留言板

尊敬的读者、作者、审稿人, 关于本刊的投稿、审稿、编辑和出版的任何问题, 您可以本页添加留言。我们将尽快给您答复。谢谢您的支持!

姓名
邮箱
手机号码
标题
留言内容
验证码

基于最优估计法的瑞利激光雷达反演大气温度不确定度

张潇剑 张献中 李欣岐 吴同 钟凯 闫召爱 徐德刚 姚建铨

张潇剑, 张献中, 李欣岐, 吴同, 钟凯, 闫召爱, 徐德刚, 姚建铨. 基于最优估计法的瑞利激光雷达反演大气温度不确定度[J]. 空间科学学报, 2025, 45(4): 995-1006. doi: 10.11728/cjss2025.04.2024-0081
引用本文: 张潇剑, 张献中, 李欣岐, 吴同, 钟凯, 闫召爱, 徐德刚, 姚建铨. 基于最优估计法的瑞利激光雷达反演大气温度不确定度[J]. 空间科学学报, 2025, 45(4): 995-1006. doi: 10.11728/cjss2025.04.2024-0081
ZHANG Xiaojian, ZHANG Xianzhong, LI Xinqi, WU Tong, ZHONG Kai, YAN Zhaoai, XU Degang, YAO Jianquan. Uncertainty Evaluation of Atmospheric Temperature Retrieval Using Rayleigh Lidar Based on the Optimal Estimation Method (in Chinese). Chinese Journal of Space Science, 2025, 45(4): 995-1006 doi: 10.11728/cjss2025.04.2024-0081
Citation: ZHANG Xiaojian, ZHANG Xianzhong, LI Xinqi, WU Tong, ZHONG Kai, YAN Zhaoai, XU Degang, YAO Jianquan. Uncertainty Evaluation of Atmospheric Temperature Retrieval Using Rayleigh Lidar Based on the Optimal Estimation Method (in Chinese). Chinese Journal of Space Science, 2025, 45(4): 995-1006 doi: 10.11728/cjss2025.04.2024-0081

基于最优估计法的瑞利激光雷达反演大气温度不确定度

doi: 10.11728/cjss2025.04.2024-0081 cstr: 32142.14.cjss.2024-0081
基金项目: 国家自然科学基金项目资助(62175184)
详细信息
    作者简介:
    • 张潇剑 男, 2000年6月出生于河北省邢台市, 现为天津大学精密仪器与光电子工程学院硕士研究生, 主要研究方向为瑞利激光雷达中层大气探测技术. E-mail: zzzxj@tju.edu.cn
    • 钟凯 男, 1984年10月出生于山东省济南市, 天津大学精密仪器与光电子工程学院教授, 博士生导师, 主要研究方向为全固态激光器、非线性光学频率变换技术、太赫兹目标特性、激光雷达探测感知等. E-mail: zhongkai@tju.edu.cn
    通讯作者:
    • 徐德刚 男, 1974年2月出生于山东省青岛市, 天津大学精密仪器与光电子工程学院教授, 博士生导师, 主要研究方向为激光与太赫兹光子学、激光雷达探测感知、太赫兹光谱成像技术以及海洋光纤传感技术等. E-mail: xudegang@tju.edu.cn
  • 中图分类号: P356

Uncertainty Evaluation of Atmospheric Temperature Retrieval Using Rayleigh Lidar Based on the Optimal Estimation Method

  • 摘要: 最优估计法(OEM)作为一种新型的反演方法, 在激光雷达探测大气环境参数中具有重要应用价值. 为了表征基于OEM方法的瑞利激光雷达反演大气温度结果的可靠性, 本文推导了OEM不确定度公式, 明确了OEM反演结果的不确定度来源, 利用瑞利激光雷达方程模拟回波光子数廓线, 计算了相应的中层大气温度和不确定度, 得到在OEM反演过程中的主要不确定度来源, 即参考压强不确定度和噪声不确定度. 利用蒙特卡罗方法(MCM)建立OEM不确定度验证框架, 对不同不确定度来源产生的不确定度数值进行了验证, 结果表明两种不同方法计算的不确定度数值在海拔85 km以下一致性良好, 证明OEM不确定度计算数值的准确性. 此外, 基于OEM方法对瑞利激光雷达的实测数据进行反演, 并完成了不确定度分析, 为OEM方法在激光雷达大气环境探测领域的推广使用提供了依据.

     

  • 图  1  模拟回波光子数廓线

    Figure  1.  Simulated echo photon number profile

    图  2  回波光子廓线信噪比

    Figure  2.  SNR of simulated echo photon profile

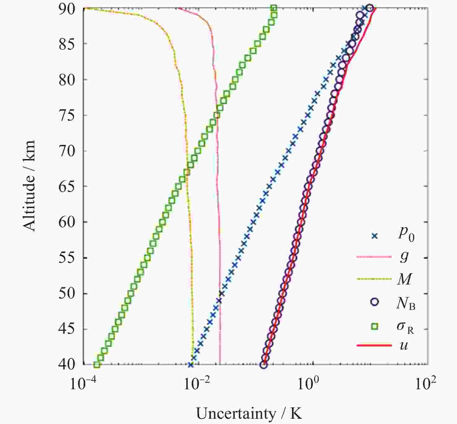
    图  3  不确定度结果汇总

    Figure  3.  Summary of uncertainty results

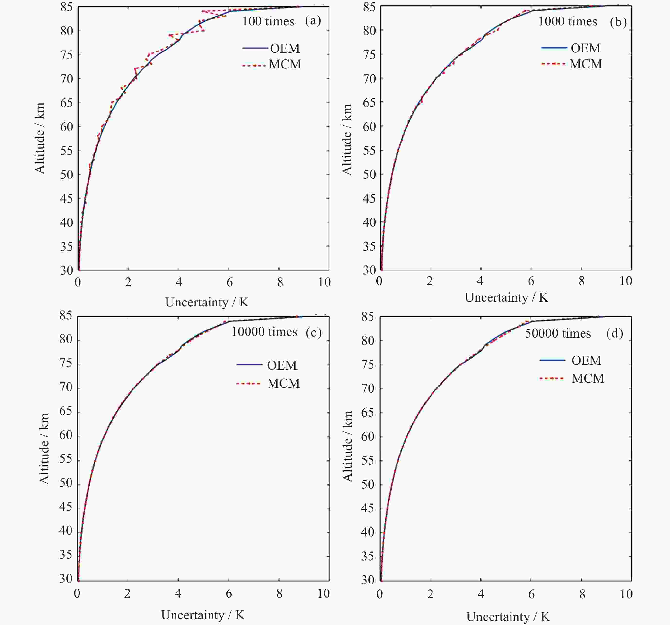
    图  4  不同次数的蒙特卡罗试验计算结果

    Figure  4.  Calculation results of Monte Carlo experiments with different number of trials

    图  5  蒙特卡罗试验验证结果

    Figure  5.  Monte Carlo experimental verification results

    图  6  总不确定度验证结果

    Figure  6.  Verification results of total uncertainty

    图  7  地基瑞利激光雷达实测数据

    Figure  7.  Profiles of the ground-based Rayleigh lidar

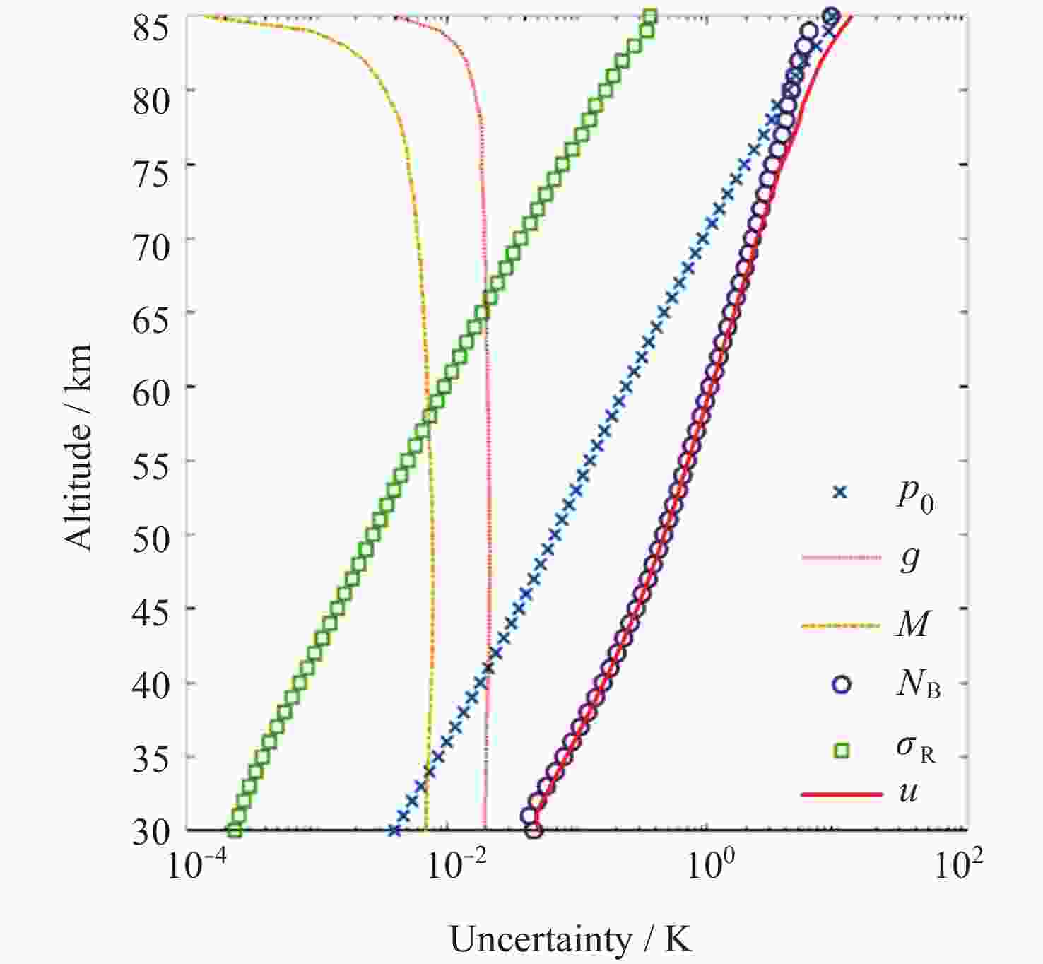
    图  8  实测数据反演结果不确定度

    Figure  8.  Uncertainty of the retrieval results based on measured data

    表  1  模拟激光雷达系统参数

    Table  1.   Simulation parameters of the lidar system

    系统参数 选值
    脉冲能量/mJ 40
    重复频率/Hz 50
    激光波长/nm 532
    望远镜口径/mm 350
    系统效率 0.191
    噪声光子数 10
    下载: 导出CSV

    表  2  不确定度来源汇总

    Table  2.   Summary of uncertainty sources

    系统参数 参数来源 不确定度/(%)
    参考压强 Ref. [16] 5
    重力加速度 Ref. [17] 0.001
    大气分子摩尔质量 Ref. [18] 0.003
    瑞利散射截面 Ref. [19] 0.2
    噪声 服从Possion分布
    下载: 导出CSV

    表  3  相对偏差计算结果汇总表

    Table  3.   Calculation results of the relative deviation

    不确定度来源相对偏差最大值/(%)
    参考压强0.74
    重力加速度4.00
    平均大气分子摩尔质量1.67
    瑞利散射截面0.59
    噪声4.18
    下载: 导出CSV

    表  4  地基瑞利激光雷达系统参数

    Table  4.   System parameters of the ground-based Rayleigh lidar

    系统参数 参数选值
    脉冲能量/mJ 500
    脉冲宽度/ns 8
    重复频率/Hz 30
    激光波长/nm 532
    望远镜口径/mm 1000
    系统效率 0.02
    下载: 导出CSV
  • [1] 董宗戈, 邓凯, 蔡旺. 大气探测激光雷达技术发展综述[J]. 光电技术应用, 2022, 37(6): 53-57 doi: 10.3969/j.issn.1673-1255.2022.06.011

    DONG Zongge, DENG Kai, CAI Wang. Summary of laser radar technology development for atmospheric detection[J]. Electro-Optic Technology Application, 2022, 37(6): 53-57 doi: 10.3969/j.issn.1673-1255.2022.06.011
    [2] 张献中, 钟凯, 吴同, 等. 瑞利激光雷达临近空间环境探测研究进展[J]. 空天技术, 2023(1): 19-42

    ZHANG Xianzhong, ZHONG Kai, WU Tong, et al. Progress of Rayleigh lidar environmental detection in near space[J]. Aerospace Technology, 2023(1): 19-42
    [3] TARANTOLA A. Inverse Problem Theory and Methods for Model Parameter Estimation[M]. Philadelphia: Society for Industrial and Applied Mathematics, 2005
    [4] HAUCHECORNE A, CHANIN M L. Density and temperature profiles obtained by lidar between 35 and 70 km[J]. Geophysical Research Letters, 1980, 7(8): 565-568 doi: 10.1029/GL007i008p00565
    [5] LEBLANC T, SICA R J, VAN GIJSEL J A E, et al. Proposed standardized definitions for vertical resolution and uncertainty in the NDACC lidar ozone and temperature algorithms–Part 3: Temperature uncertainty budget[J]. Atmospheric Measurement Techniques, 2016, 9(8): 4079-4101 doi: 10.5194/amt-9-4079-2016
    [6] LI X Q, ZHONG K, ZHANG X Z, et al. Uncertainty evaluation on temperature detection of middle atmosphere by rayleigh lidar[J]. Remote Sensing, 2023, 15(14): 3688 doi: 10.3390/rs15143688
    [7] RODGERS C D. Inverse Methods for Atmospheric Sounding: Theory and Practice[M]. Singapore: World Scientific Publishing, 2000
    [8] 王煜, 张献中, 吴同, 等. 基于最优估计法的瑞利激光雷达反演大气温度研究[J]. 空间科学学报, 2023, 43(4): 627-639 doi: 10.11728/cjss2023.04.2022-0035

    WANG Yu, ZHANG Xianzhong, WU Tong, et al. Research on atmospheric temperature retrieval based on Rayleigh lidar using optimal estimation method[J]. Chinese Journal of Space Science, 2023, 43(4): 627-639 doi: 10.11728/cjss2023.04.2022-0035
    [9] DEETER M N, EMMONS L K, FRANCIS G L, et al. Operational carbon monoxide retrieval algorithm and selected results for the MOPITT instrument[J]. Journal of Geophysical Research: Atmospheres, 2003, 108(D14): 4399
    [10] GRANT J, GRAINGER R G, LAWRENCE B N, et al. Retrieval of mesospheric electron densities using an optimal estimation inverse method[J]. Journal of Atmospheric and Solar-Terrestrial Physics, 2004, 66(5): 381-392 doi: 10.1016/j.jastp.2003.12.006
    [11] POVEY A. The Application of Optimal Estimation Retrieval to Lidar Observations[D]. Oxford: Oxford University, 2013
    [12] SICA R J, HAEFELE A. Retrieval of water vapor mixing ratio from a multiple channel Raman-scatter lidar using an optimal estimation method[J]. Applied Optics, 2016, 55(4): 763-777 doi: 10.1364/AO.55.000763
    [13] 王煜. 基于最优估计法的瑞利激光雷达大气温度反演研究[D]. 天津: 天津大学, 2022

    WANG Y. Research on Atmospheric Temperature Retrieval of Rayleigh Lidar Based on Optimal Estimation Method[D]. Tianjin: Tianjin University, 2022
    [14] BEDOYA-VELÁSQUEZ A E, CEOLATO R, LEFEBVRE S. Optimal estimation method applied on ceilometer aerosol retrievals[J]. Atmospheric Environment, 2021, 249: 118243 doi: 10.1016/j.atmosenv.2021.118243
    [15] LI S J. Research on Key Technologies of Atmospheric Lidar Dual Channel Detection[D]. Tianjin: Tianjin University, 2022(李世杰. 大气激光雷达双通道探测关键技术研究[D]. 天津: 天津大学, 2023
    [16] JALALI A, SICA R J, HAEFELE A. A middle latitude Rayleigh-scatter lidar temperature climatology determined using an optimal estimation method[J]. Atmospheric Measurement Techniques Discussions, 2018, 11(11): 6043-6058 doi: 10.5194/amt-11-6043-2018
    [17] MULAIRE W. Department of Defense World Geodetic System 1984: Its Definition and Relationship with Local Geodetic Systems[R]. St. Louis: National Imagery and Mapping Agency, 1984
    [18] JONES F E. The air density equation and the transfer of the mass unit[J]. Journal of Research of the National Bureau of Standards, 1978, 83(5): 419-428 doi: 10.6028/jres.083.028
    [19] NICOLET M. On the molecular scattering in the terrestrial atmosphere: an empirical formula for its calculation in the homosphere[J]. Planetary and Space Science, 1984, 32(11): 1467-1468 doi: 10.1016/0032-0633(84)90089-8
  • 加载中
图(8) / 表(4)
计量
  • 文章访问数:  569
  • HTML全文浏览量:  229
  • PDF下载量:  99
  • 被引次数: 

    0(来源:Crossref)

    0(来源:其他)

出版历程
  • 收稿日期:  2024-06-24
  • 修回日期:  2024-10-09
  • 网络出版日期:  2024-10-16

目录

    /

    返回文章
    返回