留言板

尊敬的读者、作者、审稿人, 关于本刊的投稿、审稿、编辑和出版的任何问题, 您可以本页添加留言。我们将尽快给您答复。谢谢您的支持!

姓名
邮箱
手机号码
标题
留言内容
验证码

当期目录

2025年  第45卷  第4期

显示方式:
综述
空间天气探源计划(探冕计划)
田晖, 白先勇, 封莉, 熊明, 陈亚杰, 侯振永, 王亚敏
2025, 45(4): 881-898. doi: 10.11728/cjss2025.04.2025-0060
摘要:
空间天气探源计划(探冕计划)将在同一颗卫星平台上实现对太阳和晚型恒星的同步观测, 以揭示太阳系内外空间天气的源头——日冕和星冕的物理性质及爆发规律. 卫星拟工作在约720 km高度的太阳同步轨道, 同时对日冕和星冕开展长期、连续的观测. 通过搭载日面极紫外光谱仪、极紫外光谱日冕仪、恒星极紫外光谱仪、恒星极紫外测光望远镜等载荷, 该计划将在三个方面取得重要突破: 第一, 通过首次开展全日面视场的日冕光谱观测, 刻画日冕外流和爆发的源区特性, 推动太阳系空间天气的精准预报; 第二, 通过填补当前太阳系外极紫外探测的空白, 探明星冕爆发规律, 从而开拓太阳系外空间天气的新疆域; 第三, 通过对太阳和其他恒星同步开展点源极紫外探测, 并结合模型, 建立空间天气影响行星宜居性的新认知.
空天过渡区大气动力学研究重要进展
盛峥, 虢盛, 冷洪泽, 汪四成, 宋君强
2025, 45(4): 899-912. doi: 10.11728/cjss2025.04.2025-yg01
摘要:
空天过渡区是指传统航空活动和航天活动过渡区域, 通常指距离地表50~150 km的大气圈层. 近年来, 随着空天一体化空间环境应用服务加快布局, 空天过渡区大气环境认知和建模预报研究愈来愈受到多学科广泛重视, 空天过渡区大气扰动微物理过程和机理研究取得了较为显著的进展. 本文梳理了近年空天过渡区大气动力学研究现状, 简述了太阳/太阳风–磁层–空天过渡区的耦合链式过程中, 太阳辐射和极区粒子沉降对空天过渡区大气环境影响的研究进展. 从重力波、行星波、潮汐波和典型低层大气活动四个角度出发, 重点分析和总结地球活动/低层大气扰动对空天过渡区大气环境影响的研究进展, 进而展望空天过渡区未来的发展前景及需要解决的几个关键问题, 为大气科学和空间物理领域的研究提供一定参考.
空间物理
Probing Solar Polar Regions
2025, 45(4): 913-942. doi: 10.11728/cjss2025.04.2025-0054
摘要:
基于声谱图和卷积神经网络的磁暴图像识别
李鸿宇, 孙君嵩, 王丽, 杨杰, 赵雨馨
2025, 45(4): 943-949. doi: 10.11728/cjss2025.04.2024-0066
摘要:
磁暴是一种重要的地磁场扰动类型, 影响着通信、电力和航空航天等领域, 因此对磁暴识别技术进行研究与创新有助于磁暴信息的应用. 基于2010-2023年12个定点地磁观测水平分量分钟值数据, 采用声谱图成像技术, 运用VGG19卷积神经网络模型开展磁暴日和磁静日人工智能图像分类研究. 实验结果显示, 模型的准确率为97.41%, 精确率为98.00%, 召回率为96.80%, 模型的预测能力较好, 这表明声谱图成像技术在图像识别分类问题中具有较高的实用性, 且VGG19卷积神经网络模型用于磁暴日和磁静日地磁分类的可行性较高, 研究结果为磁暴预警与监测提供了新的思路.
FY-3D 电离层光度计IPM对2024年5月11日特大磁暴的响应研究
江芳, 毛田, 付利平, 王劲松, 胡秀清, 张效信, 王云岗, 贾楠, 王天放
2025, 45(4): 950-959. doi: 10.11728/cjss2025.04.2024-0079
摘要:
远紫外气辉探测仪小型电离层光度计IPM随FY-3D卫星于2017年11月15日发射升空, 通过对地测量夜间O+和电子辐射复合产生的135.6 nm辉光辐射、白天光电子碰撞激发产生的OI 135.6 nm 和N2 LBH辉光辐射, 可以反演得到夜间峰值电子密度NmF2、白天大气氧原子与氮气分子的柱密度比O/N2等重要参数. 本文对2024年5月11日特大磁暴事件中IPM的数据响应进行分析, 对白天数据的研究结果表明, 本次磁暴事件过程中, O/N2在各个纬度较磁平静日均是减小的, 可用于解释IGS (International GNESS Service) TEC在各纬度大多呈现的负暴效应. 对夜间数据研究发现,磁暴日夜间135.6 nm辐射强度相对磁平静日呈现各纬度的增大, 增大幅度可达3个数量级, 且从磁暴主相开始一直持续到恢复相, 而对应的TEC数据并没有如此大的增强; 另外, 测量190 nm以上波长辐射贡献的夜间杂散光通道在磁暴日也相应地增强, 而这一波段的辐射机制与电离层并无直接关联.
快速稳健的张衡卫星闪电哨声波散射系数自动提取方法
韩金昇, 袁静, 王桥, 刘芹芹, 银韩柯, 刘海军, 赵庶凡, 申旭辉, 王亚丽
2025, 45(4): 960-974. doi: 10.11728/cjss2025.04.2023-0127
摘要:
张衡卫星日产数据高达20 GByte, 人工方法已经无法满足海量数据提取的需求. 提出了一种快速稳健的闪电哨声波散射系数自动提取方法. 将原始数据转换为时频图和音频文件; 针对时频图, 创建YOLOV5神经网络自动定位闪电哨声波, 输出其时频位置信息; 根据其时频位置信息截取对应音频文件得到含有闪电哨声波的音频数据, 并用零将其填充为0.8 s的音频片段; 提取音频片段的梅尔频率倒谱系数, 将其输入多头注意力机制改进的门控循环网络, 自动提取闪电哨声波散射系数. 将该方法应用于2020年2月的数据集, 得到如下结果: 其平均绝对误差和平均绝对百分比误差为0.453和0.176, 相比文献[1]方法降低了70%和 46%. 每段数据平均处理时间为0.074 s, 相比文献[1]方法降低了92%. 本文提出的自动音频分析方法, 可较为准确和快速地提取闪电哨声波的散射系数.
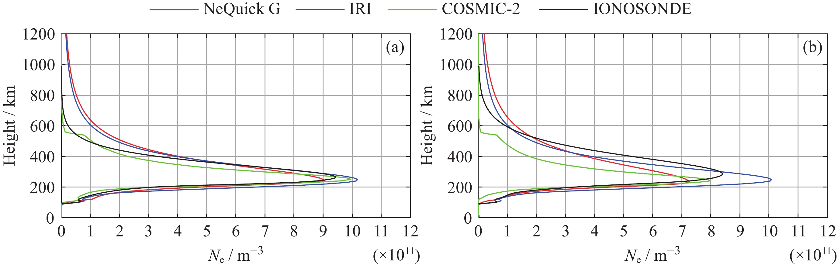
NeQuick G模型与COSMIC-2掩星数据在电离层层析算法中的使用
尹萍, 张姗姗, 徐硕, 侯秀泽
2025, 45(4): 975-986. doi: 10.11728/cjss2025.04.2024-0077
摘要:
作为电离层监测的有效手段, 全球导航卫星系统气象、电离层和气候的星座观测系统2 (COSMIC-2)掩星提供了实测的电离层剖面资料, 而NeQuick G模型则能提供电离层在任意时空的电子密度和总电子含量模型数据. 电离层层析算法虽然能重构任意时间, 特别是电离层扰动下大尺度的电子密度时空分布, 但其算法也受到数据覆盖不均匀、垂向反演精度较低的局限. 本文通过对电离层层析算法的改进, 不仅融合NeQuick G模型和COSMIC-2的剖面观测资料, 还使用COSMIC-2数据作为层析算法的输入之一, 重构了武汉WU430站和韩国JJ433站等站上空2021年11月3日和4日电离层扰动阶段的电子密度分布. 同时, 利用测高仪数据对层析反演出的F2层峰值密度(NmF2)和峰值高度(hmF2)进行了评估.
西北走廊地区电离层吸收特性研究
辛浩, 赵海生, 王俊江, 葛淑灿
2025, 45(4): 987-994. doi: 10.11728/cjss2025.04.2024-0075
摘要:
电离层fmin是频高图上观测到的回波最低频率, 是电离层垂直探测仪性能的一个重要指标, 也是电离层D区吸收效应研究的重要指标. 本文利用中国电离层垂测站网位于西北走廊地区的西安、乌鲁木齐、兰州三个台站电离层fmin数据, 研究了西北走廊地区电离层吸收的强度特性、空间分布特性、日变化、季节变化及长期变化特性. 开展电离层吸收变化特性研究, 对研究短波通信最低频率选择、天波超视距雷达探测性能评估、甚低频(VLF)远程通信效能预测具有重要应用价值. 同时电离层吸收与D层电子密度关系紧密, 是D层电子密度强弱的重要指标, 开展电离层吸收特性研究, 对于研究D区电离层变化特性, 建立D区电子密度分布模型具有重要科学意义.
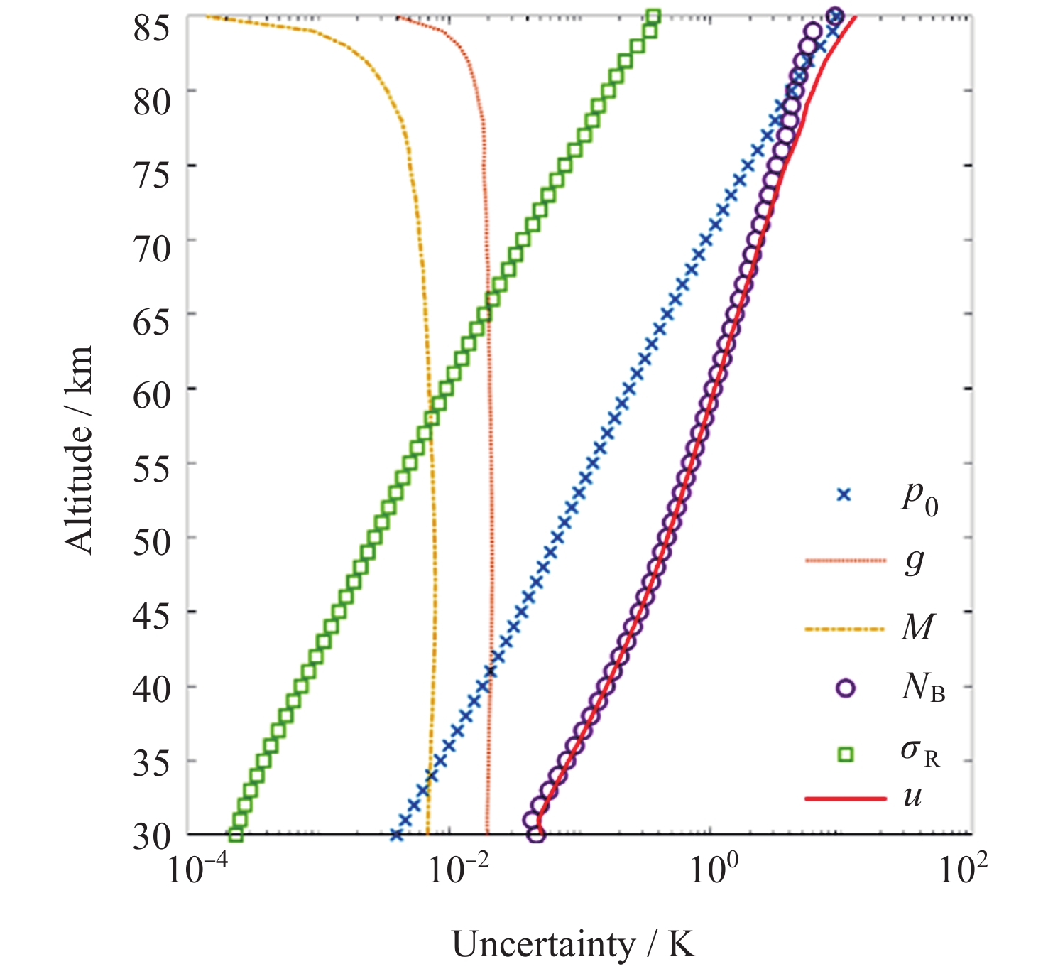
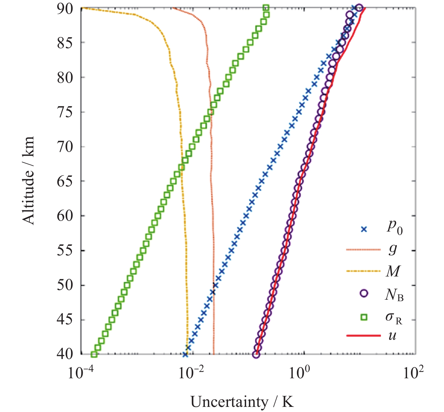
基于最优估计法的瑞利激光雷达反演大气温度不确定度
张潇剑, 张献中, 李欣岐, 吴同, 钟凯, 闫召爱, 徐德刚, 姚建铨
2025, 45(4): 995-1006. doi: 10.11728/cjss2025.04.2024-0081
摘要:
最优估计法(OEM)作为一种新型的反演方法, 在激光雷达探测大气环境参数中具有重要应用价值. 为了表征基于OEM方法的瑞利激光雷达反演大气温度结果的可靠性, 本文推导了OEM不确定度公式, 明确了OEM反演结果的不确定度来源, 利用瑞利激光雷达方程模拟回波光子数廓线, 计算了相应的中层大气温度和不确定度, 得到在OEM反演过程中的主要不确定度来源, 即参考压强不确定度和噪声不确定度. 利用蒙特卡罗方法(MCM)建立OEM不确定度验证框架, 对不同不确定度来源产生的不确定度数值进行了验证, 结果表明两种不同方法计算的不确定度数值在海拔85 km以下一致性良好, 证明OEM不确定度计算数值的准确性. 此外, 基于OEM方法对瑞利激光雷达的实测数据进行反演, 并完成了不确定度分析, 为OEM方法在激光雷达大气环境探测领域的推广使用提供了依据.
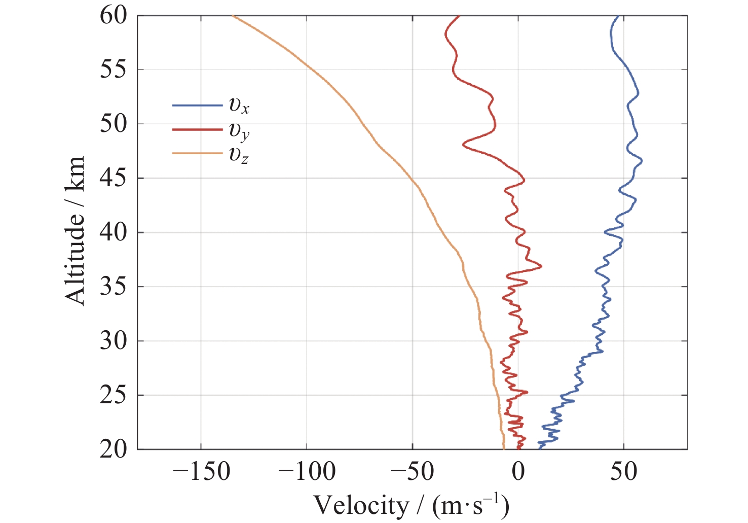
2023年西北地区临近空间火箭探测数据分析评估
何阳, 陈泰龙, 黄江平
2025, 45(4): 1007-1015. doi: 10.11728/cjss2025.04.2024-0074
摘要:
气象火箭是一种获取临近空间大气环境垂直分布精细结构的重要原位探测手段, 其探测结果具有比地基和天基遥感探测更高的精度, 客观评估其数据质量是各部门有效使用该探测数据的重要前提. 利用2023年冬季在西北地区进行的一次气象火箭探测, 获取了20~60 km高度区间内的气温、风场、密度和气压数据, 对热敏电阻测得的温度进行了偏差修正, 并将探测结果与遥感探测、经验预报模式以及再分析资料等数据进行了比对评估. 结果表明: 火箭探测风场结果与再分析数据吻合得较好, 并且能够更加准确地描述对应区域的精细大气环境; 火箭实测气温偏差在40 km以上逐渐凸显, 主要偏差项为电流加热项、温度滞后项以及气动加热项, 修正后的气温与参考数据吻合性较好, 不同来源的气温数据主要差异是平流层顶气温拐点出现的高度不同; 气压和密度结果的偏差随着高度的上升而增加. 分析认为, 本次火箭的探测数据质量较好, 精度较高, 通过对数据的分析评估验证了大气要素反演数学模型有效可靠.
空间探测技术
临近空间天文台亚角秒级指向系统WASP
崔钰琅, 李一健, 周江华
2025, 45(4): 1016-1037. doi: 10.11728/cjss2025.04.2024-0094
摘要:
WASP (Wallops Arc Second Pointer)是由美国国家航空航天局(NASA)开发的一种临近空间天文台亚角秒级指向系统, 旨在构建可适配多类科学载荷的临近空间天文观测平台. WASP系统由指向控制系统(PCS)和星跟踪器子系统(CARDS)组成, 该系统结合精密机械和电子组件, 辅以超压气球技术, 能在临近空间执行长时飞行任务, 同时保持亚角秒级的指向精度. WASP系统的灵活性和标准化设计使其能够适配多种科学载荷, 满足不同的任务需求. 在空间科学领域, WASP系统的应用不仅拓宽了高空科学气球的研究范围, 也为临近空间天文台的建设提供了创新方案, 推动了对临近空间的探索. WASP系统的成功试飞和应用, 为其在行星科学、天体物理学和地球观测等领域的应用奠定了基础, 也为中国临近空间科学的发展提供了可靠的参考.
COSMOS 1408解体碎片云演化分析
莫星健, 梁伟, 赵相雷, 雷祥旭, 赵有
2025, 45(4): 1038-1046. doi: 10.11728/cjss2025.04.2024-0089
摘要:
地球轨道的航天器越来越多, 近地空间密度不断增大. 据统计, 现有空间碎片主要来源于约640次的解体事件. 研究卫星解体事件对维持空间环境安全具有重要意义. 2021年11月15日, 俄罗斯进行了一次反卫星试验, 摧毁了一颗报废卫星——COSMOS 1408卫星. 事件产生了一片由约1800个可跟踪碎片组成的碎片云, 碎片云分布于200~1400 km高度区间, 随时间扩散演化, 对低地球轨道(Low Earth Orbit, LEO)卫星运行构成威胁. 本文基于美国空间监视网(Space Surveillance Network, SSN)发布的关于COSMOS 1408解体事件碎片的两行轨道根数(Two Line Element, TLE), 利用简化广义摄动模型第四版(Simplified General Perturbations 4, SGP4)模型对该碎片云进行演化分析, 主要包括碎片云的编目数量和时空变化、主要轨道参数变化、解体碎片对空间环境的影响, 并以事件碎片导致的国际空间站(International Space Station, ISS)四次机动规避碎片事件为例, 探究其演化规律以及带来的影响, 初步还原了COSMOS 1408反卫星事件碎片云的演化过程以及造成的影响.
太极二号干涉仪系统噪声与指标分解
刘河山, 王娟, 高瑞弘, 齐克奇, 王少鑫, 李磐, 高雪荣, 罗子人
2025, 45(4): 1047-1057. doi: 10.11728/cjss2025.04.2025-yg02
摘要:
空间引力波探测太极计划是中国科学院发起的mHz频段引力波探测任务, 由围绕太阳旋转的三颗卫星组成等边三角形, 星间距3×106 km, 通过激光差分干涉方法实现卫星间pm级位移波动测量. 作为太极计划“三步走”战略的承上启下的关键环节, 太极二号将全面验证太极计划的各项关键技术. 太极二号卫星构型与太极三号相同, 激光干涉系统作为核心测量手段, 需达到30 pm·Hz–1/2的噪声水平. 本文从顶层指标出发, 逐步分解各子系统噪声指标及关键参数, 包括激光器、干涉仪光学平台、相位计、望远镜、呼吸角补偿机构等. 研究结果可为太极二号后续工程任务的指标划分奠定理论基础.
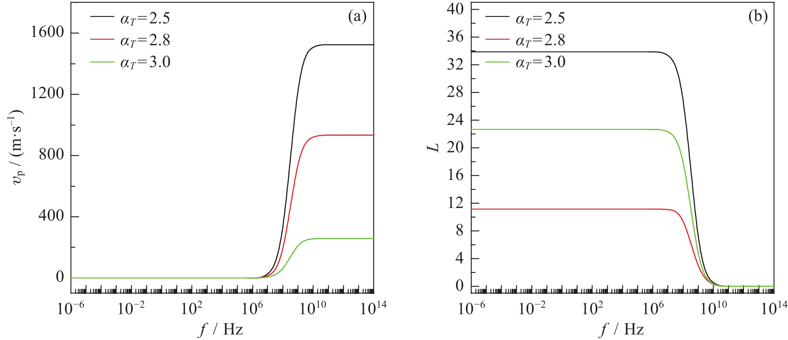
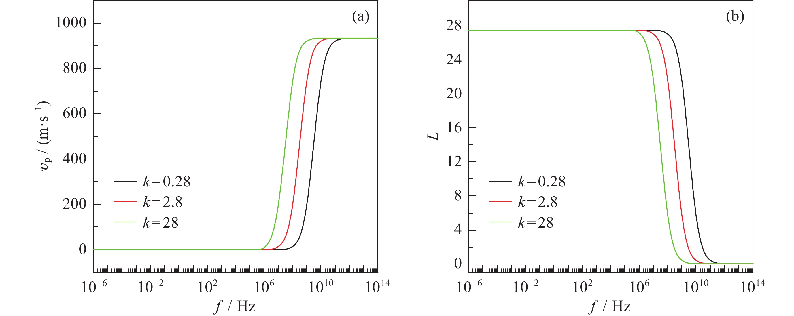
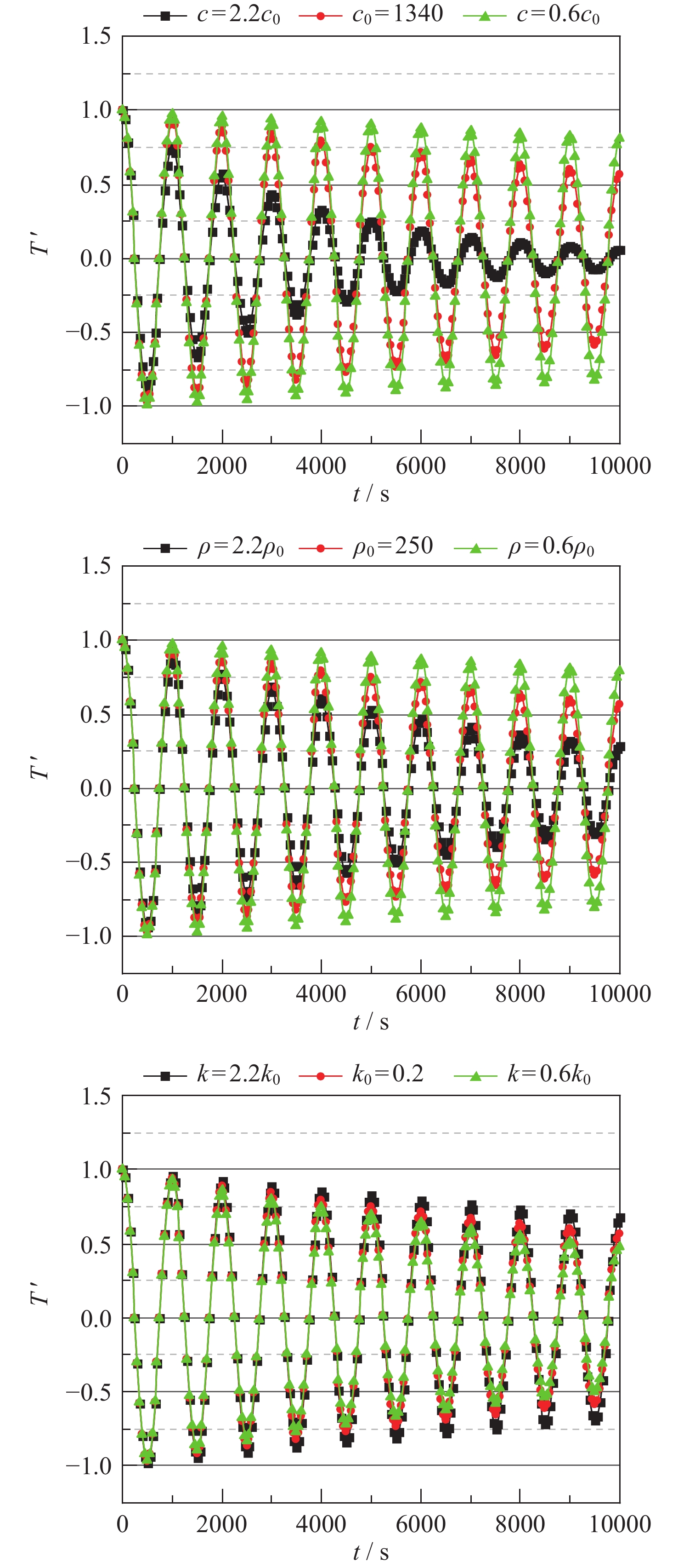
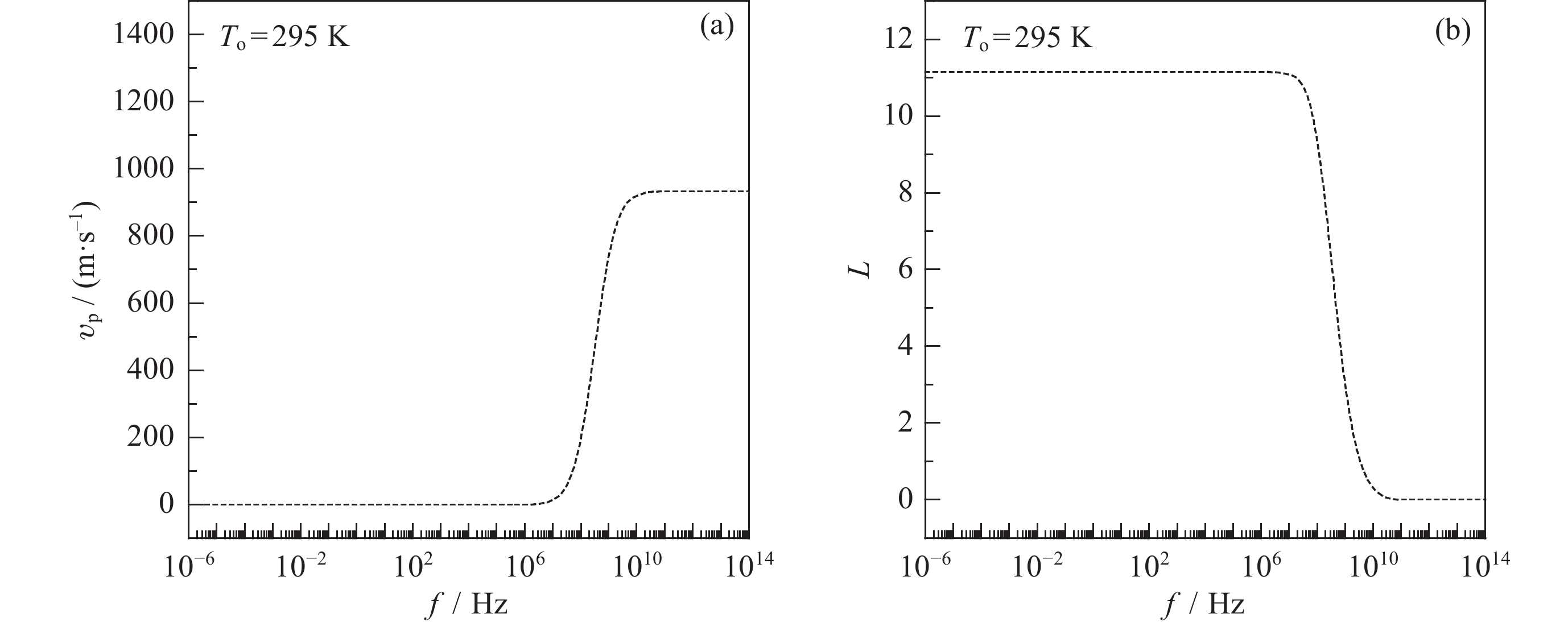
热波在超低热导率材料中的传递特性
洪思慧, 周宇鹏, 赵欣
2025, 45(4): 1058-1066. doi: 10.11728/cjss2025.04.2024-0101
摘要:
考虑具有时频变化的空间外热流和具有单一超低热导率隔热材料, 采用广义热弹性理论和一维热波理论对外热流噪声在单级隔热材料中的传递过程建立数理模型. 结合一维热波理论的CV模型构建了温度的阻尼振荡模型, 对外热流在单层材料中的准稳态传递过程进行数理建模, 构建温度噪声对外热流噪声响应的函数关系, 获得热流传递路径上材料各处的温度响应特性; 通过敏感度分析, 确定影响温度噪声衰减的关键参数及其影响规律.
基于MSSA算法的西北地区GNSS坐标时间序列共模误差分析
梁斌, 于明雪
2025, 45(4): 1067-1078. doi: 10.11728/cjss2025.04.2024-0072
摘要:
针对西北地区新疆、甘肃、青海全球导航卫星系统(GNSS)垂向坐标时间序列的共模误差分析研究不够全面、深入这一问题, 以MSSA算法为理论基础, 对新疆、甘肃、青海61个站点进行数据预处理以提高数据的精度与完整性, 在此基础上提取分析该区域GNSS坐标时间序列中的共模误差, 并进行周期性探测分析, 将提取的共模误差(CME)与水文荷载(NTOL)、非潮汐大气荷载(NTAL)以及非潮汐海洋荷载(HYDL)引起的位移时间序列进行相关性分析以探究共模误差的特征性来源. 对比站点共模误差剔除前后序列, 结果表明残差标准差平均精度提高27.5%, 测站减少幅度最大达到66.7%, 精度提高效果显著; 分析结果得到该区域共模误差受到三种地表质量荷载影响显著程度从高到低分别为水文荷载、非潮汐大气荷载、非潮汐海洋荷载. 通过对共模误差的提取分析以及误差特征来源研究可以进一步提高西北地区GNSS坐标时间序列精度, 以更好地为地震位移、地壳形变研究提供更高精度数据支持.
阿尔及利亚星基增强系统单频SBAS服务性能研究
潘丽静, 王玲, 金彪, 王雷雷, 刘宁宁, 赵立谦, 王绍贤, 荆慧
2025, 45(4): 1079-1086. doi: 10.11728/cjss2025.04.2024-0078
摘要:
阿尔及利亚星基增强系统(ALG-SBAS)是基于阿尔及利亚通信卫星一号(Alcomsat-1)建设的面向阿尔及利亚地区的星基增强系统(SBAS), 已处于正式运行阶段. 为进一步了解掌握该系统的服务性能, 对该系统进行分析, 进而对该系统地球静止轨道(GEO)卫星播发电文稳定性、电离层延迟改正精度、定位精度及完好性进行评估. 结果表明ALG-SBAS GEO 卫星具有较强稳定性, 电离层延迟改正百分比优于87%, ALG-SBAS定位精度比GPS定位有明显提升, 平均提升达到39%以上, SBAS PPP各站3D定位精度平均值优于0.45 m. 定位精度对标EGONS, 结果显示ALG-SBAS略差于EGONS. 同时对测站定位结果的完好性进行了分析, 在评估时段内ALG-SBAS未发生完好性风险事件, ALG-SBAS在I类垂直引导进近(APV-I)阶段的所有测站平均可用性为99.9%. 该星基增强系统服务性能满足单频服务指标, 可提供单频SBAS服务.
基于时序插补生成式对抗网络的卫星遥测参数异常检测方法
杜晓龙, 白萌
2025, 45(4): 1087-1097. doi: 10.11728/cjss2025.04.2024-0099
摘要:
为确保卫星的安全稳定运行, 及时进行遥测参数的数据挖掘、态势分析及异常响应至关重要. 鉴于现有方法在处理卫星遥测参数异常时存在的局限性, 提出一种基于时序插补和生成式对抗网络的异常检测方法. 该方法通过一维卷积神经网络提取时序特征, 并利用生成式对抗网络对遥测参数的分布进行建模, 创新性地采用基于插补的检测方式, 有效提高了异常检测的准确性和对复杂异常情况的适应能力. 基于真实卫星数据和公开数据集的测试结果表明, 与多种已有方法相比, 本文方法在多数数据集上获得了最高的F1分数, 并在不同的异常浓度下显示出良好的稳定性. 这一研究成果为卫星任务的地面运控进行卫星态势分析和异常处置提供了有力的决策支持.
EP卫星数据预处理与分发服务平台设计与实现
马福利, 纪珍, 杨晓艳, 于勤思, 李冰, 罗文甜, 佟继周
2025, 45(4): 1098-1113. doi: 10.11728/cjss2025.04.2024-0092
摘要:
随着空间探测技术发展和星地通信手段的增加, 为了能够第一时间对重要天文事件进行分析, 空间天文卫星对下行探测数据的实时性和处理效率的要求日益严格. 本文针对爱因斯坦探针(EP)卫星的数传X-band、遥测S-band、甚高频(VHF)数据和北斗短报文多种类型数据高时效性处理与分发需求, 开展了EP卫星数据预处理与分析平台关键技术研究, 设计了载荷0级数据处理、1级数据处理以及基于观测组织的数据完整性判读等关键算法; 针对VHF数据和北斗短报文中天文警报信息的高时效性发布需求, 设计了不同优先级的数据预处理和分发流程, 最终采用分层架构设计的方法研制了EP卫星数据预处理与分发服务平台, 具备对EP卫星下行的各类数据进行自动、高效和准确预处理、管理以及分发的能力. 系统运行验证结果表明, 该平台处理的各级各类科学数据具有较高的准确性, 能够满足EP卫星数据预处理的时效性要求, 且具有良好的可扩展性.
基于多通道、高速率拼帧处理的卫星状态量处理监视系统设计与实现
蔡济济, 虞业泺, 羊书杰, 李伟, 陈玉君, 周达
2025, 45(4): 1114-1122. doi: 10.11728/cjss2025.04.2024-0056
摘要:
星地稳定的信道建立使得地面控制中心能够接收来自卫星的遥测数据、跟踪和控制信号, 以及科学和观测数据. 传统在轨卫星下行数据通道包括卫星遥测信道数据以及数传信道数据, 其中遥测信道数据指的是S波段遥测信道下行数据, 而数传信道数据则指的是数传数据工程参数. 基于数传信道数据的高速率、双通道以及多应用模式等特点, 设计了一种卫星状态量处理监视系统. 该系统不仅能够处理多通道数据, 还具备对高速率数传数据工程参数进行拼帧处理、解析、显示、查询、存储以及异常报警等功能. 该软件已成功应用于在轨卫星的任务运控系统, 满足对卫星型号平台和载荷的实时监视需求.
基于宇航级NPU的轻量化Yolov5算法的目标检测系统
刘冰, 周海, 卞春江, 成晓蕾, 王鹏飞, 张彪
2025, 45(4): 1123-1133. doi: 10.11728/cjss2025.04.2024-0103
摘要:
由于空间探测任务中需处理的遥感图像数量增多, 对目标检测系统的鲁棒性和时效性要求越来越高, 将大量遥感数据传输给地面再进行处理已经无法满足空间探测任务的需求. 针对此问题, 本文开展了基于宇航级NPU的遥感图像在轨目标检测系统研究, 以Yolov5s网络为基础, 替换与NPU适配度低的部分并引入注意力机制提升精度, 解决深度学习算法模型复杂和计算量大导致其在星上难以部署的问题. 优化后的网络迭代训练后部署在开发板上, 经CPU - NPU并行协同处理, 并行执行图像处理三部分, 充分利用Yulong810A平台资源. 实验显示, 优化后的网络部署到星上平台后参数量减少75%, mAP 值达71.25%, 检测速度为47.67 frame·s–1, 均超过原版Yolov5s网络, 成功构建了一个更轻量快速的目标检测系统.
面向小规模面元天体数据集的二阶段边缘检测方法
郑洋, 李丹, 梁祖仲, 程永, 郑中杰
2025, 45(4): 1134-1148. doi: 10.11728/cjss2025.04.2024-0086
摘要:
提出了一种面向小规模面元天体数据集的二阶段边缘检测方法. 第一阶段采用基于数字图像处理技术的窗口–边缘检测法进行初步边缘提取. 第二阶段则引入基于ResNet调整后的LPC-ResNet分类器, 用于补充第一阶段中可能遗漏的边缘点. 对新视野号远程勘测成像仪图像中的冥王星和冥卫一的边缘检测实验结果表明, 窗口–边缘检测法在精确率方面表现最佳, 即其去除非边缘点的能力最强, 但召回率较低. 通过引入LPC-ResNet, 召回率与F1分数均有提升, 从而增强了对边缘点的保留能力, 使提取的边缘更完整. 此外, 基于提取的边缘对冥王星和冥卫一进行的中心测量应用实验显示, 二阶段方法相较于单一的窗口–边缘检测法具有更高的检测精度, 证实了LPC-ResNet可有效改善窗口–边缘检测法的边缘提取结果.