.6

Experimental Study of a Manifold Pin-fin Diamond Heat Sink for High Heat Flux Chips

  • 摘要: 微通道散热器是解决高热流密度功率器件的散热难题的有效手段之一, 本文设计并制造了一种适用于高热流散热的金刚石歧管针翅微通道散热器. 利用热测试芯片作为模拟热源, 研究了该散热器在基于氨工质的泵驱两相流回路中的热工性能. 在1510 W·cm–2的局部热流下, 芯片热源表面温度为102.5℃, 热阻为0.151 K·W–1, 压降为1.1 kPa. 研究了进口温度、热流密度、质量流量对散热器热阻和压降的影响, 发现在较高的进口温度条件下散热器的热阻最小. 保持各种工作参数一致, 与铜材质的扩缩流道歧管微通道散热器进行对比, 在710 W·cm–2热流条件下, 金刚石歧管针翅微通道散热器的热阻降低33.32%, 压降降低23.88%.

     

  • 图  1  各类散热技术达到的传热系数对比[5]

    Figure  1.  Comparison of heat transfer coefficients achieved by various heat dissipation techniques[5]

    图  2  实验系统原理

    Figure  2.  Schematic of the experimental system

    图  3  (a) 测试部分的装配图, (b) 散热器示意(不按比例), (c) 热测试芯片, (d)散热器核心换热部件示意

    Figure  3.  (a) Assembly drawing of the test section, (b) schematic of the heat sink (not to scale), (c) thermal test chip, (d) schematic of the core heat exchange components of the heat sink

    图  4  简化模型及热阻分析

    Figure  4.  Simplified model and thermal resistance analysis

    图  5  单列加热热阻压降随热流密度的变化

    Figure  5.  Variation of pressure drop with heat flow density for single-row heating thermal resistance

    图  6  芯片温度分布

    Figure  6.  Chip temperature distribution

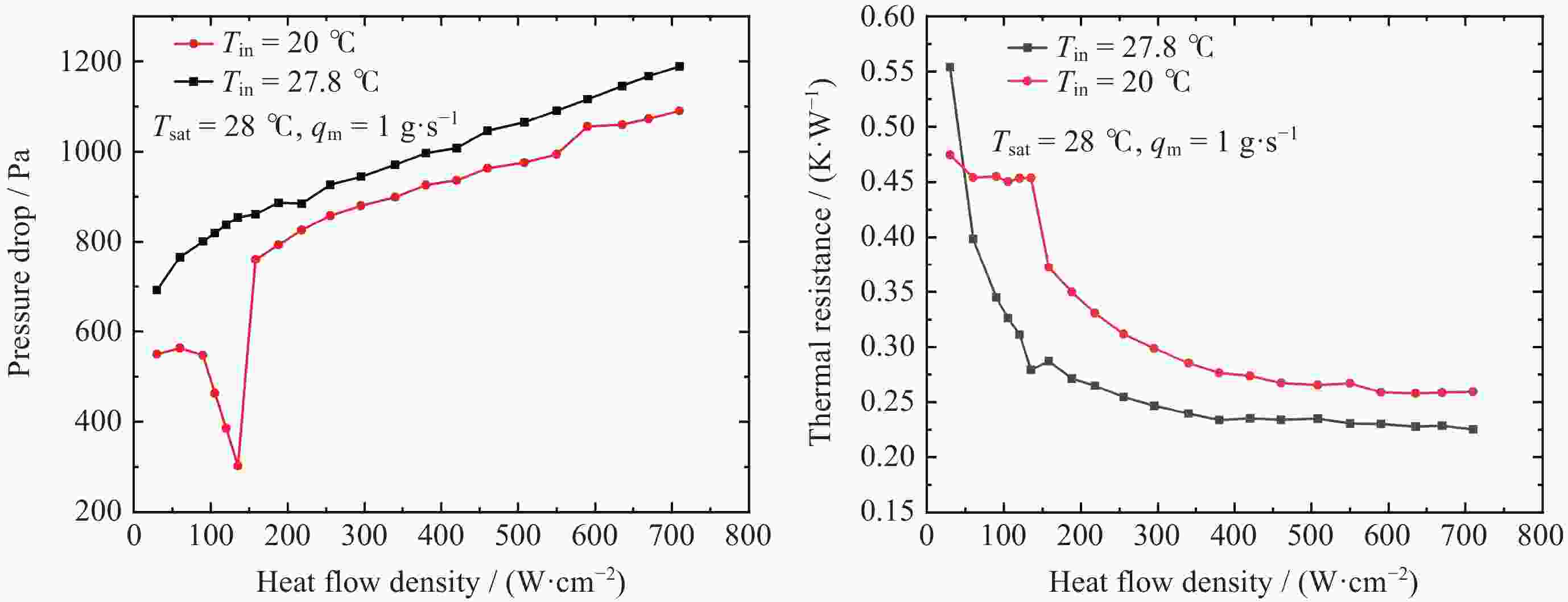
    图  7  不同进口温度下热阻、压降随热流密度的变化

    Figure  7.  Variation of thermal resistance and pressure drop with heat flow density at different inlet temperatures

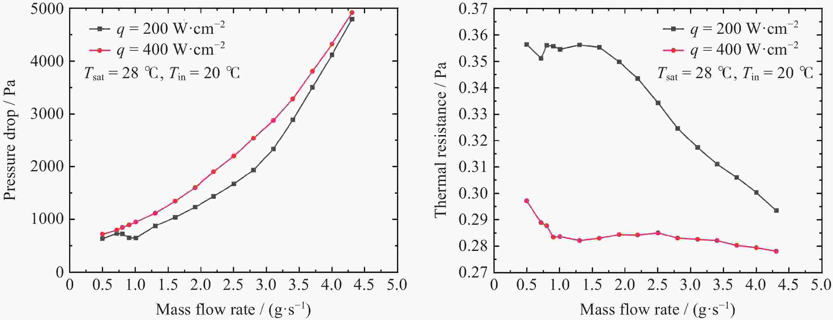
    图  8  不同热流密度情况下热阻、压降随质量流量的变化

    Figure  8.  Variation of thermal resistance and pressure drop with mass flow rate at different heat flow densities

    图  9  无氧铜热沉结构及尺寸

    Figure  9.  Oxygen-free copper heat sink structure and dimensions

    图  10  金刚石和铜散热器热阻、压降随热流密度的变化

    Figure  10.  Variation of thermal resistance and pressure drop with heat flow density for diamond and copper heat sinks

    表  1  金刚石热沉和铜热沉对比

    Table  1.   Comparison of diamond and copper heat sink

    金刚石热沉铜热沉
    热沉材质金刚石无氧铜
    歧管布局HU三层Z双层
    通道结构错排针肋扩缩通道
    下载: 导出CSV
  • [1] 骆洋. 歧管式微通道内气液流动沸腾换热的数值模拟与实验研究[D]. 杭州: 浙江大学, 2021

    LUO Yang. Numerical and Experimental Investigation of Liquid-Vapor Two-Phase Flow Boiling in Manifold Micro-channel[D]. Hangzhou: Zhejiang University, 2021
    [2] AGOSTINI B, FABBRI M, PARK J E, et al. State of the art of high heat flux cooling technologies[J]. Heat Transfer Engineering, 2007, 28(4): 258-281 doi: 10.1080/01457630601117799
    [3] SARKAR S, GUPTA R, ROY T, et al. Review of jet impingement cooling of electronic devices: emerging role of surface engineering[J]. International Journal of Heat and Mass Transfer, 2023, 206: 123888 doi: 10.1016/j.ijheatmasstransfer.2023.123888
    [4] CHENG W L, ZHANG W W, CHEN H, et al. Spray cooling and flash evaporation cooling: the current development and application[J]. Renewable and Sustainable Energy Reviews, 2016, 55: 614-628 doi: 10.1016/j.rser.2015.11.014
    [5] 杜鹏, 周庆忠, 郑涵文, 等. 用于高密度集成微系统的微通道散热技术研究进展[J]. 微电子学与计算机, 2023, 40(1): 87-96

    DU Peng, ZHOU Qingzhong, ZHENG Hanwen, et a1. Research progress of microchannel cooling technology for high-density microsystems[J]. Microelectronics & Computer, 2023, 40(1): 87-96
    [6] 高旭, 王学会, 雷刚, 等. 微重力流动沸腾气泡脱离机制[J]. 低温工程, 2015(2): 7-11,27 doi: 10.3969/j.issn.1000-6516.2015.02.002

    GAO Xu, WANG Xuehui, LEI Gang, et al. Bubble departure mechanism in microgravity flow boiling[J]. Cryogenics, 2015(2): 7-11,27 doi: 10.3969/j.issn.1000-6516.2015.02.002
    [7] HONG S H, WANG J X, GAO Z J, et al. Review on state-of-the-art research in pool and flow boiling under microgravity[J]. Experimental Thermal and Fluid Science, 2023, 144: 110848 doi: 10.1016/j.expthermflusci.2023.110848
    [8] LEE H, PARK I, MUDAWAR I, et al. Micro-channel evaporator for space applications–2. Assessment of predic-tive tools[J]. International Journal of Heat and Mass Transfer, 2014, 77: 1231-1249 doi: 10.1016/j.ijheatmasstransfer.2014.06.008
    [9] HUANG Y P, YANG Q, ZHAO J Q, et al. Experimental study on flow boiling heat transfer characteristics of ammonia in microchannels[J]. Microgravity Science and Technology, 2020, 32(3): 477-492 doi: 10.1007/s12217-020-09786-z
    [10] VAN ERP R, SOLEIMANZADEH R, NELA L, et al. Co-designing electronics with microfluidics for more sustainable cooling[J]. Nature, 2020, 585(7824): 211-216 doi: 10.1038/s41586-020-2666-1
    [11] 朱迅仪, 陈超伟, 张井志, 等. 歧管微通道热沉研究进展与展望[J]. 制冷学报, 2023, 44(4): 15-33 doi: 10.3969/j.issn.0253-4339.2023.04.015

    ZHU Xunyi, CHEN Chaowei, ZHANG Jingzhi, et al. Development and prospects of manifold microchannel heat sink research[J]. Journal of Refrigeration, 2023, 44(4): 15-33 doi: 10.3969/j.issn.0253-4339.2023.04.015
    [12] LIN Y H, LUO Y, LI W, et al. Single-phase and two-phase flow and heat transfer in microchannel heat sink with various manifold arrangements[J]. International Journal of Heat and Mass Transfer, 2021, 171: 121118 doi: 10.1016/j.ijheatmasstransfer.2021.121118
    [13] WU Z H, XIAO W, SONG B. Efficient thermal management of high-power electronics via jet-enhanced HU-type manifold microchannel[J]. International Journal of Heat and Mass Transfer, 2024, 221: 125113 doi: 10.1016/j.ijheatmasstransfer.2023.125113
    [14] JUNG K W, KHARANGATE C R, LEE H, et al. Embedded cooling with 3D manifold for vehicle power electronics application: single-phase thermal-fluid performance[J]. International Journal of Heat and Mass Transfer, 2019, 130: 1108-1119 doi: 10.1016/j.ijheatmasstransfer.2018.10.108
    [15] PALKO J W, LEE H, ZHANG C, et al. Extreme two-phase cooling from laser-etched diamond and conformal, template-fabricated microporous copper[J]. Advanced Functional Materials, 2017, 27(45): 1703265 doi: 10.1002/adfm.201703265
    [16] TANG K, LIN G P, GUO Y D, et al. Thermal-hydraulic characterization of manifold microchannel heat sink with diverging channels and uniform heating[J]. Thermal Science and Engineering Progress, 2023, 46: 102235 doi: 10.1016/j.tsep.2023.102235
    [17] 汤凯, 黄岩培, 郭元东, 等. 局部热点射流式微通道流动沸腾实验研究[J]. 工程热物理学报, 2024, 45(6): 1743-1748

    TANG Kai, HUANG Yanpei, GUO Yuandong, et al. Experimental study on localized hot spot jet impingement flow boiling[J]. Journal of Engineering Thermophysics, 2024, 45(6): 1743-1748
    [18] KALANI A, KANDLIKAR S G. Flow patterns and heat transfer mechanisms during flow boiling over open micro-channels in tapered manifold (OMM)[J]. International Journal of Heat and Mass Transfer, 2015, 89: 494-504 doi: 10.1016/j.ijheatmasstransfer.2015.05.070
    [19] 杨涵. 微通道流动沸腾传热特性及可视化实验研究[D]. 大连: 大连理工大学, 2022

    YANG Han. Experimental Study of Flow Boiling Heat Transfer Characteristics and Visualization in Micro-Channels[D]. Dalian: Dalian University of Technology, 2022
    [20] HUANG Y P, MIAO J Y, NIU Z T, et al. Experimental investigation on heat transfer and pressure drop characteri-stics of confined jet impingement boiling on hybrid-structured surface[J]. Applied Thermal Engineering, 2023, 218: 119320 doi: 10.1016/j.applthermaleng.2022.119320
    [21] TANG K, HUANG Y P, LIN G P, et al. Thermal-hydraulic performance of ammonia in manifold microchannel heat sink[J]. Applied Thermal Engineering, 2023, 232: 121000 doi: 10.1016/j.applthermaleng.2023.121000
  • 加载中
图(10) / 表(1)
计量
  • 文章访问数:  960
  • HTML全文浏览量:  451
  • PDF下载量:  133
  • 被引次数: 

    0(来源:Crossref)

    0(来源:其他)

出版历程
  • 收稿日期:  2024-11-30
  • 录用日期:  2025-04-07
  • 修回日期:  2025-03-10
  • 网络出版日期:  2025-04-20

目录

    /

    返回文章
    返回