留言板

尊敬的读者、作者、审稿人, 关于本刊的投稿、审稿、编辑和出版的任何问题, 您可以本页添加留言。我们将尽快给您答复。谢谢您的支持!

姓名
邮箱
手机号码
标题
留言内容
验证码

二维调节式太阳观测系统变形误差在轨辨识与补偿

王皓 许海玉 王田野 边志强 闫奎 张立昌

王皓, 许海玉, 王田野, 边志强, 闫奎, 张立昌. 二维调节式太阳观测系统变形误差在轨辨识与补偿[J]. 空间科学学报, 2026, 46(1): 142-149. doi: 10.11728/cjss2026.01.2025-0016
引用本文: 王皓, 许海玉, 王田野, 边志强, 闫奎, 张立昌. 二维调节式太阳观测系统变形误差在轨辨识与补偿[J]. 空间科学学报, 2026, 46(1): 142-149. doi: 10.11728/cjss2026.01.2025-0016
WANG Hao, XU Haiyu, WANG Tianye, BIAN Zhiqiang, YAN Kui, ZHANG Lichang. On-orbit Identification and Compensation for Deformation Errors of Two-demensional Adjusment Solar Observation System (in Chinese). Chinese Journal of Space Science, 2026, 46(1): 142-149 doi: 10.11728/cjss2026.01.2025-0016
Citation: WANG Hao, XU Haiyu, WANG Tianye, BIAN Zhiqiang, YAN Kui, ZHANG Lichang. On-orbit Identification and Compensation for Deformation Errors of Two-demensional Adjusment Solar Observation System (in Chinese). Chinese Journal of Space Science, 2026, 46(1): 142-149 doi: 10.11728/cjss2026.01.2025-0016

二维调节式太阳观测系统变形误差在轨辨识与补偿

doi: 10.11728/cjss2026.01.2025-0016 cstr: 32142.14.cjss.2025-0016
基金项目: 国家自然科学基金项目(42401445)和科技部重点研发计划项目(2023YFB3905301)共同资助
详细信息
    作者简介:
    • 王皓 男, 1984年9月出生于山西省太原市, 现为上海卫星工程研究所高级工程师, 主要研究方向为卫星姿轨控设计与仿真、遥感图像导航与配准等. E-mail: wanghaobuaa@163.com
    通讯作者:
    • 张立昌 男, 1984年8月出生于山东省聊城市, 现为上海卫星工程研究所工程师, 主要研究方向为卫星总体设计与遥感图像处理. E-mail: q_q_zone@163.com
  • 中图分类号: V414.1, P182

On-orbit Identification and Compensation for Deformation Errors of Two-demensional Adjusment Solar Observation System

  • 摘要: 针对卫星二维调节式太阳观测系统内部变形误差导致的光轴指向偏差问题, 提出了一种变形误差在轨辨识与补偿方法. 对太阳观测系统内部光路传递过程进行了数学建模, 对数学模型中的变形误差参数给出在轨辨识与补偿方法, 通过引入高精度数字太敏分步辨识的方式, 解决了利用太阳观测成像结果无法直接解算全部变形误差参数的问题, 通过数学仿真对辨识与补偿方法进行模拟, 并以光轴指向精度作为评价标准对补偿效果进行了评估. 仿真结果表明, 变形误差在轨补偿前后, 太阳观测载荷光轴指向精度提升了两个数量级. 验证了本文提出方法的有效性. 研究结果可为其他含有二维调节机构的有效载荷提供参考.

     

  • 图  1  太阳观测系统坐标系定义

    Figure  1.  Schematic diagram of coordinate definition of the solar observation system

    图  2  太阳观测等效变形误差在轨辨识

    Figure  2.  On-orbit identification for deformation errors of the solar observation system

    图  3  数字太敏视场内5个太阳矢量

    Figure  3.  Schematic diagram of solar vectors within the view field of digital Sun sensor

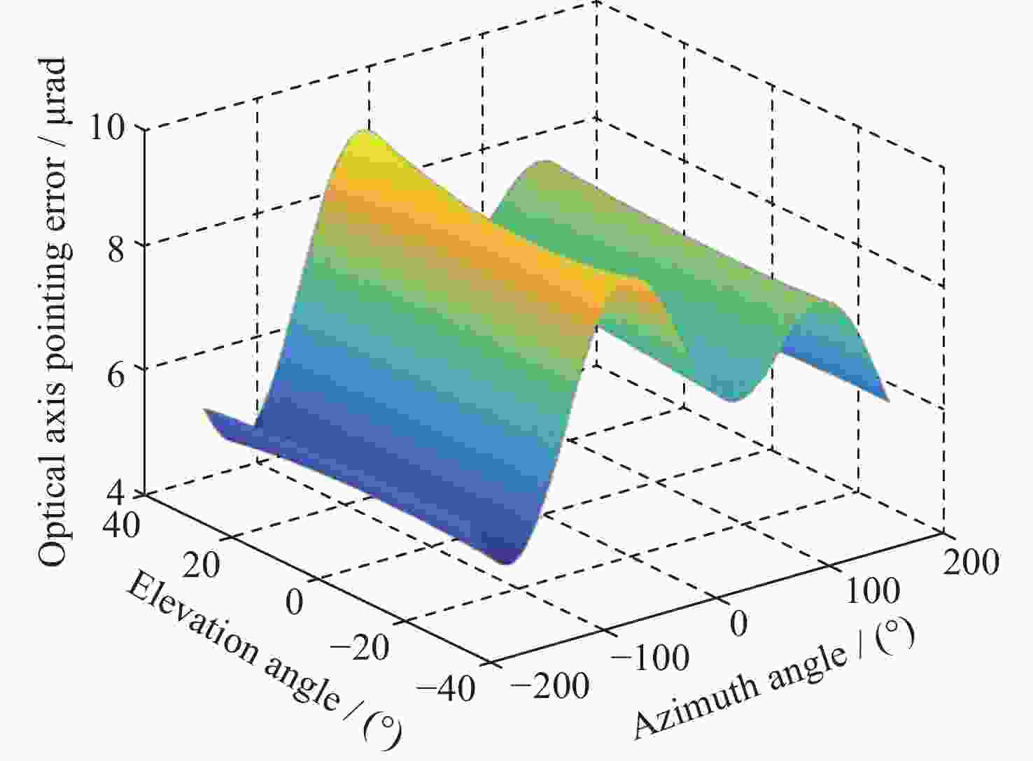
    图  4  理想光轴与实际光轴指向偏差

    Figure  4.  Deviation between ideal optical axis and actual optical axis

    图  5  二维调节机构转角补偿量

    Figure  5.  Angle correction of two-dimensional adjustment

    图  6  补偿后载荷光轴指向偏差

    Figure  6.  Pointing deviation of load optical axis after correction

  • [1] 张伟, 陈鹏飞. 空间太阳探测技术的发展现状与展望[J]. 前瞻科技, 2022, 1(1): 28-37

    ZHANG Wei, CHEN Pengfei. Present situation and prospect of space solar exploration technology[J]. Science and Technology Foresight, 2022, 1(1): 28-37
    [2] 白先勇, 田晖, 邓元勇, 等. 太阳极紫外光谱探测的历史与展望[J]. 空间科学学报, 2023, 43(3): 406-422 doi: 10.11728/cjss2023.03.220125010

    BAI Xianyong, TIAN Hui, DENG Yuanyong, et al. Current status and future perspectives of solar spectroscopic observations at extreme ultraviolet wavelengths[J]. Chinese Journal of Space Science, 2023, 43(3): 406-422 doi: 10.11728/cjss2023.03.220125010
    [3] 刘阳. 太阳极紫外图像局部场中的位移测量方法研究[D]. 长春: 中国科学院大学 (中国科学院长春光学精密机械与物理研究所), 2020

    LIU Yang. Research on Displacement Measurement Theory in Local Field of Solar Extrem Ultraviolet Bands[D]. Changchun: The University of Chinese Academy of Sciences (Changchun Institute of Optics, Fine Mechanics and Physics, Chinese Academy of Sciences), 2020
    [4] 上海卫星工程研究所. 太阳观测二维指向机构热变形在轨辨识方法及系统X: 中国, CN202311706344[P]. 2024-03-22

    Shanghai Institute of Satellite Engineering. Solar Observation Two-Dimensional Pointing Mechanism Thermal Deformation On-orbit Identification Method and SystemX: China, CN202311706344[P]. 2024-03-22
    [5] 张欢, 刘志全, 于春宇, 等. 地磁测量卫星光学平台结构热稳定性设计与校验[J]. 宇航学报, 2023, 44(10): 1604-1612

    ZHANG Huan, LIU Zhiquan, YU Chunyu, et al. Thermal stability design and verification of optical bench structure of geomagnetic survey satellite[J]. Journal of Astronautics, 2023, 44(10): 1604-1612
    [6] 王庆雷, 孙世君, 姜宏佳, 等. 光学遥感器光机结构热变形的高精度测量[J]. 光学 精密工程, 2022, 30(8): 948-959 doi: 10.37188/OPE.20223008.0948

    WANG Qinglei, SUN Shijun, JIANG Hongjia, et al. High-precision thermal deformation measurement of optical remote sensor optical-mechanical structure[J]. Optics and Precision Engineering, 2022, 30(8): 948-959 doi: 10.37188/OPE.20223008.0948
    [7] 葛桓宇, 肖正航, 王跃. 基于热变形补偿的双材料低温镜头支撑结构研究[J]. 航天返回与遥感, 2022, 43(3): 69-76

    GE Huanyu, XIAO Zhenghang, WANG Yue. Research on cryogenic lens support structures based on a bi-material system for thermal deformation compensation[J]. Spacecraft Recovery & Remote Sensing, 2022, 43(3): 69-76
    [8] CARR J L. Twenty-five years of INR[J]. Journal of the Astronautical Sciences, 2009, 57(1/2): 505-515 doi: 10.1007/bf03321514
    [9] 沈毅力, 吕旺, 于永江, 等. 用于图像定位与配准的扫描辐射计扫描镜热变形模型研究[J]. 上海航天, 2014, 31(2): 26-29,72 doi: 10.19328/j.cnki.1006-1630.2014.02.005

    SHEN Yili, LV Wang, YU Yongjiang, et al. Research of imager scan mirror’s thermal distortion model for image navigation and registration[J]. Aerospace Shanghai, 2014, 31(2): 26-29,72 doi: 10.19328/j.cnki.1006-1630.2014.02.005
    [10] LYU Wang, WANG Tianshu, DONG Yaohai, et al. Imaging navigation and registration for geostationary imager[J]. IEEE Geoscience and Remote Sensing Letters, 2017, 14(12): 2175-2179 doi: 10.1109/LGRS.2017.2657578
    [11] 龚健雅, 王密, 杨博. 高分辨率光学卫星遥感影像高精度无地面控制精确处理的理论与方法[J]. 测绘学报, 2017, 46(10): 1255-1261

    GONG Jianya, WANG Mi, YANG Bo. High-precision geometric processing theory and method of high-resolution optical remote sensing satellite imagery without GCP[J]. Acta Geodaetica et Cartographica Sinica, 2017, 46(10): 1255-1261
    [12] 安成锦, 李振, 陈军, 等. 使用等效偏移角稀疏测量的面阵相机序贯图像几何校正[J]. 国防科技大学学报, 2023, 45(5): 164-172

    AN Chengjin, LI Zhen, CHEN Jun, et al. Sequential image geometric correction of area array camera using equivalent bias angle sparse measurement[J]. Journal of National University of Defense Technology, 2023, 45(5): 164-172
    [13] 皮英冬, 谢宝蓉, 杨博, 等. 利用稀少控制点的线阵推扫式光学卫星在轨几何定标方法[J]. 测绘学报, 2019, 48(2): 216-225

    PI Yingdong, XIE Baorong, YANG Bo, et al. On-orbit geometric calibration of linear push-broom optical satellite only using sparse GCPs[J]. Acta Geodaetica et Cartographica Sinica, 2019, 48(2): 216-225
    [14] WEI M S, XING F, YOU Z. An implementation method based on ERS imaging mode for sun sensor with 1 kHz update rate and 1″ precision level[J]. Optics Express, 2013, 21(26): 32524-32533 doi: 10.1364/OE.21.032524
    [15] 常晔, 张建福, 王伟华, 等. 一种用于对日观测载荷的高精度高更新率太阳敏感器[J]. 空间控制技术与应用, 2019, 45(6): 53-59 doi: 10.3969/j.issn.1674-1579.2019.06.008

    CHANG Ye, ZHANG Jianfu, WANG Weihua, et al. A Sun sensor with high accuracy and high update rate for payload of solar observation[J]. Aerospace Control and Application, 2019, 45(6): 53-59 doi: 10.3969/j.issn.1674-1579.2019.06.008
    [16] YAN G Z, ZHANG J, CHENG Z, et al. Geometric calibration of rotational vision system for dynamic exterior orientation[J]. Instrumentation, 2023, 10(3): 23-33 doi: 10.21203/rs.3.rs-616905/v1
  • 加载中
图(6)
计量
  • 文章访问数:  508
  • HTML全文浏览量:  287
  • PDF下载量:  47
  • 被引次数: 

    0(来源:Crossref)

    0(来源:其他)

出版历程
  • 收稿日期:  2025-01-14
  • 修回日期:  2025-05-26
  • 网络出版日期:  2025-05-27

目录

    /

    返回文章
    返回