留言板

尊敬的读者、作者、审稿人, 关于本刊的投稿、审稿、编辑和出版的任何问题, 您可以本页添加留言。我们将尽快给您答复。谢谢您的支持!

姓名
邮箱
手机号码
标题
留言内容
验证码

太阳高能粒子在行星际背景太阳风大尺度结构中的传播模拟进展

沈芳 连婉怡 陶新祎

沈芳, 连婉怡, 陶新祎. 太阳高能粒子在行星际背景太阳风大尺度结构中的传播模拟进展[J]. 空间科学学报, 2025, 45(5): 1163-1187. doi: 10.11728/cjss2025.05.2025-yg05
引用本文: 沈芳, 连婉怡, 陶新祎. 太阳高能粒子在行星际背景太阳风大尺度结构中的传播模拟进展[J]. 空间科学学报, 2025, 45(5): 1163-1187. doi: 10.11728/cjss2025.05.2025-yg05
SHEN Fang, LIAN Wanyi, TAO Xinyi. Progress in Simulations of Solar Energetic Particles Propagation in Large-scale Structures of Interplanetary Background Solar Wind (in Chinese). Chinese Journal of Space Science, 2025, 45(5): 1163-1187 doi: 10.11728/cjss2025.05.2025-yg05
Citation: SHEN Fang, LIAN Wanyi, TAO Xinyi. Progress in Simulations of Solar Energetic Particles Propagation in Large-scale Structures of Interplanetary Background Solar Wind (in Chinese). Chinese Journal of Space Science, 2025, 45(5): 1163-1187 doi: 10.11728/cjss2025.05.2025-yg05

太阳高能粒子在行星际背景太阳风大尺度结构中的传播模拟进展

doi: 10.11728/cjss2025.05.2025-yg05 cstr: 32142.14.cjss.2025-yg05
基金项目: 国家重点研发计划项目(2022YFF0503800, 2021YFA0718600), 国家自然科学基金项目(42330210)和中国科学院国家空间科学中心“攀登计划”项目共同资助
详细信息
    作者简介:
    • 沈芳 女, 1977年12月出生于河北省怀来县, 现为中国科学院国家空间科学中心研究员, 博士生导师, 主要研究方向为灾害性空间天气事件, 包括日冕物质抛射(CME)、太阳高能粒子(SEP)传播过程数值建模等. E-mail: fshen@spaceweather.ac.cn
  • 中图分类号: P353

Progress in Simulations of Solar Energetic Particles Propagation in Large-scale Structures of Interplanetary Background Solar Wind

  • 摘要: 太阳高能粒子事件(SEP)由太阳耀斑或日冕物质抛射(CME)驱动, 能够短时间内产生几 keV 至几 GeV 能量的粒子, 其传播特性受太阳风大尺度结构显著影响, 威胁航天活动, 是空间天气预报的重点. 本文分析采用多种背景太阳风模型结合聚焦传输方程对太阳高能粒子事件的模拟, 进行细致的参数化研究, 并结合观测数据模拟多个流相互作用区(SIR)相关的SEP事件. 研究发现, 磁聚焦效应是粒子通量增强的主要原因, 快太阳风下绝热冷却效应主导通量衰减阶段演化. 太阳风参数影响共转相互作用区 (CIR) 的宽度, 导致粒子传播时空分布差异, 引入垂直扩散可解释多卫星观测的通量剖面差异. 研究构建了大尺度太阳风调制SEP传播的理论框架, 未来需融合观测数据强化CME驱动激波模拟, 以提升粒子传输预测精度.

     

  • 图  1  2016年7月31日至8月26日STA探测器在1 AU处观测的太阳风多参数与背景模型对比时序.蓝色阴影区表示研究所关注的共转相互作用区(CIR)结构[12]

    Figure  1.  Time-series plot comparing multiple solar wind parameters observed by the STA probe at 1 AU from July 31 to August 26, 2016, with background models. The blue shaded regions indicate the Co-rotating Interaction Region (CIR) structures of interest in this study[12]

    图  2  构造的CIR背景场结构[22]

    Figure  2.  Schematic diagram of the constructed background field structure of the CIR[22]

    图  3  四组CIR中各案例内边界的太阳风速度 [22]

    Figure  3.  Solar wind velocities at the inner boundaries of cases within four groups of CIRs[22]

    图  4  不同背景下的CIR的宽度. (a)~(d)分别表示组A、组B、组C 和组D中不同案例的情况[22]

    Figure  4.  Widths of CIRs under different background conditions. (a)~(d) show the different cases in Group A, Group B, Group C and Group D, respectively[22]

    图  5  5 MeV的质子传播磁聚焦和投掷角扩散对通量增强的影响. (a) 通过改变由 $ {L}_{B}^{-1} $变化描述的磁聚焦效应强度得到的结果. (b) 通过设置不同的λ0值得到的投掷角扩散的影响. (c)~(f) $ \mathrm{l}\mathrm{g}\left[{G}\right({{p}}_{\mathrm{e}}\left)\right] $和 $ \mathrm{l}\mathrm{g}\left[{G}\right({p}_{\mathrm{e}}\left)\right]{f}_{\mathrm{b}}/f $作为源粒子动量$ {p}_{\mathrm{e}}/p $和观测时间函数的等高线[12]

    Figure  5.  Effects of magnetic focusing and pitch-angle scattering on the flux enhancement of 5 MeV proton propagation. (a) Results obtained by altering the strength of the magnetic focusing effect described by the variation of $ {L}_{B}^{-1} $. (b) Effect of pitch - angle diffusion by setting different values of λ0. (c)~(f) Contour plots of $ \mathrm{l}\mathrm{g}\left[{G}\right({{p}}_{\mathrm{e}}\left)\right] $ and $ \mathrm{l}\mathrm{g}\left[{G}\right({p}_{\mathrm{e}}\left)\right]{f}_{\mathrm{b}}/f $ as functions of source particle momentum $ {p}_{\mathrm{e}}/p $ and observation time[12]

    图  6  在547 h和560 h时与观测者磁连接的磁力线的磁聚焦长度倒数的径向变化[12]

    Figure  6.  Radial variations in the reciprocal of the magnetic focusing length of magnetic field lines magnetically connected to the observer at 547 h and 560 h[12]

    图  7  观测数据(虚线)与模拟结果(实线)对比[12](红色垂直线表示SI的通过, 紫红色垂直线表示测量的通量峰值)

    Figure  7.  Comparison between observational data (dashed lines) and simulation results (solid lines)[12](Red vertical line indicates passage of SI, purple vertical line indicates measured flux peak)

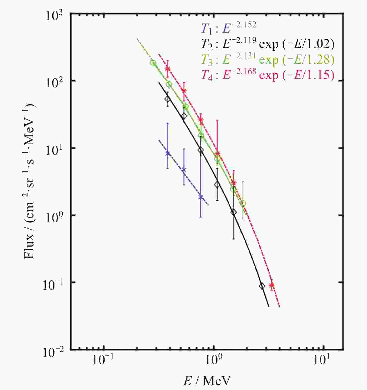
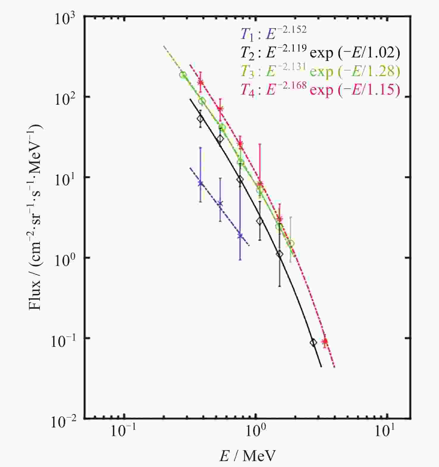
    图  8  基于测量数据的四个周期的能谱[13]

    Figure  8.  Energy spectra for four cycles based on measured data[13]

    图  9  源粒子径向分布与平均积分强度的时变演化[13] (P1, P2, P3虚线分别依次对应高能粒子事件的上升、峰值和下降阶段)

    Figure  9.  Temporal evolution of the radial distribution and average integrated intensity of source particles[13] (The dashed lines P1, P2, and P3 correspond sequentially to the rise, peak, and decline phases of the high-energy particle event)

    图  10  STB, WIND与STA观测下SIR后缘粒子输运特征对比 (强度演变与径向距离分析)[13]

    Figure  10.  Comparison of the characteristics of particle transport at the trailing edge of SIRs observed by STB, WIND, and STA (Intensity evolution and radial distance analysis)[13]

    图  11  不同太阳风参数对粒子通量的影响. (a)在未压缩太阳风条件下具有两个不同背景场和太阳风参数的全向通量, (b)在压缩区域具有两个不同背景场和太阳风参数的全方位通量[16]

    Figure  11.  Impact of different solar wind parameters on particle omnidirectional fluxes. (a) Omnidirectional flux with two different background field and solar wind parameters under uncompressed solar wind conditions. (b) Omnidirectional flux with two different background field and solar wind parameters in the compression region[16]

    图  12  CR2145时段不同日心距下N与$ {L}_{B}^{-1} $变化 (灰色区域为黑色磁力线之间的区域)[16]

    Figure  12.  Variations of N and $ {L}_{B}^{-1} $ at different heliocentric distances during CR2145 (The gray area is the region between the black magnetic field lines)[16]

    图  13  2011年3月21日STA卫星的观测结果和模拟结果[32]

    Figure  13.  Observational and simulation results from the STA satellite on 21 March 2011[32]

    图  14  1~10 MeV质子的峰值强度在1 AU处随经度变化[20]

    Figure  14.  Variation of peak intensity of 1~10 MeV protons with longitude at 1 AU[20]

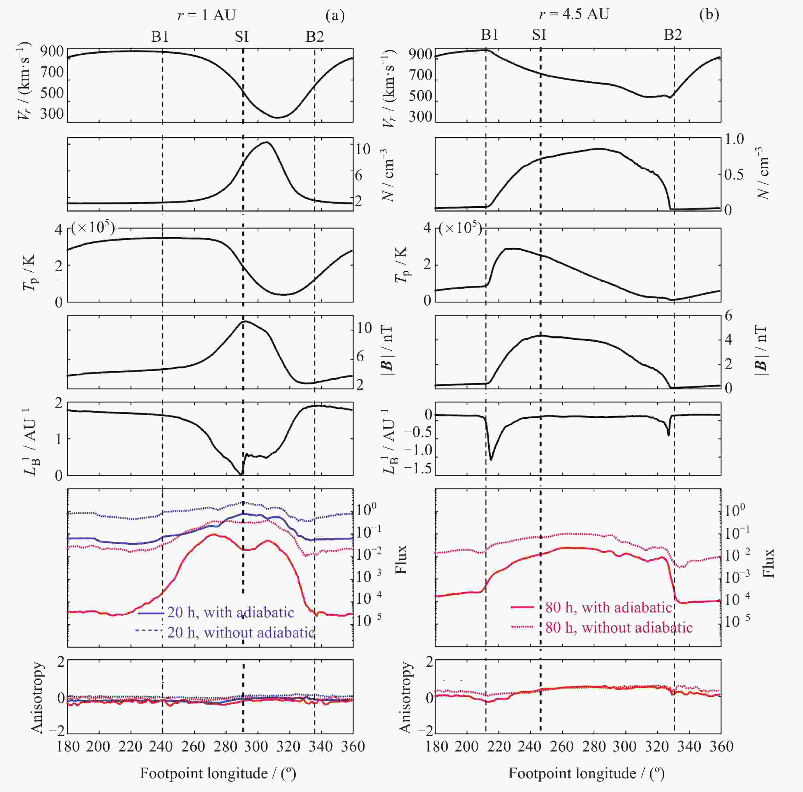
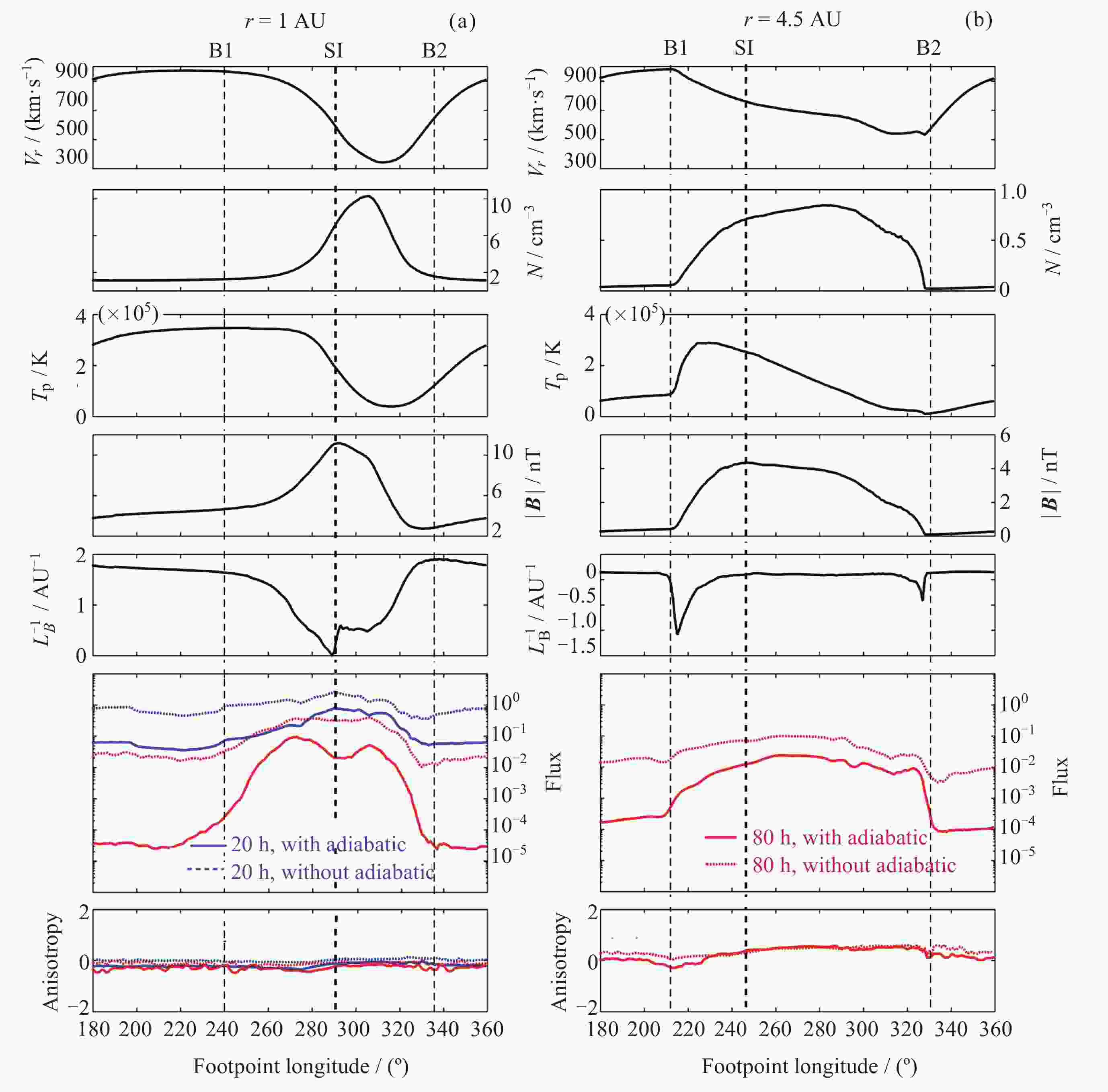
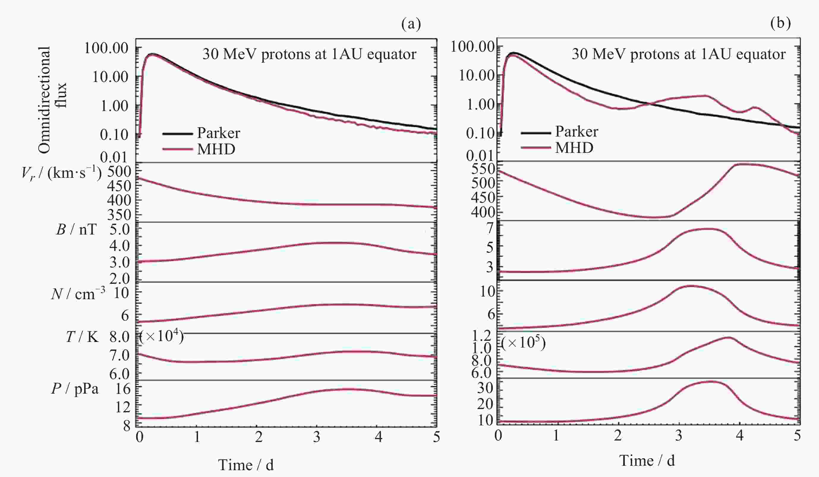
    图  15  1 AU 和 4.5 AU 处太阳风参数和粒子在这些区域的演化[20]

    Figure  15.  Solar wind parameters at 1 AU and 4.5 AU and the evolution of particles in these regions[20]

    图  16  不同案例下粒子强度(6.7~11.4 MeV)的时空变化[22]

    Figure  16.  Spatio-temporal variations of particle intensity (6.7~11.4 MeV) under different cases[22]

  • [1] FORBUSH S E. Three unusual cosmic-ray increases possibly due to charged particles from the sun[J]. Physical Review, 1946, 70(9-10): 771-772 doi: 10.1103/PhysRev.70.771
    [2] NEWKIRK G , WENTZEL D G. Rigidity-independent propagation of cosmic rays in the solar corona[J]. Journal of Geophysical Research Atmospheres, 1978, 83(A5): 2009-2015
    [3] KAHLER S W, SHEELEY N R, HOWARD R A, et al. Associations between coronal mass ejections and solar energetic proton events[J]. Journal of Geophysical Research. Biogeosciences, 1984, 89(A11): 9683-9693 doi: 10.1029/JA089iA11p09683
    [4] MASON G M, GLOECKLER G, HOVESTADT D. Temporal variations of nucleonic abundances in solar flare energetic particle events. II-Evidence for large-scale shock acceleration[J]. The Astrophysical Journal, 1984, 280: 902-916 doi: 10.1086/162066
    [5] WIJSEN N, ARAN A, SCOLINI C, et al. Observation-based modelling of the energetic storm particle event of 14 July 2012[J]. Astronomy :Times New Roman;">& Astrophysics, 2022, 659: A187
    [6] WIJSEN N, ANGELS A, POMOELL J, et al. Modelling three-dimensional transport of solar energetic protons in a corotating interaction region generated with EUHFORIA[J]. Astronomy :Times New Roman;">& Astrophysics, 2019, 622: A28
    [7] DING Z , LI G, MASON G, et al. Modelling two energetic storm particle events observed by Solar Orbiter using the combined EUHFORIA and iPATH models[J]. Astronomy :Times New Roman;">& Astrophysics, 2024, 681: A92
    [8] PARKER E N. Dynamics of the interplanetary gas and magnetic fields[J]. The Astrophysical Journal, 1958, 128: 664-676 doi: 10.1086/146579
    [9] WEI Wenwen, SHEN Fang, ZUO Pingbing, et al. Effects of the solar wind background field on the numerical simulation of the Solar Energetic Particle (SEP) transportation[J]. Chinese Journal of Geophysics, 2016, 59(3): 767-777 (魏稳稳, 沈芳, 左平兵, 等. 太阳高能粒子(SEP)传播数值模拟中的太阳风背景场研究[J]. 地球物理学报, 2016, 59(3): 767-777

    WEI Wenwen, SHEN Fang, ZUO Pingbing, et al. Effects of the solar wind background field on the numerical simulation of the Solar Energetic Particle (SEP) transportation[J]. Chinese Journal of Geophysics, 2016, 59(3): 767-777
    [10] ZHANG M, QIN G, RASSOUL H. Propagation of solar energetic particles in three-dimensional interplanetary magnetic fields[J]. The Astrophysical Journal, 2009, 692(1): 109-132 doi: 10.1088/0004-637X/692/1/109
    [11] FLORENS M S L, CAIRNS I H, KNOCK S A, et al. Data-driven solar wind model and prediction of type II bursts[J]. Geophysical Research Letters, 2007, 34(4): 545-559
    [12] TAO X Y, SHEN F, WEI W W, et al. Modeling energetic proton transport in a corotating interaction region: an energetic particle event observed by STEREO-A from 21 to 24 August 2016[J]. Astronomy :Times New Roman;">& Astrophysics, 2024, 682: A82
    [13] TAO X Y, SHEN F, LUO X. Modeling energetic proton transport from a stream interaction region to compound streams[J]. The Astrophysical Journal, 2025, 978(2): 143 doi: 10.3847/1538-4357/ad96ae
    [14] CRANMER S R. New views of the solar wind with the Lambert W function[J]. American Journal of Physics, 2004, 72(11): 1397-1403 doi: 10.1119/1.1775242
    [15] YANG Zicai, SHEN Fang, YANG Yi, et al. Three-dimensional MHD simulation of interplanetary solar wind[J]. Chinese Journal of Geophysics, 2018, 61(11): 4337-4347 (杨子才, 沈芳, 杨易, 等. 行星际背景太阳风的三维MHD数值模拟[J]. 地球物理学报, 2018, 61(11): 4337-4347

    YANG Zicai, SHEN Fang, YANG Yi, et al. Three-dimensional MHD simulation of interplanetary solar wind[J]. Chinese Journal of Geophysics, 2018, 61(11): 4337-4347
    [16] WEI W W, SHEN F, YANG Z C, et al. Modeling solar energetic particle transport in 3D background solar wind: influences of the compression regions[J]. Journal of Atmospheric and Solar-Terrestrial Physics, 2019, 182: 155-164 doi: 10.1016/j.jastp.2018.11.012
    [17] SHEN F, FENG X S, WANG Y M, et al. Three-dimensional MHD simulation of two coronal mass ejections’ propagation and interaction using a successive magnetized plasma blobs model[J]. Journal of Geophysical Research: Space Physics, 2011, 116(A9): A09103
    [18] SHEN F, FENG X S, WU S T, et al. Three-dimensional MHD simulation of CMEs in three-dimensional background solar wind with the self-consistent structure on the source surface as input: numerical simulation of the January 1997 Sun-Earth connection event[J]. Journal of Geophysical Research: Space Physics, 2007, 112(A6): A06109
    [19] FENG X S, ZHANG M, ZHOU Y F. A new three-dimensional solar wind model in spherical coordinates with a six-component grid[J]. The Astrophysical Journal Supplement Series, 2014, 214(1): 6 doi: 10.1088/0067-0049/214/1/6
    [20] ZHU Y J, SHEN F, LUO X, et al. Solar energetic particles intensity variations associated with a tilted-dipole 3D corotating interaction region[J]. Earth and Planetary Physics, 2024, 8(5): 797-810 doi: 10.26464/epp2024049
    [21] Zhu Yuji. Numerical Simulations of Interplanetary Propagation of Solar Energetic Particles with Large-Scale Background Structures[D]. Beijing: University of Chinese Academy of Sciences, 2024 (朱雨及. 行星际大尺度背景结构下太阳高能粒子传播过程的数值模拟研究[D]. 北京: 中国科学院大学, 2024

    Zhu Yuji. Numerical Simulations of Interplanetary Propagation of Solar Energetic Particles with Large-Scale Background Structures[D]. Beijing: University of Chinese Academy of Sciences, 2024
    [22] ZHU Y J, SHEN F. Solar energetic particles propagation under 3D corotating interaction regions with different characteristic parameters[J]. Universe, 2024, 10(8): 315 doi: 10.3390/universe10080315
    [23] GIACALONE J, JOKIPII J R, KÓTA J. Particle acceleration in solar wind compression regions[J]. The Astrophysical Journal, 2002, 573(2): 845-850 doi: 10.1086/340660
    [24] KOCHAROV L, KOVALTSOV G A, TORSTI J, et al. Modeling the propagation of solar energetic particles in corotating compression regions of solar wind[J]. Journal of Geophysical Research: Space Physics, 2003, 108(A11): 1404
    [25] JIAN L, RUSSELL C T, LUHMANN J G, et al. Properties of interplanetary coronal mass ejections at one AU during 1995-2004[J]. Solar Physics, 2006, 239(1/2): 393-436
    [26] JIAN L K, RUSSELL C T, LUHMANN J G, et al. Stream interactions and interplanetary coronal mass ejections at 0.72 AU[J]. Solar Physics, 2008, 249(1): 85-101 doi: 10.1007/s11207-008-9161-4
    [27] JIAN L K, LUHMANN J G, RUSSELL C T, et al. Solar TErrestrial RElations Observatory (STEREO) observations of stream interaction regions in 2007-2016: relationship with heliospheric current sheets, solar cycle variations, and dual observations[J]. Solar Physics, 2019, 294(3): 31 doi: 10.1007/s11207-019-1416-8
    [28] LI G, ZANK G P, RICE W K M. Acceleration and transport of heavy ions at coronal mass ejection-driven shocks[J]. Journal of Geophysical Research: Space Physics, 2005, 110(A6): A010600
    [29] ZHAO L L, ZHANG M, LARIO D. Modeling the transport processes of a pair of solar energetic particle events observed by parker solar probe near perihelion[J]. The Astrophysical Journal, 2020, 898(1): 16 doi: 10.3847/1538-4357/ab97b3
    [30] NIEMELA A, WIJSEN N, ARAN A, et al. Advancing interplanetary magnetohydrodynamic models through solar energetic particle modelling[J]. Astronomy :Times New Roman;">& Astrophysics, 2023, 679(000): 21
    [31] SCHWADRON N A, JOYCE C J, ALY A, et al. A new view of energetic particles from stream interaction regions observed by Parker Solar Probe[J]. Astronomy :Times New Roman;">& Astrophysics, 2021, 650(000): 14
    [32] WEI Wenwen. Effects of the Solar Wind Background on the Numerical Simulation of the Solar Energetic Particle (SEP) Transportation[D]. Beijing: University of Chinese Academy of Sciences (National Space Science Center, Chinese Academy of Sciences), 2018 (魏稳稳. 太阳高能粒子(SEP)传播数值模拟中的太阳风背景场研究[D]. 北京: 中国科学院大学(中国科学院国家空间科学中心), 2018

    WEI Wenwen. Effects of the Solar Wind Background on the Numerical Simulation of the Solar Energetic Particle (SEP) Transportation[D]. Beijing: University of Chinese Academy of Sciences (National Space Science Center, Chinese Academy of Sciences), 2018
    [33] REID G C. A diffusive model for the initial phase of a solar proton event[J]. Journal of Geophysical Research Atmospheres, 1964, 69(13): 2659-2667 doi: 10.1029/JZ069i013p02659
    [34] KLASSEN A, DRESING N, GÓMEZ-HERRERO R, et al. Unexpected spatial intensity distributions and onset timing of solar electron events observed by closely spaced STEREO spacecraft[J]. Astronomy :Times New Roman;">& Astrophysics, 2016, 593: A31
  • 加载中
图(16)
计量
  • 文章访问数:  1269
  • HTML全文浏览量:  360
  • PDF下载量:  134
  • 被引次数: 

    0(来源:Crossref)

    0(来源:其他)

出版历程
  • 收稿日期:  2025-05-14
  • 修回日期:  2025-08-20
  • 网络出版日期:  2025-08-21

目录

    /

    返回文章
    返回