留言板

尊敬的读者、作者、审稿人, 关于本刊的投稿、审稿、编辑和出版的任何问题, 您可以本页添加留言。我们将尽快给您答复。谢谢您的支持!

姓名
邮箱
手机号码
标题
留言内容
验证码

临近空间球载日冕仪热控系统设计方案与验证

王晶星 林隽 康凯锋 李燕 宋腾飞 许方宇 刘大洋

王晶星, 林隽, 康凯锋, 李燕, 宋腾飞, 许方宇, 刘大洋. 临近空间球载日冕仪热控系统设计方案与验证[J]. 空间科学学报, 2025, 45(6): 1471-1481. doi: 10.11728/cjss2025.06.2025-0047
引用本文: 王晶星, 林隽, 康凯锋, 李燕, 宋腾飞, 许方宇, 刘大洋. 临近空间球载日冕仪热控系统设计方案与验证[J]. 空间科学学报, 2025, 45(6): 1471-1481. doi: 10.11728/cjss2025.06.2025-0047
WANG Jingxing, LIN Jun, KANG Kaifeng, LI Yan, SONG Tengfei, XU Fangyu, LIU Dayang. Design Scheme and Verification of the Thermal Control System for Balloon-borne Coronagraph in Near Space (in Chinese). Chinese Journal of Space Science, 2025, 45(6): 1471-1481 doi: 10.11728/cjss2025.06.2025-0047
Citation: WANG Jingxing, LIN Jun, KANG Kaifeng, LI Yan, SONG Tengfei, XU Fangyu, LIU Dayang. Design Scheme and Verification of the Thermal Control System for Balloon-borne Coronagraph in Near Space (in Chinese). Chinese Journal of Space Science, 2025, 45(6): 1471-1481 doi: 10.11728/cjss2025.06.2025-0047

临近空间球载日冕仪热控系统设计方案与验证

doi: 10.11728/cjss2025.06.2025-0047 cstr: 32142.14.cjss.2025-0047
基金项目: 国家重点研发计划项目 (2022YFF0503804)和云南省“高层次人才培养支持计划——林隽科学家工作室”资助项目共同资助
详细信息
    通讯作者:
    • 王晶星 男, 1984年4月出生于山西省怀仁市, 现为中国科学院云南天文台助理研究员, 主要研究方向为望远镜结构设计与仿真分析. E-mail: wangjingxing@ynao.ac.cn
    • 林隽 男, 1964年4月出生于云南省昆明市, 现为中国科学院云南天文台研究员, 博士生导师, “太阳活动与CME理论研究团组”首席科学家. 长期从事太阳物理研究, 主要研究方向为太阳爆发机制、磁重联理论及日冕物质抛射(CME)的观测与理论研究. E-mail: jlin@ynao.ac.cn
  • 中图分类号: V524

Design Scheme and Verification of the Thermal Control System for Balloon-borne Coronagraph in Near Space

  • 摘要: 日冕仪的光学系统通常采用较小的焦比设计, 导致镜筒结构细长, 对环境温度波动极为敏感. 为确保日冕仪在低温、低压的临近空间环境中稳定运行, 研究设计了一套高精度温度控制系统. 该系统包含12套独立控制的温控单元, 以热敏电阻为传感器, 结合薄膜加热片和PID (Proportional-Integral-Derivative)控制算法, 实现对镜筒温度维持在$ (-\mathrm{5±}\mathrm{3}) $℃. 利用铝合金材料热收缩特性的差异消除结构间隙, 控制热变形并通过调焦机构补偿焦距变化. 通过系统分析日冕仪结构特征及工作环境条件, 建立了临近空间环境下的热交换模型, 揭示了影响系统温度的关键因素, 进而提出了一种结合多级隔热与主动加热相结合的热控方案. 2022年10月4日系统在青海省大柴旦地区成功完成飞行实验, 驻留在海拔30 km的平流层, 并采集到有效数据. 回收数据表明, 温控系统运行稳定, 镜筒温度波动控制在设计范围内, 有效保障了日冕仪在极端环境下的正常工作, 为将来类似任务提供了重要的技术参考.

     

  • 图  1  日冕仪的光学系统组成

    Figure  1.  Optical system composition diagram of the coronagraph

    图  2  日冕仪镜筒热平衡

    Figure  2.  Thermal equilibrium schematic of the coronagraph tube

    图  3  日冕仪镜筒外壁传热

    Figure  3.  Convective heat transfer diagram of the coronagraph outer wall

    图  4  日冕仪镜筒外壁温度传感器布局

    Figure  4.  Layout of temperature sensors on the outer wall of the coronagraph tube

    图  5  初步仿真结果

    Figure  5.  Initial simulation results

    图  6  球形日冕仪低温低压实验布局

    Figure  6.  Layout of the ball-mounted coronagraph for low-temperature low-pressure experiments

    图  7  低温低压实验日冕仪镜筒各部位温度随时间的变化曲线

    Figure  7.  Temperature variation curves of different parts of the coronagraph tube over time in low-temperature low-pressure experiments

    图  8  在模拟热真空环境下日冕仪镜筒各点温度变化曲线

    Figure  8.  Temperature variation curves of different parts of the coronagraph tube under simulated thermal-vacuum environment

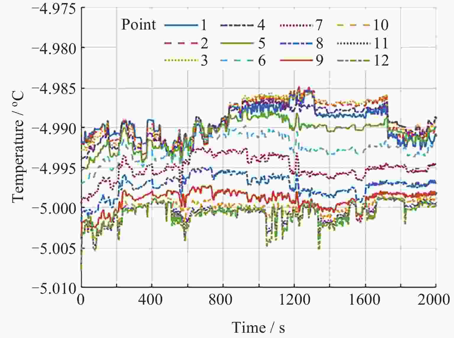
    图  9  仿真后临近空间环境各点温度变化曲线

    Figure  9.  Temperature variation curves at monitoring points under near-space environment after simulation

    图  10  日冕仪指向太阳后镜筒各测温点的温度变化曲线. (a)日冕仪临近空间观测期间镜筒温度变化曲线, (b)日冕仪临近空间观测期间镜筒平均温度变化曲线

    Figure  10.  Temperature change curves of each measuring point of the coronagraph tube after the coronagraph is pointed at the Sun. (a) Temperature variation curve of the coronagraph tube during near-space observations. (b) Average temperature variation curve of the coronagraph tube during near-space observations

    图  11  球载日冕仪热控测点温度与占空比

    Figure  11.  Temperature and duty cycle of thermal control points for the balloon-borne coronagraph

    表  1  日冕仪关键材料热物性参数

    Table  1.   Thermo-physical property parameters of key materials for the coronagraph

    名称 材料 比热容/
    (J·kg–1·K–1)
    密度/(kg·m–3) 导热系数/
    (W·m–1·K–1)
    透镜透光率/(%) 太阳吸收率 红外发射率
    镜筒 6061-T6 896 2700 152
    物镜 石英 740 2200 1.4 99.8
    场镜 H-ZK9B 840 2520 1.2 99.5
    成像镜1 H-ZK21 820 3040 1.1 99.0
    成像镜2 H-ZF6 750 4410 0.9 98.5
    成像镜3 H-ZK21 820 3040 1.1 99.0
    成像镜4 H-K9L 858 2520 1.2 99.6
    羊毛毡 1300~1800 100~300 0.05 0.8 0.9
    镀铝薄膜 1170 1390 0.15 <0.1 0.08
    下载: 导出CSV

    表  2  不同温度条件下的空气参数

    Table  2.   Air parameters under different temperatures

    参数 温度条件
    Tf = 218.15 K ($ - $55 ℃) Tmw = 230.65 K ($ - $42.5 ℃) Tg = 243.15 K ($ - $30 ℃)
    密度ρ/ (kg·m–3) 0.043 9 0.042 0.039 4
    动力黏度μ/ (Pa·s) 1.420×10–5 1.498×10–5 1.570×10–5
    定压比热 Cp/ (J·kg–1·K–1) 1003.5 1003.5 1003.5
    导热系数k/ (W·m–1·K–1) 0.0217 0.02238 0.02250
    下载: 导出CSV

    表  3  加热回路的布局与功率分配

    Table  3.   Layout and power distribution of the heating circuits

    序号 加热器回路名称 加热功率/W 控温阈值/℃ 温度测控点名称
    1 镜筒1 35 [–7, –5] 镜筒温度1
    2 镜筒2 35 [–7, –5] 镜筒温度2
    3 镜筒3 35 [–7, –5] 镜筒温度3
    4 镜筒4 30 [–7, –5] 镜筒温度4
    5 镜筒5 30 [–7, –5] 镜筒温度5
    6 镜筒6 10 [–7, –5] 镜筒温度6
    7 镜筒7 5 [–7, –5] 镜筒温度7
    8 尾部X+ 15 [–7, –5] 尾部温度1
    9 尾部Z+ 10 [–7, –5] 尾部温度2
    10 尾部X 15 [–7, –5] 尾部温度3
    11 尾部Z 10 [–7, –5] 尾部温度4
    12 尾部Y+ 10 [–7, –5] 尾部温度5
    下载: 导出CSV
  • [1] LIU Yanxiao, SONG Tengfei, ZHANG Tao, et al. An overview of the European balloon-borne solar telescope SUNRISE and its related research results[J]. Research in Astronomy and Astrophysics, 2021, 18(3): 314-336 (刘艳霄, 宋腾飞, 张涛, 等. 欧洲球载太阳望远镜SUNRISE及其相关研究成果简介[J]. 天文研究与技术, 2021, 18(3): 314-336

    LIU Yanxiao, SONG Tengfei, ZHANG Tao, et al. An overview of the European balloon-borne solar telescope SUNRISE and its related research results[J]. Research in Astronomy and Astrophysics, 2021, 18(3): 314-336
    [2] LIN Jun, SONG Tengfei, SUN Mingzhe, et al. 50mm white-light coronagraph: I. Basic structure and ground observation experiments[J]. Science China: Physics, Mechanics & Astronomy, 2023, 53(5): 150-176 (林隽, 宋腾飞, 孙明哲, 等. 50 mm白光球载日冕仪: I. 基本结构与地面观测实验[J]. 中国科学: 物理学、力学、天文学, 2023, 53(5): 150-176

    LIN Jun, SONG Tengfei, SUN Mingzhe, et al. 50mm white-light coronagraph: I. Basic structure and ground observation experiments[J]. Science China: Physics, Mechanics & Astronomy, 2023, 53(5): 150-176
    [3] DEVORKIN D H. When to send your telescope aloft[J]. Journal for the History of Astronomy, 2019, 50(3): 265-305 doi: 10.1177/0021828619864723
    [4] CHO Y H, HEUNG G, BOBROV Y, et al. SunbYte: an autonomous pointing framework for low-cost robotic solar telescopes on high altitude balloons[J]. Experimental Astronomy, 2024, 57(3): 27 doi: 10.1007/s10686-024-09944-w
    [5] GRAHAM L A. Thermal-Mechanical Design of the Balloon-Borne Aerosol Limb Imager[D]. Saskatoon: University of Saskatchewan, 2022
    [6] SOLER J D, ADE P R, ANGILE F E, et al. Thermal design and performance of the balloon-borne large aperture submillimeter telescope for polarimetry BLASTPol[C]//Ground-based and Airborne Telescopes V: Vol. 9145. Denver: SPIE, 2014: 1191-1208
    [7] SOLER J D, ADE P A R, AMIRI M, et al. Design and construction of a carbon fiber gondola for the SPIDER balloon-borne telescope[C]//Ground-based and Airborne Telescopes V: Vol. 9145. Denver: SPIE, 2014: 281-296
    [8] LI Dapeng. Thermal control system designed for stratospheric airship communication system gondola[J]. Cryogenics :Times New Roman;">& Superconductivity, 2011, 39(5): 78-80 (李大鹏. 平流层飞艇通信系统吊舱热控设计[J]. 低温与超导, 2011, 39(5): 78-80

    LI Dapeng. Thermal control system designed for stratospheric airship communication system gondola[J]. Cryogenics & Superconductivity, 2011, 39(5): 78-80
    [9] LIU W Y, DING Y L, WU Q W, et al. Thermal analysis and design of the aerial camera’s primary optical system components[J]. Applied Thermal Engineering, 2012, 38: 40-47 doi: 10.1016/j.applthermaleng.2012.01.015
    [10] O’CONNOR B. Thermal control of the balloon-borne HEROES telescope[C]//43rd International Conference on Environmental Systems. Vail: AIAA, 2013: M13-2779
    [11] SOLANKI S K, RIETHMÜLLER T L, BARTHOL P, et al. The second flight of the SUNRISE balloon-borne solar observatory: overview of instrument updates, the flight, the data, and first results[J]. Astrophysical Journal Supplement, 2017, 229(1): 2 doi: 10.3847/1538-4365/229/1/2
    [12] JEONG S, CHOI Y, LIM E K, et al. Toward a next generation solar coronagraph: development of a compact coronagraph on ISS[J]. Journal of the Korean Astronomical Society, 2024, 57(1): 1-10
    [13] SHENG Z, LI J W, JIANG Y, et al. Characteristics of stratospheric winds over Jiuquan (41.1 N, 100.2 E) using rocketsonde data in 1967–2004[J]. Journal of Atmospheric and Oceanic Technology, 2017, 34(3): 657-667 doi: 10.1175/JTECH-D-16-0014.1
    [14] LE V T, GOO N S, KIM J Y. Experimental investigation on thermal contact resistance of alumina fibrous insulation material with Ti-6Al-4V alloy at high temperature and its effective thermal conductivity[J]. Heat and Mass Transfer, 2019, 55(6): 1705-1721 doi: 10.1007/s00231-018-02551-4
  • 加载中
图(11) / 表(3)
计量
  • 文章访问数:  1307
  • HTML全文浏览量:  540
  • PDF下载量:  65
  • 被引次数: 

    0(来源:Crossref)

    0(来源:其他)

出版历程
  • 收稿日期:  2025-04-01
  • 修回日期:  2025-08-29
  • 网络出版日期:  2025-09-01

目录

    /

    返回文章
    返回