留言板

尊敬的读者、作者、审稿人, 关于本刊的投稿、审稿、编辑和出版的任何问题, 您可以本页添加留言。我们将尽快给您答复。谢谢您的支持!

姓名
邮箱
手机号码
标题
留言内容
验证码

空中拖曳锥杆式对接电磁锁紧装置设计

赵俊杰 蒋永 吴福章

赵俊杰, 蒋永, 吴福章. 空中拖曳锥杆式对接电磁锁紧装置设计[J]. 空间科学学报, 2026, 46(1): 232-238. doi: 10.11728/cjss2026.01.2024-0196
引用本文: 赵俊杰, 蒋永, 吴福章. 空中拖曳锥杆式对接电磁锁紧装置设计[J]. 空间科学学报, 2026, 46(1): 232-238. doi: 10.11728/cjss2026.01.2024-0196
ZHAO Junjie, JIANG Yong, WU Fuzhang. Electromagnetic Locking Device Design for Aerial Towed System Probe Docking (in Chinese). Chinese Journal of Space Science, 2026, 46(1): 232-238 doi: 10.11728/cjss2026.01.2024-0196
Citation: ZHAO Junjie, JIANG Yong, WU Fuzhang. Electromagnetic Locking Device Design for Aerial Towed System Probe Docking (in Chinese). Chinese Journal of Space Science, 2026, 46(1): 232-238 doi: 10.11728/cjss2026.01.2024-0196

空中拖曳锥杆式对接电磁锁紧装置设计

doi: 10.11728/cjss2026.01.2024-0196 cstr: 32142.14.cjss.2024-0196
详细信息
    作者简介:
    • 赵俊杰 男, 1990年8月出生, 中国空气动力研究与发展中心低速所工程师, 主要从事流固耦合分析. E-mail: zhaojj15@lzu.edu.cn
    • 吴福章 男, 1987年2月出生, 中国空气动力研究与发展中心低速所高级工程师, 主要从事动力模拟研究. E-mail: wufuzhang208@163.com
  • 中图分类号: O441.3, TH122

Electromagnetic Locking Device Design for Aerial Towed System Probe Docking

  • 摘要: 空中拖曳系统是由拖曳飞行器平台、绳缆和拖曳体组成, 可以执行物资运输、载荷回收等任务, 显著拓展了空中作业空间范围. 拖曳体和拖曳飞行器平台连接过程中, 受拖曳飞行器平台尾流场以及柔性绳缆受气流因素干扰, 致使拖曳体连接过程存在困难, 需要对对接方式进行详细研究. 以空中拖曳锥杆式对接方式为研究对象, 设计了一种锥杆式对接电磁锁紧装置, 给出了快速锁紧与紧急释放的电磁锁紧原理. 通过建立对接过程有限元模型, 以电磁力作为变元进行参数化研究, 获得了电磁对接装置的响应数据. 采用电容供电情形下, 在电容0.5 F以上时, 2 mm×15 mm线规条件下电磁力最大可以达到1000 N以上. 所设计的拖曳锥杆式对接电磁锁紧装置, 为空中对接装置设计提供了新思路.

     

  • 图  1  锥杆式对接电磁锁紧装置内部结构局部剖面(a)与去除L形锥杆后的局部整体(b)

    Figure  1.  Partial sectional view of the structure of electromagnetic locking device for probe docking (a) and a partial overall view after removing the L-shaped probe docking (b)

    图  2  对接连杆锁紧过程

    Figure  2.  Locking process of the probe docking

    图  3  轴对称几何模型

    Figure  3.  Axisymmetric geometric model

    图  4  仿真分析流程

    Figure  4.  Flowchart of the simulation

    图  5  电磁锁紧装置截面磁场分布

    Figure  5.  Cross-sectional magnetic field distribution of the electromagnetic locking device

    图  6  不同电流条件下电磁力随对接连杆位置变化

    Figure  6.  Electromagnetic force variation with docking rod position under different current conditions

    图  7  对接连杆所受电磁力与其直径的关系

    Figure  7.  Relationship between electromagnetic force and the diameter of the docking rod

    图  8  线圈电感与对接连杆所处位置的关系

    Figure  8.  Relationship between coil inductance and the position of the docking rod

    图  9  充放电等效电路

    Figure  9.  Charge-discharge equivalent circuit diagram

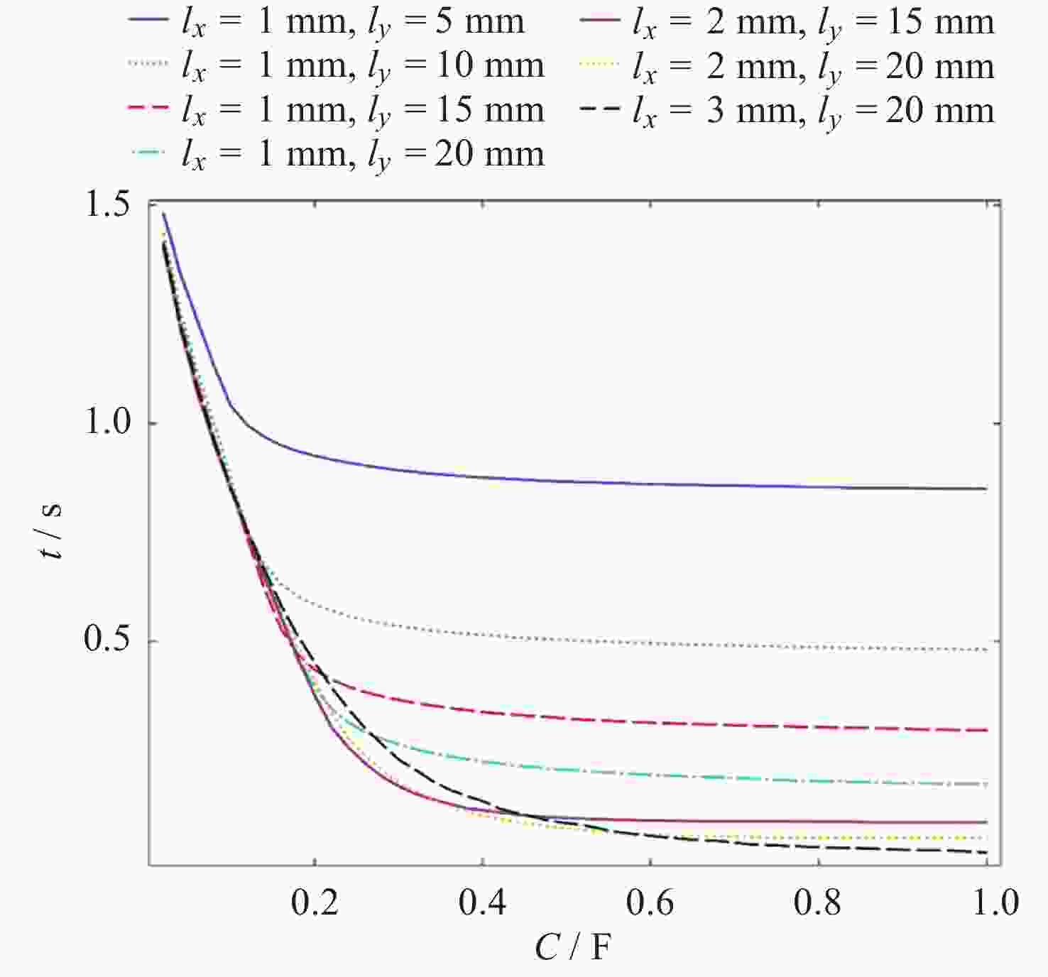
    图  10  不同线规条件下对接连杆运动至末端时间与电容的关系

    Figure  10.  Relationship between the cost time of the docking rod moving to the end and the capacitance size under the different wire gauge conditions

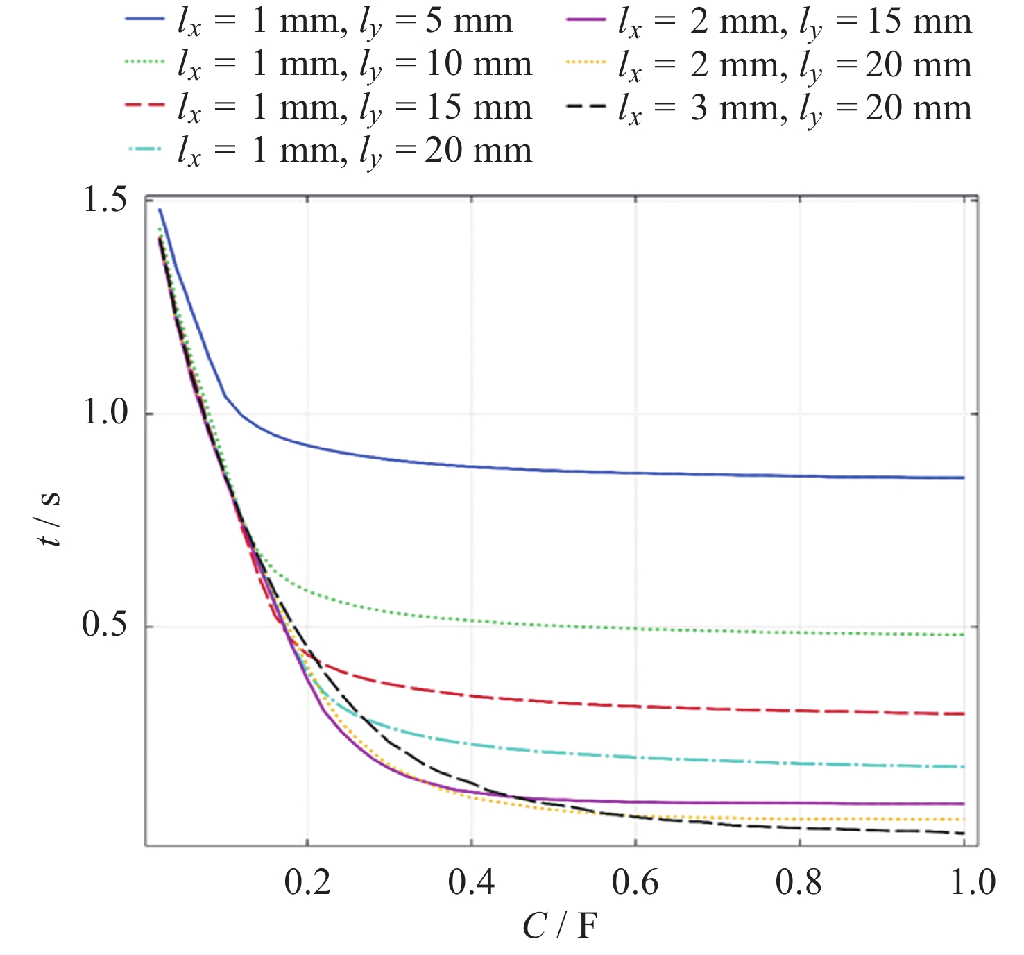
    图  11  不同线规条件下对接连杆运动至末端时所受电磁力与电容关系

    Figure  11.  Relationship between the electromagnetic force when the docking rod moves to the end and the capacitance size under the different wire gauge conditions

    表  1  电源直接对线圈供电情况下的相关技术参数

    Table  1.   Relevant technical parameters when the coil is directly powered by a power supply

    lx /mmly /mmRI/AU/V匝数安匝数
    1511.24.247.3411117367
    1102.88.523.6204017302
    1151.212.815.7134817225
    1200.717.311.698617011
    2150.325.87.766017045
    2200.234.95.748316837
    3200.152.33.832216837
    下载: 导出CSV
  • [1] 苏子康, 陈海通, 徐忠楠. 空中拖曳系统建模与控制技术研究进展[J]. 飞航导弹, 2021(7): 31-40

    SU Zikang, CHEN Haitong, XU Zhongnan. Research progress on modeling and control technology of aerial towing system[J]. Aerodynamic Missile Journal, 2021(7): 31-40
    [2] HUYNH H T, MONTALVO C J. Dynamics of a multi-purpose lightweight towed system[C]//AIAA Atmospheric Flight Mechanics Conference. Denver, Colorado: AIAA, 2017
    [3] 王宏伦, 王延祥, 刘一恒. 基于轨迹映射的无人机拖曳式空中回收轨迹优化[J]. 航空学报, 2023, 44(20): 1-17

    WANG Honglun, WANG Yanxiang, LIU Yiheng. Recovery trajectory optimization for UAV towed aerial recovery based on trajectory mapping[J]. Acta Aeronautica et Astronautica Sinica, 2023, 44(20): 1-17
    [4] HOCHSTETLER R D, BOSMA J, CHACHAD G, et al. Lighter-than-air (LTA)“Airstation”-unmanned aircraft system (UAS) carrier concept[C]//Proceedings of the 16th AIAA Aviation Technology, Integration, and Operations Conference. Washington, DC: AIAA, 2016: 4223
    [5] 闫留浩, 袁锁中. 无人机空中回收视觉导航技术[J]. 兵工自动化, 2022, 41(12): 56-60

    YAN Liuhao, YUAN Suozhong. Vision navigation technology for UAV aerial recovery[J]. Ordnance Industry Automation, 2022, 41(12): 56-60
    [6] 赵航, 廖鹏, 姚磊江. 基于计算流体力学的空中回收锥套气动特性分析[J]. 科学技术与工程, 2020, 20(4): 1684-1689

    ZHAO Hang, LIAO Peng, YAO Leijiang. Analysis of aerodynamic characteristics of drogues for air recycling based on computational fluid dynamics[J]. Science Technology and Engineering, 2020, 20(4): 1684-1689
    [7] 陈海通, 苏子康, 李春涛, 李雪兵, 孟冲, 张朋. 空基回收拖曳系统直线-盘旋转接段运动轨迹设计[J]. 北京航空航天大学学报, 2024, 50(8): 2565-2574

    CHEN Haitong, SU Zikang, LI Chuntao, et al. Trajectory design for straight-circulating flight transition of aerial recovery towing system[J]. Journal of Beijing University of Aeronautics and Astronautics, 2024, 50(8): 2565-2574
    [8] 楼雨涵, 解志坚, 杨臻, 等. 空间对接电磁锁紧机构研究[J]. 兵器装备工程学报, 2020, 41(12): 113-117,148

    LOU Yuhan, XIE Zhijian, YANG Zhen, et al. Research on space docking electromagnetic locking mechanism[J]. Journal of Ordnance Equipment Engineering, 2020, 41(12): 113-117,148
    [9] 黄奕勇, 李强, 陈小前, 等. 自主在轨服务航天器空间对接过程建模与仿真[J]. 计算机仿真, 2011, 28(10): 57-60,106

    HUANG Yiyong, LI Qiang, CHEN Xiaoqian, et al. Modeling and simulating of independent on-orbit servicing spacecrafts’ docking process[J]. Computer Simulation, 2011, 28(10): 57-60,106
    [10] 王昊东, 杨臻, 武国梁. 基于ADAMS的卫星对接机构球锁装置动力学分析[J]. 兵器装备工程学报, 2019, 40(10): 45-49

    WANG Haodong, YANG Zhen, WU Guoliang. Dynamic analysis of ball locking device of satellite docking mechanism based on ADAMS[J]. Journal of Ordnance Equipment Engineering, 2019, 40(10): 45-49
    [11] 杨泽川, 罗汝斌, 廖鹤, 等. 空间重复锁紧技术综述[J]. 航天返回与遥感, 2019, 40(4): 10-21

    YANG Zechuan, LUO Rubin, LIAO He, et al. Overview of Reusable Locking Technology in Space[J]. Spacecraft Recovery & Remote Sensing, 2019, 40(4): 10-21
  • 加载中
图(11) / 表(1)
计量
  • 文章访问数:  459
  • HTML全文浏览量:  179
  • PDF下载量:  25
  • 被引次数: 

    0(来源:Crossref)

    0(来源:其他)

出版历程
  • 收稿日期:  2024-12-25
  • 修回日期:  2025-06-23
  • 网络出版日期:  2025-07-02

目录

    /

    返回文章
    返回