留言板

尊敬的读者、作者、审稿人, 关于本刊的投稿、审稿、编辑和出版的任何问题, 您可以本页添加留言。我们将尽快给您答复。谢谢您的支持!

姓名
邮箱
手机号码
标题
留言内容
验证码

大尺度行进式热层与电离层扰动同步观测的事例对比

潘建宏 蔡红涛 闫旭 胡坤 杨璐冰 青海银 张世炜

潘建宏, 蔡红涛, 闫旭, 胡坤, 杨璐冰, 青海银, 张世炜. 大尺度行进式热层与电离层扰动同步观测的事例对比[J]. 空间科学学报. doi: 10.11728/cjss2026.02.2025-0069
引用本文: 潘建宏, 蔡红涛, 闫旭, 胡坤, 杨璐冰, 青海银, 张世炜. 大尺度行进式热层与电离层扰动同步观测的事例对比[J]. 空间科学学报. doi: 10.11728/cjss2026.02.2025-0069
PAN Jianhong, CAI Hongtao, YAN Xu, HU Kun, YANG Lubing, QIN Haiyin, ZHANG Shiwei. Case Comparative of Simultaneous Observations of Large-scale Traveling Thermospheric and Ionospheric Disturbances (in Chinese). Chinese Journal of Space Science, 2026, 46(2): 1-10 doi: 10.11728/cjss2026.02.2025-0069
Citation: PAN Jianhong, CAI Hongtao, YAN Xu, HU Kun, YANG Lubing, QIN Haiyin, ZHANG Shiwei. Case Comparative of Simultaneous Observations of Large-scale Traveling Thermospheric and Ionospheric Disturbances (in Chinese). Chinese Journal of Space Science, 2026, 46(2): 1-10 doi: 10.11728/cjss2026.02.2025-0069

大尺度行进式热层与电离层扰动同步观测的事例对比

doi: 10.11728/cjss2026.02.2025-0069 cstr: 32142.14.cjss.2025-0069
基金项目: 四川省科技计划项目资助(2025ZNSFSC0315)
详细信息
    作者简介:
    • 潘建宏 男, 1992年4月生, 现为乐山师范学院讲师, 主要从事电离层–热层耦合研究. E-mail: 727837553@qq.com
    通讯作者:
    • 蔡红涛 男, 1976年2月生, 教授, 博士生导师, 主要从事电离层与磁层物理、空间探测与信息处理技术方向的研究.E-mail: htcai@whu.edu.cn
  • 中图分类号: P352

Case Comparative of Simultaneous Observations of Large-scale Traveling Thermospheric and Ionospheric Disturbances

  • 摘要: 为了对比热层–电离层中相伴传播的大尺度行进式大气层扰动与大尺度行进式电离层扰动的传播特征差异, 利用CHAMP卫星可以同时共体跨纬度观测大气质量密度和电子密度的优势, 研究了2002年3月19日一对远距离相伴传播的LSTAD与LSTID事件. 在当日04:00-06:00 UT期间, 伴随着AE指数的突然显著增强, CHAMP卫星随即在北半球观测到了相伴传播的LSTAD与LSTID. 在04:00 UT以后大约6 h内, 这些大气质量密度与电子密度的扰动一直向南传播, 穿过赤道并进入南半球, 最终在南半球耗散消失. 此外, 地面GNSS台链的观测结果也印证了卫星观测到的LSTID的真实存在. 经过对比分析表明, 由于电子运动受到洛伦兹力的高度控制, 而中性粒子不受洛伦兹力约束, 所以由同一源区激发且相伴传播的LSTAD与LSTID沿子午向的水平传播速度表现出明显差异, 导致在同一轨道上同一时刻同一位置二者的相位并不相同甚至差别明显.

     

  • 图  1  2002年3月19日KpDst指数日变化情况

    Figure  1.  Diurnal variations of Kp and Dst index on 19 Mar. 2002

    图  3  2002年3月19日CHAMP卫星观测到的晨侧大气与电子密度扰动 (黑色斜实线表示卫星轨道, 黑色虚线箭头表示LSTAD与LSTID的波峰和波谷沿纬度方向的传播路径)

    Figure  3.  CHAMP satellite observed morning-side perturbations in atmospheric and electron density on 19 March 2002 (The solid black diagonal line represents the satellite orbit, and the dashed black arrows indicate the propagation paths of the wave crests and troughs of LSTAD and LSTID along the latitudinal direction

    图  2  2002年3月19日极光电集流指数日变化

    Figure  2.  Diurnal variations of Auroral Electrojet (AE) index on 19 Mar. 2002

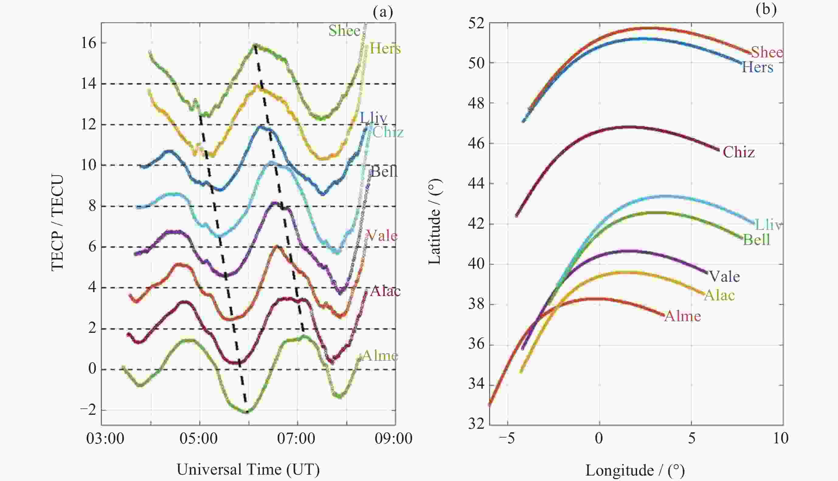
    图  4  2002年3月19日地面GNSS台链与G05卫星间的sTEC扰动 (a) 及相应台站穿刺点的经纬度变化 (b). 为避免重叠各站点sTEC扰动依次偏移了2 TECU. 黑色虚线连接各站点观测到的sTEC扰动的波峰与波谷

    Figure  4.  Slant TEC (sTEC) fluctuations between the ground GNSS network and satellite G05 (a), and latitude and longitude variations of the piercing points of the corresponding stations (b) on 19 March 2002. To avoid overlap, the sTEC perturbations at each station are sequentially offset by 2 TECU. Black dashed lines connect the peaks and valleys of sTEC perturbations observed at each station

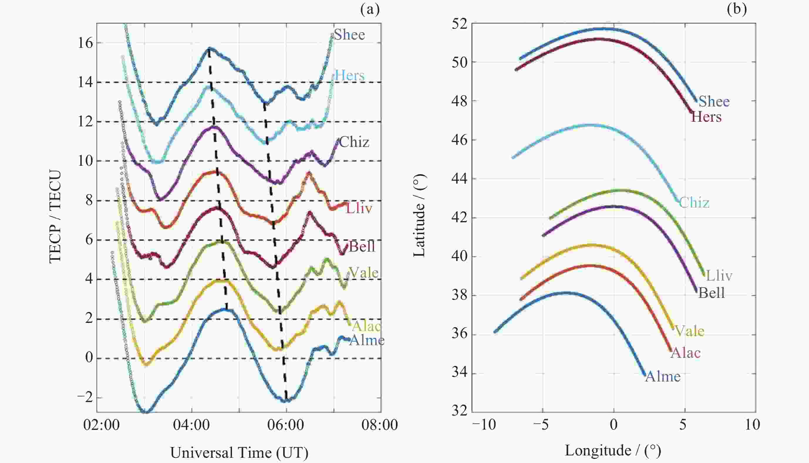
    图  5  2002年3月19日地面GNSS台链与G09卫星间的sTEC扰动 (a) 及相应台站穿刺点的经纬度变化 (b). 为避免重叠各站点sTEC扰动依次偏移了2 TECU. 黑色虚线连接各站点观测到的sTEC扰动的波峰与波谷

    Figure  5.  Slant TEC (sTEC) fluctuations between the ground GNSS network and satellite G09 (a), and latitude and longitude variations of the piercing points of the corresponding stations (b) on 19 March 2002. To avoid overlap, the sTEC perturbations at each station are sequentially offset by 2 TECU. Black dashed lines connect the peaks and valleys of sTEC perturbations observed at each station

    表  1  GNSS地面台站的位置信息

    Table  1.   Locations of ground-based GNSS receivers

    Site code Geographic latitude and longitude
    Shee 51.264°N, 0.44°E
    Hers 50.86°N, 0.33°E
    Chiz 46.13°N, 0.41°W
    Lliv 42.28°N, 1.58°E
    Bell 41.35°N, 1.24°E
    Vale 39.48°N, 0.34°W
    Alac 38.34°N, 0.48°W
    Alme 36.51°N, 2.27°W
    下载: 导出CSV
  • [1] 叶公节, 刘兆汉. 电离层波理论[M]. 北京: 科学出版社, 1983

    Ye G J, Liu Z H. The Theory of Ionospheric Wave[M]. Beijing: Science Press, 1983
    [2] YEH K C, LIU C H. Acoustic-gravity waves in the upper atmosphere[J]. Reviews of Geophysics, 1974, 12(2): 193-216
    [3] Hunsucker R D. Atmospheric gravity waves generated in the high-latitude ionosphere: A review. Rev. Geophys., 1982, 20(2): 293-315
    [4] HOCKE K, SCHLEGEL K. A review of atmospheric gravity waves and travelling ionospheric disturbances: 1982-1995[J]. Annales GeophysicAE, 1996, 14(9): 917-940
    [5] CAI H T, YIN F, MA S Y, et al. Observations of AGW/TID propagation across the polar cap: a case study[J]. Annales GeophysicAE, 2011, 29(8): 1355-1363 doi: 10.5194/angeo-29-1355-2011
    [6] CAI H T, YIN F, MA S Y, et al. Simultaneous observations of large-scale traveling ionospheric disturbances on the nightside and dayside middle latitude[J]. Annales GeophysicAE, 2012, 30(12): 1709-1717 doi: 10.5194/angeo-30-1709-2012
    [7] Saito A, Fukao S, Miyazaki S. 1998. High resolution mapping of TEC perturbations with the GSI GPS network over Japan. Geophys. Res. Lett., 25(16): 3079-3082
    [8] Tsugawa T, Saito A, Otsuka Y. 2004. A statistical study of large-scale traveling ionospheric disturbances using the GPS network in Japan. J. Geophys. Res., 109(S6): A06302, doi: 10.1029/2003JA010302
    [9] 潘建宏, 蔡红涛, 谷骏, 等. 赤道附近局地激发LS-TAD的事例观测[J]. 地球物理学报, 2022, 65(3): 853-861 doi: 10.6038/cjg2022P0181

    Pan J H, Cai H T, Gu J, et al. Case observation of LS-TAD excited locally near the equator[J]. Chinese Journal of Geophysics, 2022, 65(3): 853-861 doi: 10.6038/cjg2022P0181
    [10] HINES C O. Internal atmospheric gravity waves at ionospheric heights[J]. Canadian Journal of Physics, 1960, 38(11): 1441-1481 doi: 10.1139/p60-150
    [11] MUNRO E H. Tables on sunspot-frequency for 1749–1948. Terrestrial Magnetism and Atmospheric Electricity, 1948, 53(3): 241– 246, doi:10.1029/TE053i003p00241
    [12] MUNRO G H. Anomalies on ionosonde records due to traveling ionospheric disturbances. Journal of Geophysical Research, 1957, 62(2): 325–326, doi:10.1029/JZ062i002p00325
    [13] WILLIAMS P J S, CROWLEY G, SCHLEGEL K, et al. The generation and propagation of atmospheric gravity waves observed during the Worldwide Atmospheric Gravity-wave Study (WAGS)[J]. Journal of Atmospheric and Terrestrial Physics, 1988, 50(4/5): 323-338
    [14] WILLIAMS P J S, VIRDI T S, LEWIS R V, et al. Worldwide atmospheric gravity-wave study in the European sector 1985–1990[J]. Journal of Atmospheric and Terrestrial Physics, 1993, 55(4/5): 683-696 doi: 10.1016/0021-9169(93)90014-p
    [15] Martyn D F. Cellular atmospheric waves in the ionosphere and troposphere[J]. Proceedings of the Royal Society of London. Series A, Mathematical and Physical Sciences, 1950, 201(1065): 216-234
    [16] SHIOKAWA K, LU G, OTSUKA Y, et al. Ground observation and AMIE-TIEGCM modeling of a storm-time traveling ionospheric disturbance[J]. Journal of Geophysical Research: Space Physics, 2007, 112(A5): A05308. doi: 10.1029/2006JA011772
    [17] VALLADARES C E, VILLALOBOS J, HEI M A, et al. Simultaneous observation of traveling ionospheric disturbances in the Northern and Southern Hemispheres[J]. Annales Geophysic AE, 2009, 27(4): 1501-1508
    [18] DING F, WAN W, LIU L, et al. A statistical study of large-scale traveling ionospheric disturbances observed by GPS TEC during major magnetic storms over the years 2003-2005[J]. Journal of Geophysical Research: Space Physics, 2008, 113(A3): A00A01. doi: 10.1029/2008JA013037
    [19] ZHOU C, ZHAO Z Y, YANG G B, et al. Evidence of low-latitude daytime large-scale traveling ionospheric disturbances observed by high-frequency multistatic backscatter sounding system during a geomagnetically quiet period[J]. Journal of Geophysical Research: Space Physic, 2012, 117(A6): A06302. doi: 10.1029/2012JA017605
    [20] DING F, WAN W X, LI Q, et al. Comparative climatological study of large-scale traveling ionospheric disturbances over North America and China in 2011–2012[J]. Journal of Geophysical Research: Space Physics, 2014, 119(1): 519-529. doi: 10.1002/2013JA019523
    [21] BOSSERT K, PAXTON L J, MATSUO T, et al. Large-scale traveling atmospheric and ionospheric disturbances observed in GUVI with multi-instrument validations[J]. Geophysical Research Letters, 2022, 49(16): e2022GL099901
    [22] FRISSELL N A, KAEPPLER S R, SANCHEZ D F, et al. First observations of large scale traveling ionospheric disturbances using automated amateur radio receiving networks[J].
    [23] THEMENS D R, WATSON C, ŽAGAR N, et al. Global propagation of ionospheric disturbances associated with the 2022 Tonga volcanic eruption[J]. Geophysical Research Letters, 2022, 49(7): e2022GL098158. doi: 10.1029/2022GL098158
    [24] NISHIMURA Y, ZHANG S R, LYONS L R, et al. Source region and propagation of dayside large-scale traveling ionospheric disturbances[J]. Geophysical Research Letters, 2020, 47(19): e2020GL089451. doi: 10.1029/2020GL089451
    [25] RICHMOND A D. Gravity wave generation, propagation, and dissipation in the thermosphere[J]. Journal of Geophysical Research: Space Physics, 1978, 83(A9): 4131-4145 doi: 10.1029/JA083iA09p04131
    [26] MILLWARD G H, MOFFETT R J, QUEGAN S, et al. Effects of an atmospheric gravity wave on the midlatitude ionospheric F layer[J]. Journal of Geophysical Research: Space Physics, 1993, 98(A11): 19173-19179 doi: 10.1029/93JA02093
    [27] FULLER-ROWELL T J, CODRESCU M V, MOFFETT R J, et al. Response of the thermosphere and ionosphere to geomagnetic storms[J]. Journal of Geophysical Research: Space Physcs, 1994, 99(A3): 3893-3914 doi: 10.1029/93JA02015
    [28] FUJIWARA H, MAEDA S, FUKUNISHI H, et al. Global variations of thermospheric winds and temperatures caused by substorm energy injection[J]. Journal of Geophysical Research: Space Physics, 1996, 101(A1): 225-239 doi: 10.1029/95JA01157
    [29] BALTHAZOR R L, MOFFETT R J. Morphology of large-scale traveling atmospheric disturbances in the polar thermosphere[J]. Journal of Geophysical Research: Space Physics, 1999, 104(A1): 15-24 doi: 10.1029/1998JA900039
    [30] LU G, RICHMOND A D, ROBLE R G, et al. Coexistence of ionospheric positive and negative storm phases under northern winter conditions: a case study[J]. Journal of Geophysical Research: Space Physics, 2001, 106(A11): 24493-24504 doi: 10.1029/2001JA000003
    [31] FUJIWARA H, MIYOSHI Y. Characteristics of the large-scale travelling atmospheric disturbances during geomagnetically quiet and disturbed periods simulated by a whole atmosphere general circulation model. Geophysical Research Letters, 2006, 3: L20108, 10.1029/2006GL027103
    [32] QIAN L Y, BURNS A G, LIU H L, et al. Effect of a solar flare on a traveling atmospheric disturbance[J]. Journal of Geophysical Research: Space Physics, 2012, 117(A10): A10319. doi: 10.1029/2012JA017806
    [33] HERNÁNDEZ-PAJARES M, JUAN J M, SANZ J. High resolution TEC monitoring method using permanent ground GPS receivers[J]. Geophysical Research Letters, 1997, 24(13): 1643-1646 doi: 10.1029/97GL01591
    [34] PICONE J M, HEDIN A E, DROB D P, et al. NRLMSISE‐00 empirical model of the atmosphere: Statistical comparisons and scientific issues. Journal of Geophysical Research, 107( A12), 1468, DOI:10.1029/2002JA009430, 2002
    [35] Bilitza D, Altadill D, Zhang Y, et al. International Reference Ionosphere 2012 – a model of collaboration[J]. Journal of Space Weather and Space Climate, 2014, 2: 1-19
    [36] BRUINSMA S L, FORBES J M. Global observation of traveling atmospheric disturbances (TADs) in the thermosphere[J]. Geophysical Research Letters, 2007, 34(14): L14103. doi: 10.1029/2007GL030243
    [37] BRUINSMA S L, FORBES J M. Large-scale traveling atmospheric disturbances (LSTADs) in the thermosphere inferred from CHAMP, GRACE, and SETA accelerometer data[J]. Journal of Atmospheric and Solar-Terrestrial Physics, 2010, 72(13): 1057-1066 doi: 10.1016/j.jastp.2010.06.010
    [38] Jonah O F, COSTER A, ZHANG S, et al. TID observations and source analysis during the 2017 memorial day weekend geomagnetic storm over North America[J]. Journal of Geophysical Research: Space Physics, 2018, 123(10): 8749-8765 doi: 10.1029/2018JA025367
    [39] EISENBEIS J, OCCHIPINTI G, ASTAFYEVA E, et al. Short-and long-wavelength TIDs generated by the great American eclipse of 21 August 2017[J]. Journal of Geophysical Research: Space Physics, 2019, 124(11): 9486-9493. DOI: 10.1029/2019JA026919 Geophysical Research Letters, 2022, 49(5): e2022GL097879. DOI: 10.1029/2022GL097879
    [40] COSTER A, ZHANG S. TID observations and source analysis during the 2017 memorial day weekend geomagnetic storm over North America[J]. Journal of Geophysical Research: Space Physics, 2018, 123(10): 8749-8765 doi: 10.1029/2018JA025367
  • 加载中
图(5) / 表(1)
计量
  • 文章访问数:  276
  • HTML全文浏览量:  56
  • PDF下载量:  20
  • 被引次数: 

    0(来源:Crossref)

    0(来源:其他)

出版历程
  • 收稿日期:  2025-04-24
  • 修回日期:  2025-08-29
  • 网络出版日期:  2026-03-06

目录

    /

    返回文章
    返回