留言板

尊敬的读者、作者、审稿人, 关于本刊的投稿、审稿、编辑和出版的任何问题, 您可以本页添加留言。我们将尽快给您答复。谢谢您的支持!

姓名
邮箱
手机号码
标题
留言内容
验证码

2020-2025年北斗三号广播星历及电离层模型性能研究

郝鑫宇 何倩倩 颜博 刘蕾

郝鑫宇, 何倩倩, 颜博, 刘蕾. 2020-2025年北斗三号广播星历及电离层模型性能研究[J]. 空间科学学报, 2026, 46(1): 61-75. doi: 10.11728/cjss2026.01.2025-0101
引用本文: 郝鑫宇, 何倩倩, 颜博, 刘蕾. 2020-2025年北斗三号广播星历及电离层模型性能研究[J]. 空间科学学报, 2026, 46(1): 61-75. doi: 10.11728/cjss2026.01.2025-0101
HAO Xinyu, HE Qianqian, YAN Bo, LIU Lei. Research on the Performance of Beidou-3 Broadcast Ephemeris and Ionospheric Model from 2020 to 2025 (in Chinese). Chinese Journal of Space Science, 2026, 46(1): 61-75 doi: 10.11728/cjss2026.01.2025-0101
Citation: HAO Xinyu, HE Qianqian, YAN Bo, LIU Lei. Research on the Performance of Beidou-3 Broadcast Ephemeris and Ionospheric Model from 2020 to 2025 (in Chinese). Chinese Journal of Space Science, 2026, 46(1): 61-75 doi: 10.11728/cjss2026.01.2025-0101

2020-2025年北斗三号广播星历及电离层模型性能研究

doi: 10.11728/cjss2026.01.2025-0101 cstr: 32142.14.cjss.2025-0101
详细信息
    作者简介:
    • 郝鑫宇 男, 2001年2月出生于河北省遵化市, 现为中国电子科技集团公司第十五研究所硕士研究生. E-mail: 1009734093@qq.com
    通讯作者:
    • 何倩倩 女, 1990年6月出生于新疆维吾尔自治区奇台县, 现为中国电子科技集团公司第十五研究所高级工程师, 北京航空航天大学博士研究生. E-mail: heqq.90629@qq.com
  • 中图分类号: P228

Research on the Performance of Beidou-3 Broadcast Ephemeris and Ionospheric Model from 2020 to 2025

  • 摘要: 北斗三号全球卫星导航系统(BDS-3)于2020年7月31日正式开通, 其空间段服务能力是决定系统整体性能表现的重要因素. 本文对广播轨道、广播钟差、空间信号测距误差、广播电离层精度的评估计算方法进行了分析, 分别以GFZ (German Research Centre for Geosciences)和iGMAS (International GNSS Monitoring and Assessment System)的最终产品为参考基准, 对系统从2020年正式开通至2025年的变化情况进行了评估分析. 研究表明, BDS-3广播轨道精度呈现明显的卫星类型相关性, MEO卫星高于IGSO卫星, 与GFZ产品和iGMAS产品相比, 径向、切向、法向 95% 的 RMS值均得到不同程度地改善; 广播钟差误差与SISRE (Signal-In-Space Range Error) 95%的 RMS值则提升了分米级的精度; 电离层模型误差方面, 在评估周期内, Klobuchar模型的VTEC值分布范围相对较广, 低VTEC区间BDGIM模型的频次分布更为集中; 与CODE和iGMAS电离层产品相比, 在太阳活动极小期的2020年BDGIM (Beidou Global Lonospheric Delay Correction Model) 模型VTEC平均RMS值优于Klobuchar模型, 而在太阳活动极大期的2025年两模型的VTEC平均RMS值均呈上升的趋势, 且BDGIM模型的稳定性更强.

     

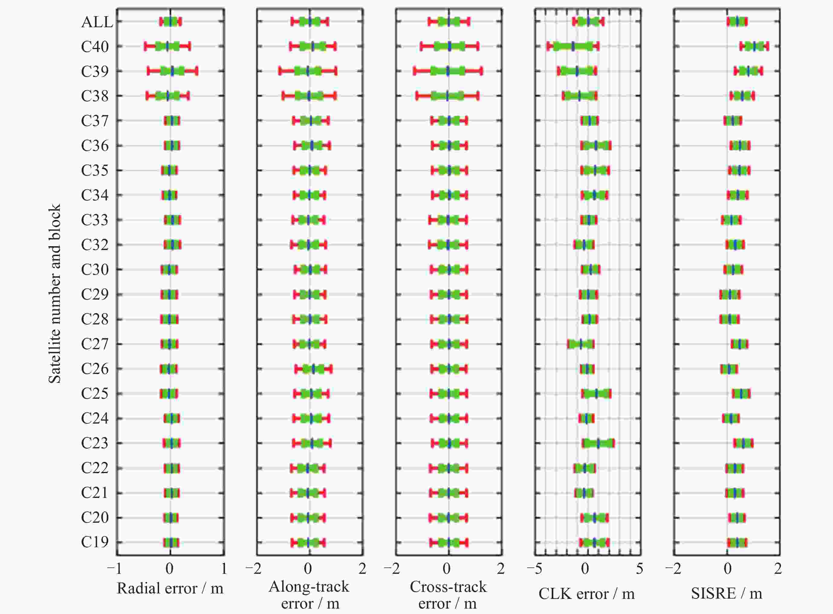
  • 图  1  以GFZ产品为基准, BDS-3在2020年的径向、切向、法向轨道误差及钟差误差概率分布

    Figure  1.  Radial, along-track and cross-track orbit error, clock error probability distribution plot of BDS-3, based on GFZ products in 2020

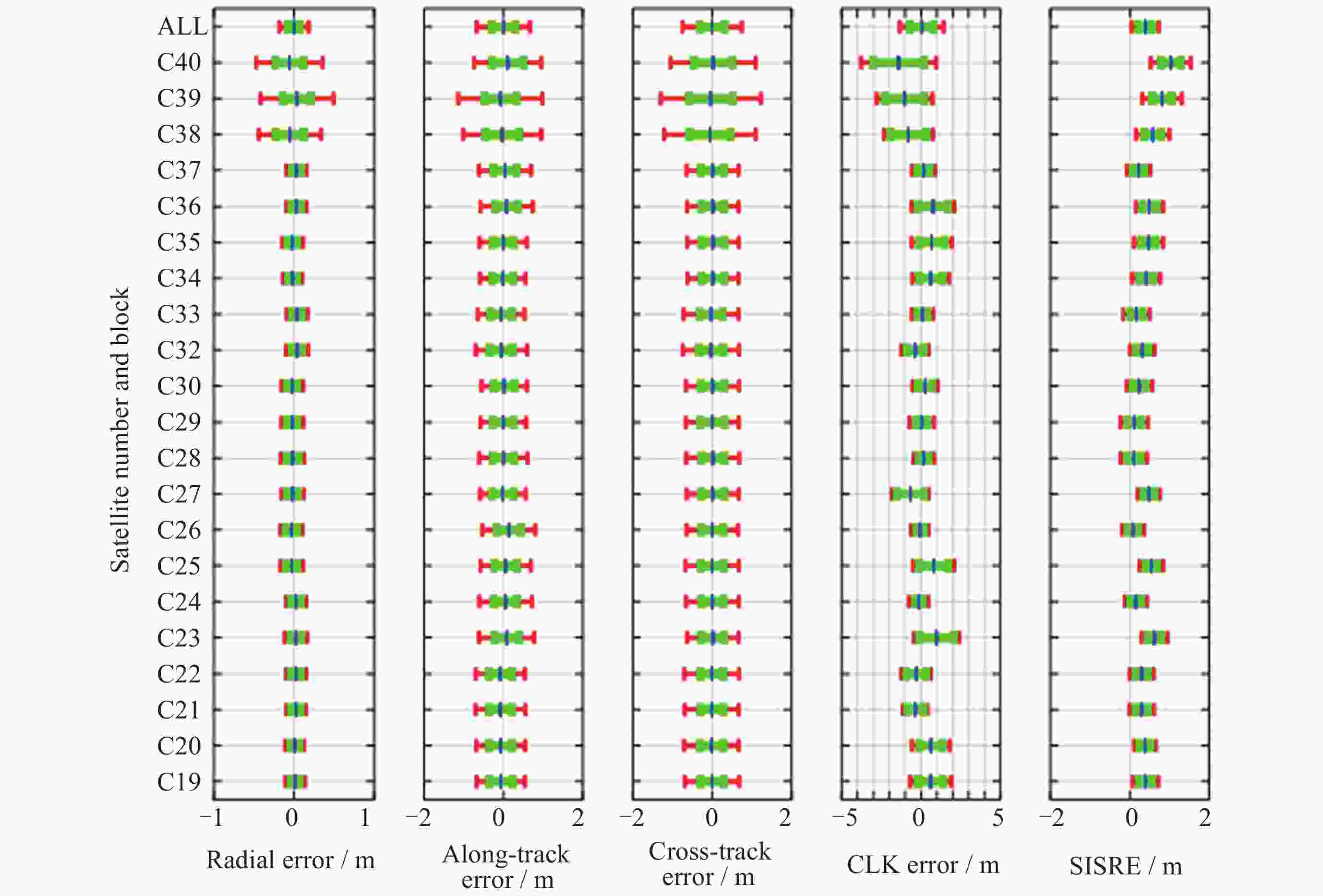
    图  2  以GFZ产品为基准, BDS-3在2025年的径向、切向、法向轨道误差及钟差误差概率分布

    Figure  2.  Radial, along-track and cross-track orbit error, clock error probability distribution plot of BDS-3, based on GFZ products in 2025

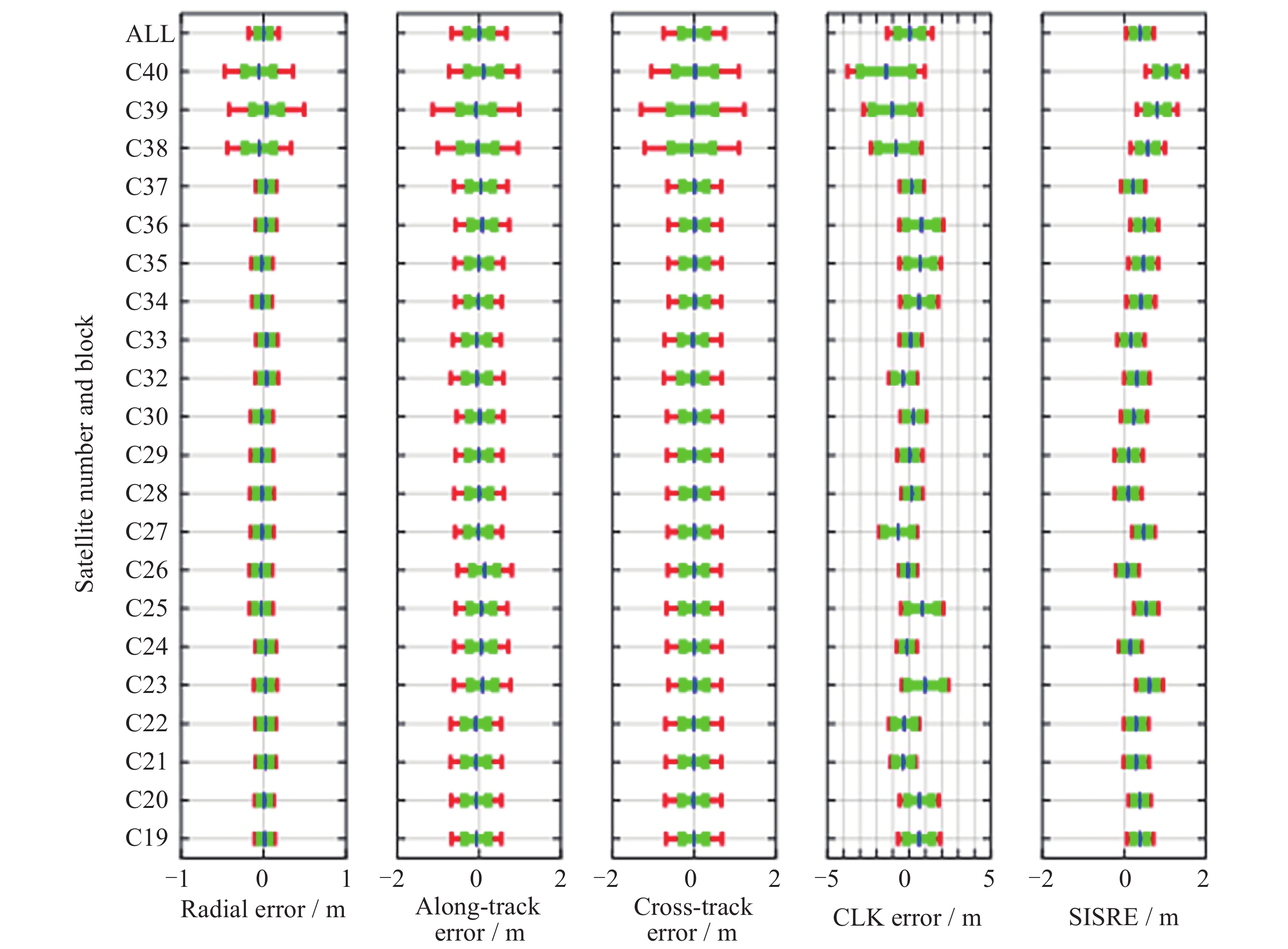
    图  3  以iGMAS产品为基准, BDS-3在2020年的径向、切向、法向轨道误差及钟差误差概率分布

    Figure  3.  Radial, along-track and cross-track orbit error, clock error probability distribution plot of BDS-3, based on iGMAS products in 2020

    图  4  以iGMAS产品为基准, BDS-3在2025年的径向、切向、法向轨道误差及钟差误差概率分布

    Figure  4.  Radial, along-track and cross-track orbit error, clock error probability distribution plot of BDS-3, based on iGMAS products in 2025

    图  5  以GFZ产品为基准的BDS-3径向、切向、法向轨道误差、钟差误差及SISRE RMS变化

    Figure  5.  RMS variation of BDS-3 radial, along-track, cross-track orbital errors, clock error, and SISRE with GFZ products as reference

    图  6  以iGMAS产品为基准的BDS-3径向、切向、法向轨道误差、钟差误差及SISRE RMS变化

    Figure  6.  RMS variation of BDS-3 radial, along-track, cross-track orbital errors, clock error, and SISRE with iGMAS products as reference

    图  7  以GFZ产品为基准, BDS-3在2020年的径向、切向、法向轨道误差、钟差误差及SISRE统计

    Figure  7.  Statistical plot of BDS-3 radial, along-track and cross-track orbit errors, clock errors and SISRE based on GFZ products in 2020

    图  10  以iGMAS产品为基准, BDS-3在2025年的径向、切向、法向轨道误差、钟差误差及SISRE统计

    Figure  10.  Statistical plot of BDS-3 radial, along-track, cross-track orbit errors, clock errors and SISRE based on iGMAS products in 2025

    图  8  以GFZ产品为基准, BDS-3在2025年的径向、切向、法向轨道误差、钟差误差及SISRE统计

    Figure  8.  Statistical plot of BDS-3 radial, along-track and cross-track orbit errors, clock errors and SISRE based on GFZ products in 2025

    图  9  以iGMAS产品为基准, BDS-3在2020年的径向、切向、法向轨道误差、钟差误差及SISRE统计

    Figure  9.  Statistical plot of BDS-3 radial, along-track and cross-track orbit errors, clock errors and SISRE based on iGMAS products in 2020

    图  11  以CODE产品为基准, 2020-2025年的BDS Klobuchar模型与BDGIM模型VTEC RMS直方图

    Figure  11.  BDS Klobuchar model and BDGIM model VTEC RMS histogram based on CODE products from 2020 to 2025

    图  12  以iGMAS产品为基准, 2020-2025年的BDS Klobuchar模型与BDGIM模型VTEC RMS直方图

    Figure  12.  BDS Klobuchar model and BDGIM model VTEC RMS histogram based on iGMAS products from 2020 to 2025

    图  13  以CODE产品为基准的2020-2025年BDS Klobuchar模型VTEC RMS序列

    Figure  13.  BDS Klobuchar model VTEC RMS sequential diagram from 2020 to 2025 based on CODE products

    图  14  以iGMAS产品为基准的2020-2025年BDS Klobuchar模型VTEC RMS序列图

    Figure  14.  BDS Klobuchar model VTEC RMS sequential diagram from 2020 to 2025 based on iGMAS products

    图  15  以CODE产品为基准的2020-2025年BDGIM模型VTEC RMS序列

    Figure  15.  BDGIM model VTEC RMS sequential diagram from 2020 to 2025 based on CODE products

    图  16  以iGMAS产品为基准的2020-2025年BDGIM模型VTEC RMS序列

    Figure  16.  BDGIM model VTEC RMS sequential diagram from 2020 to 2025 based on iGMAS products

    表  1  轨道数据、钟差数据及电离层数据下载链接

    Table  1.   Download links for orbit data, clock data and ionosphere data

    Type Download links
    BRDM ftp://igs.gnsswhu.cn/pub/gps/data/daily/
    GFZ ftp://ftp.gfz-potsdam.de/home/GNSS/products/mgex/
    iGMAS http://www.igmas.org/Product/TreePage/tree/cate_id/37.html
    CODE ftp://ftp.aiub.unibe.ch/CODE/
    下载: 导出CSV

    表  2  以GFZ产品为基准, BDS-3在2020-2025年的轨道误差、钟差误差、SISRE RMS 95%统计精度

    Table  2.   BDS-3 orbit error, clock error and SISRE RMS 95% statistical precision based on GFZ products in 2020-2025

    Year R/m A/m C/m CLK/m SISRE/m
    2020 0.104 0.482 0.589 0.705 0.705
    2021 0.096 0.502 0.601 0.572 0.580
    2022 0.094 0.614 0.657 0.623 0.636
    2023 0.097 0.645 0.631 0.584 0.668
    2024 0.087 0.354 0.337 0.530 0.542
    2025 0.080 0.351 0.364 0.540 0.549
    下载: 导出CSV

    表  3  以iGMAS产品为基准, BDS-3在2020-2025年的轨道误差、钟差误差、SISRE的RMS 95%统计精度

    Table  3.   BDS-3 orbit error, clock error and SISRE RMS 95% statistical precision based on iGMAS products in 2020―2025

    Year R/m A/m C/m CLK/m SISRE/m
    2020 0.086 0.386 0.461 0.811 0.817
    2021 0.086 0.456 0.505 0.662 0.666
    2022 0.087 0.592 0.649 0.716 0.738
    2023 0.086 0.635 0.647 0.846 0.883
    2024 0.078 0.354 0.331 0.622 0.625
    2025 0.073 0.341 0.350 0.640 0.645
    下载: 导出CSV

    表  4  以CODE产品为基准的2020-2025年BDS Klobuchar和BDGIM模型VTEC平均、最大、最小RMS

    Table  4.   Mean, max and min RMS of VTEC for BDS Klobuchar and BDGIM models based on CODE products from 2020 to 2025

    Year BDS Klobuchar/TECU BDGIM/TECU
    mean max min mean max min
    2020 7.359 35.440 4.350 3.193 6.240 1.570
    2021 7.420 34.940 3.690 3.545 16.900 1.660
    2022 11.096 36.140 4.350 5.923 32.870 2.290
    2023 16.626 40.150 6.420 9.337 33.740 3.520
    2024 21.039 41.630 7.940 12.025 41.560 6.050
    2025 22.211 34.500 10.400 11.481 35.330 6.640
    下载: 导出CSV

    表  5  以iGMAS产品为基准的2020-2025年BDS Klobuchar和BDGIM模型VTEC平均、最大、最小RMS

    Table  5.   Mean, max and min RMS of VTEC for BDS Klobuchar and BDGIM models based on iGMAS products from 2020 to 2025

    Year BDS Klobuchar/TECU BDGIM/TECU
    mean max min mean max min
    2020 7.367 35.930 4.140 3.176 6.790 1.480
    2021 7.615 35.180 4.050 3.734 16.400 1.730
    2022 10.951 35.590 4.640 5.956 32.030 2.490
    2023 15.962 40.010 5.950 8.549 32.140 3.550
    2024 20.759 41.550 8.120 11.257 41.210 5.090
    2025 21.802 33.810 10.000 10.493 35.950 5.890
    下载: 导出CSV
  • [1] 王朝辉, 马下平, 严丽, 等. 北斗三号全球卫星导航系统的广播星历精度评估[J]. 测绘通报, 2021(1): 59-65

    WANG Zhaohui, MA Xiaping, YAN Li, et al. Accuracy assessment of BDS-3 broadcast ephemeris[J]. Bulletin of Surveying and Mapping, 2021(1): 59-65
    [2] 全国北斗卫星导航标准化技术委员会. 北斗卫星导航术语: GB/T 39267‒2020[S]. 北京: 中国标准出版社, 2020: 3

    National Beidou Navigation Satellite Standardization Technical Committee of the People’s Republic of China. Terminology for Beidou Navigation Satellite System (BDS): GB/T 39267‒2020[S]. Beijing: Standards Press of China, 2020: 3
    [3] YANG Y X, MAO Y, SUN B J. Basic performance and future developments of Beidou global navigation satellite system[J]. Satellite Navigation, 2020, 1(1): 1 doi: 10.1186/s43020-019-0006-0
    [4] 许扬胤, 杨元喜, 曾安敏, 等. 北斗三号全球系统空间信号精度评估分析[J]. 大地测量与地球动力学, 2020, 40(10): 1000-1006 doi: 10.14075/j.jgg.2020.10.002

    XU Yangyin, YANG Yuanxi, ZENG Anmin, et al. Accuracy assessment of signal in space of BDS-3 global system[J]. Journal of Geodesy and Geodynamics, 2020, 40(10): 1000-1006 doi: 10.14075/j.jgg.2020.10.002
    [5] 刘东亮, 成芳, 沈朋礼, 等. 北斗三号全球卫星导航系统空间信号精度评估[J]. 全球定位系统, 2022, 47(2): 114-125 doi: 10.12265/j.gnss.2021112201

    LIU Dongliang, CHENG Fang, SHEN Pengli, et al. Accu racy assessment of BDS-3 satellite signal-in-space[J]. GNSS World of China, 2022, 47(2): 114-125 doi: 10.12265/j.gnss.2021112201
    [6] 蔡玉林, 吴汤婷, 范亚楠, 等. 北斗GEO/IGSO/MEO卫星广播星历的轨道精度评估[J]. 江西科学, 2024, 42(5): 1027-1033 doi: 10.13990/j.issn1001-3679.2024.05.018

    CAI Yulin, WU Tangting, FAN Yanan, et al. Evaluation of orbital accuracy for BDS GEO/IGSO/MEO satellite broadcast ephemeris[J]. Jiangxi Science, 2024, 42(5): 1027-1033 doi: 10.13990/j.issn1001-3679.2024.05.018
    [7] 鲍任杰, 唐成盼, 胡小工, 等. 北斗广播电离层模型精度评估研究[J/OL]. 北京航空航天大学学报, 2023: 1-14[2023-12-07]. https://doi.org/10.13700/j.bh.1001-5965.2023.0588

    BAO Renjie, TANG Chengpan, HU Xiaogong, et al. Study on the accuracy evaluation of BeiDou broadcast ionospheric model[J/OL]. Journal of Beijing University of Aeronautics and Astronautics, 2023: 1-14[2023-12-07]. https://doi.org/10.13700/j.bh.1001-5965.2023.0588
    [8] ZHANG H F, LONG M L, YANG H F, et al. Overview of satellite laser ranging for BeiDou navigation satellite system[J]. Aerospace China, 2020, 21(4): 31-41
    [9] 中国卫星导航系统管理办公室. 北斗卫星导航系统空间信号接口控制文件公开服务信号B1I(3.0版)[EB/OL]. (2019-02-27)[2019-12-20]. http://www.beidou.gov.cn/xt/gfxz/201902/P020190227593621142475.pdf

    China Satellite Navigation Office (CSNO). BeiDou Navigation Satellite System Signal In Space Interface Control Document Open Service Signal B1I(version 3.0)[EB/OL]. (2019-02-27)[2019-12-20]. http://www.beidou.gov.cn/xt/gfxz/201902/P020190227593621142475.pdf
    [10] 郭树人, 蔡洪亮, 孟轶男, 等. 北斗三号导航定位技术体制与服务性能[J]. 测绘学报, 2019, 48(7): 810-821

    GUO Shuren, CAI Hongliang, MENG Yinan, et al. BDS-3 RNSS technical characteristics and service performance[J]. Acta Geodaetica et Cartographica Sinica, 2019, 48(7): 810-821
    [11] 姚文豪. 北斗三号卫星多频差分码偏差估计与电离层预报[D]. 徐州: 中国矿业大学, 2022

    YAO Wenhao. Estimation of Multi-Frequency Differential Code Bias of Beidou-3 Satellite and Ionospheric Forecast[D]. Xuzhou: China University of Mining and Technology, 2022
    [12] 刘路, 郭金运, 周茂盛, 等. GNSS广播星历轨道和钟差精度分析[J]. 武汉大学学报: 信息科学版, 2022, 47(7): 1122-1132 doi: 10.13203/j.whugis20200166

    LIU Lu, GUO Jinyun, ZHOU Maosheng, et al. Accuracy analysis of GNSS broadcast ephemeris orbit and clock offset[J]. Geomatics and Information Science of Wuhan University, 2022, 47(7): 1122-1132 doi: 10.13203/j.whugis20200166
    [13] 张柔. 北斗/GNSS空间信号精度评估方法研究[D]. 武汉: 武汉大学, 2019

    ZHANG Rou. Research on BDS/GNSS Signal-in-Space User Range Evaluation Method[D]. Wuhan: Wuhan University, 2019
    [14] 王海春. GNSS空间信号精度评估分析[D]. 西安: 长安大学, 2020. DOI: 10.26976/d.cnki.gchau.2020.002089

    WANG Haichun. Accuracy Assessment and Analysis of GNSS Signal in Space[D]. Xi’an: Chang’an University, 2020. DOI: 10.26976/d.cnki.gchau.2020.002089
    [15] 张柔, 胡志刚, 陶钧, 等. 顾及不同天线相位中心改正模型的北斗空间信号精度评估方法[J]. 武汉大学学报: 信息科学版, 2019, 44(6): 806-813 doi: 10.13203/j.whugis20180388

    ZHANG Rou, HU Zhigang, TAO Jun, et al. BDS signal-in-space user range error evaluation considering different antenna phase center offset models[J]. Geomatics and Information Science of Wuhan University, 2019, 44(6): 806-813 doi: 10.13203/j.whugis20180388
    [16] MONTENBRUCK O, STEIGENBERGER P, HAUSCHILD A. Broadcast versus precise ephemerides: a multi-GNSS perspective[J]. GPS Solutions, 2015, 19(2): 321-333 doi: 10.1007/s10291-014-0390-8
    [17] 景鑫, 车通宇, 周舒涵, 等. 北斗三号系统开通前后广播星历精度对比分析[J]. 全球定位系统, 2022, 47(4): 23-30 doi: 10.12265/j.gnss.2022051

    JING Xin, CHE Tongyu, ZHOU Shuhan, et al. Comparative analysis of broadcast ephemeris accuracy before and after the opening of BDS-3 system[J]. GNSS World of China, 2022, 47(4): 23-30 doi: 10.12265/j.gnss.2022051
    [18] 韩喜豪, 郑帅勇, 杨建雷, 等. 卫星导航中电离层误差校正技术现状与发展[J]. 全球定位系统, 2024, 49(2): 111-126 doi: 10.12265/j.gnss.2023105

    HAN Xihao, ZHENG Shuaiyong, YANG Jianlei, et al. Status and development of the ionospheric error correction techniques in satellite navigation[J]. GNSS World of China, 2024, 49(2): 111-126 doi: 10.12265/j.gnss.2023105
    [19] 许龙霞, 李孝辉, 何雷. 北斗三号电离层模型性能分析[J]. 空间科学学报, 2020, 40(3): 341-348 doi: 10.11728/cjss2020.03.341

    XU Longxia, LI Xiaohui, HE Lei. Performance analysis of BDS single frequency ionosphere model[J]. Chinese Journal of Space Science, 2020, 40(3): 341-348 doi: 10.11728/cjss2020.03.341
    [20] 郭睿, 黄张裕, 孙瑞, 等. 北斗三号BDGIM模型的适用性分析[J]. 海洋测绘, 2021, 41(4): 61-64,73 doi: 10.3969/j.issn.1671-3044.2021.04.013

    GUO Rui, HUANG Zhangyu, SUN Rui, et al. Applicability analysis of BDGIM model of BDS-3 system[J]. Hydrographic Surveying And Charting, 2021, 41(4): 61-64,73 doi: 10.3969/j.issn.1671-3044.2021.04.013
    [21] 冯来平, 毛悦, 宋小勇, 等. 低轨卫星与星间链路增强的北斗卫星联合定轨精度分析[J]. 测绘学报, 2016, 45(S2): 109-115 doi: 10.11947/j.AGCS.2016.F032

    FENG Laiping, MAO Yue, SONG Xiaoyong, et al. Analysis of the accuracy of Beidou combined orbit determination enhanced by LEO and ISL[J]. Acta Geodaetica et Cartographica Sinica, 2016, 45(S2): 109-115 doi: 10.11947/j.AGCS.2016.F032
    [22] 毛悦, 宋小勇, 张清华, 等. BDS-3卫星钟在轨性能评估与分析[J]. 测绘学报, 2023, 52(3): 349-356

    MAO Yue, SONG Xiaoyong, ZHANG Qinghua, et al. Performance evaluation and comparison of on-orbit satellite clocks for BDS-3[J]. Acta Geodaetica et Cartographica Sinica, 2023, 52(3): 349-356
    [23] 钱文进, 张琳, 安丽超, 等. 北斗三号广播星历空间信号测距误差分析[J]. 地理信息世界, 2022, 29(3): 86-90 doi: 10.3969/j.issn.1672-1586.2022.03.016

    QIAN Wenjin, ZHANG Lin, AN Lichao, et al. Analysis of signal-in-space range error for BDS-3 broadcast ephemeris[J]. Geomatics World, 2022, 29(3): 86-90 doi: 10.3969/j.issn.1672-1586.2022.03.016
    [24] YANG C, GUO J, GENG T, et al. Assessment and comparison of broadcast ionospheric models: NTCM-BC, BDGIM, and Klobuchar[J]. Remote Sensing, 2020, 12(7): 1215 doi: 10.3390/rs12071215
    [25] 李涌涛, 李建文, 代桃高, 等. 太阳活动对电离层TEC变化影响分析[J]. 空间科学学报, 2018, 38(6): 847-854 doi: 10.11728/cjss2018.06.847

    LI Yongtao, LI Jianwen, DAI Taogao, et al. Influence of solar activity on ionospheric TEC change[J]. Chinese Journal of Space Science, 2018, 38(6): 847-854 doi: 10.11728/cjss2018.06.847
    [26] 丁毅涛, 郭美军, 范顺西, 等. 广播电离层模型精度评估分析[J]. 导航定位学报, 2022, 10(1): 53-63 doi: 10.3969/j.issn.2095-4999.2022.01.008

    DING Yitao, GUO Meijun, FAN Shunxi, et al. Accuracy evaluation of broadcast ionosphere model[J]. Journal of Navigation and Positioning, 2022, 10(1): 53-63 doi: 10.3969/j.issn.2095-4999.2022.01.008
    [27] 朱永兴, 谭述森, 任夏, 等. GNSS全球广播电离层模型精度分析[J]. 武汉大学学报·信息科学版, 2020, 45(5): 768-775 doi: 10.13203/j.whugis20180439

    ZHU Yongxing, TAN Shusen, REN Xia, et al. Accuracy analysis of GNSS global broadcast ionospheric model[J]. Geomatics and Information Science of Wuhan University, 2020, 45(5): 768-775 doi: 10.13203/j.whugis20180439
  • 加载中
图(16) / 表(5)
计量
  • 文章访问数:  886
  • HTML全文浏览量:  377
  • PDF下载量:  63
  • 被引次数: 

    0(来源:Crossref)

    0(来源:其他)

出版历程
  • 收稿日期:  2025-06-27
  • 修回日期:  2025-10-16
  • 网络出版日期:  2025-12-16

目录

    /

    返回文章
    返回