留言板

尊敬的读者、作者、审稿人, 关于本刊的投稿、审稿、编辑和出版的任何问题, 您可以本页添加留言。我们将尽快给您答复。谢谢您的支持!

姓名
邮箱
手机号码
标题
留言内容
验证码

当期目录

2025年  第45卷  第6期

空间物理
不同时空分辨率地磁模型与地磁台站实测数据对比
徐玥, 杨艳艳, 王婕, 泽仁志玛
2025, 45(6): 1425-1438. doi: 10.11728/cjss2025.06.2025-0001
摘要:
在近年来磁场变化较快的北极以及南大西洋异常区选取了国际地磁台网(INTERMAGNET)的4个地磁台站, 利用国际地磁参考场模型IGRF以及目前国内时空分辨率最高的多场源Swarm模型两个时空分辨率不同的全球地磁场模型, 定量研究了模型空间分辨率以及更新周期相对地磁台站实测数据的偏差. 研究结果表明: 同等更新周期情况下, 在太阳活动宁静时期, 对于岩石圈磁异常不明显的区域, IGRF和其他空间分辨率更高的地磁场模型给出的结果较为接近, 而对于岩石圈磁异常较为明显的区域, 空间分辨率更高的全球地磁场模型更接近实测值; 在IGRF未更新的5年 (2016-2020年)内, 地磁台站实测值与IGRF模型之间存在明显的时间漂移, 典型漂移可达100 nT以上, 但漂移的量值也存在地区差异, 这与地磁场全球变化不均匀有关. 相比之下, 地磁台站观测值与Swarm模型之间则未观测到明显的漂移现象. 这一结果表明, 在地磁场快速变化时期, 缩短主磁场的更新周期十分必要. 本项研究可以为全球地磁场模型的相关应用提供依据和参考.
频域特征叠加时域突变的乘性模型预测电离层TEC方法
王帅, 全林, 王鲲鹏, 李泠, 苑刚, 康丽华
2025, 45(6): 1439-1450. doi: 10.11728/cjss2025.06.2024-0123
摘要:
电离层总电子含量(TEC)是电离层的重要特征参数, 对导航误差修正等应用有较大影响, 但是目前的电离层TEC预报精度无法完全满足需求, 尤其在太阳风暴期间的精度和提前量方面存在不足. 针对区域电离层TEC预报需要, 综合考虑电离层TEC的频域和时域特性, 根据电离层TEC的变化受太阳活动影响存在趋势性、周期性和突发性的特征, 在分析太阳活动高低年趋势的基础上, 在频域用多个周期长度解析电离层TEC变化, 在时域上考虑地磁暴等因素对电离层TEC的突发性影响, 将扰动暴时(Dst)指数、经纬度作为输入参数, 对各个区域磁层–电离层耦合情况进行特异性建模. 实验结果表明, 在地磁平静时期中纬度地区, 本文方法在太阳活动低年7天预报值的均方根误差(RMSE)优于1.262总电子含量单位(TECU), 1天预报值的RMSE优于1.094 TECU, 在太阳活动高年7天预报值的RMSE优于2.771 TECU. 在地磁活跃时期, 7天预报值的RMSE优于4.186 TECU, 1天预报值的RMSE优于4.115 TECU. 本文建立了具备7天提前量的预报模型, 方法在预报精度和时效方面表现良好.
1998-2020年120°E上空电离层赤道异常冬季纬度偏移现象及其影响机制
黄林峰, 王劲松, 宋善海, 杨士进, 廖瑶
2025, 45(6): 1451-1459. doi: 10.11728/cjss2025.06.2024-0136
摘要:
基于俄罗斯科学院IZMIRAN研究所提供的1998-2020年的电离层TEC, f0F2, hmF2等数据, 统计分析在地磁活动平静期间120°E上空电离层赤道异常(EIA)半球不对称性与冬季纬度位置偏移现象, 并探讨其可能影响机制. 研究结果表明, 冬至期间EIA双峰结构不对称性与太阳活动变化的相关性相对显著, 在太阳活动低时主要为南驼峰更为明显, 在太阳活动高时以北驼峰显著为主; EIA双峰结构纬度位置在冬季期间呈现出向南半球偏移的现象, 特别是在太阳活动很低时, 且南驼峰纬度位置偏移量更明显. 在120°E冬至期间, 跨赤道中性风是影响EIA双峰强度半球不对称性的主要因素, 排除地磁活动和磁偏角等的影响, 冬季EIA双峰结构纬度偏移可能与太阳直射点等离子体浓度背景场的地理控制作用有关.
基于SegRNN的热层大气密度经验模型校准
曹庆鹏, 黄柳朋, 韦春博, 谷德峰
2025, 45(6): 1460-1470. doi: 10.11728/cjss2025.06.2024-0179
摘要:
大气阻力是低轨卫星受到的最大非引力摄动, 大气阻力的计算误差主要来源于热层大气密度经验模型误差, 目前经验模型的误差较大, 普遍在30%以上. 为提高经验模型的预报精度, 提出一种基于SegRNN (Segment Recurrent Neural Network)的热层大气密度经验模型校准方法. 该方法使用SegRNN的分块和并行策略进行模型训练和推理, 避免了传统RNN (Recurrent Neural Network)因迭代次数过多而引起误差累积与梯度不稳定的问题. 通过分析大气密度与Ap, F10.7F10.7a外部环境参数的变化关系, 提出了一种改进的神经网络架构SegRNN with Residual Block. 该架构通过引入外部环境参数作为动态协变量(Covariates), 使用Residual Block (RB)提取预报时段的密度相关信息, 从而进一步提高SegRNN的预报精度. 利用GRACE (Gravity Recovery and Climate Experiment)星载加速度计反演得到的密度数据对NRLMSISE 2.0进行校准实验. 结果表明, NRLMSIS 2.0模型原始误差为31.3%, 经SegRNN校准后, 误差降低至8.0%, 引入动态协变量后, 模型误差进一步降低至7.2%, 最终校准模型误差下降了24.1%, 校准效果显著.
临近空间球载日冕仪热控系统设计方案与验证
王晶星, 林隽, 康凯锋, 李燕, 宋腾飞, 许方宇, 刘大洋
2025, 45(6): 1471-1481. doi: 10.11728/cjss2025.06.2025-0047
摘要:
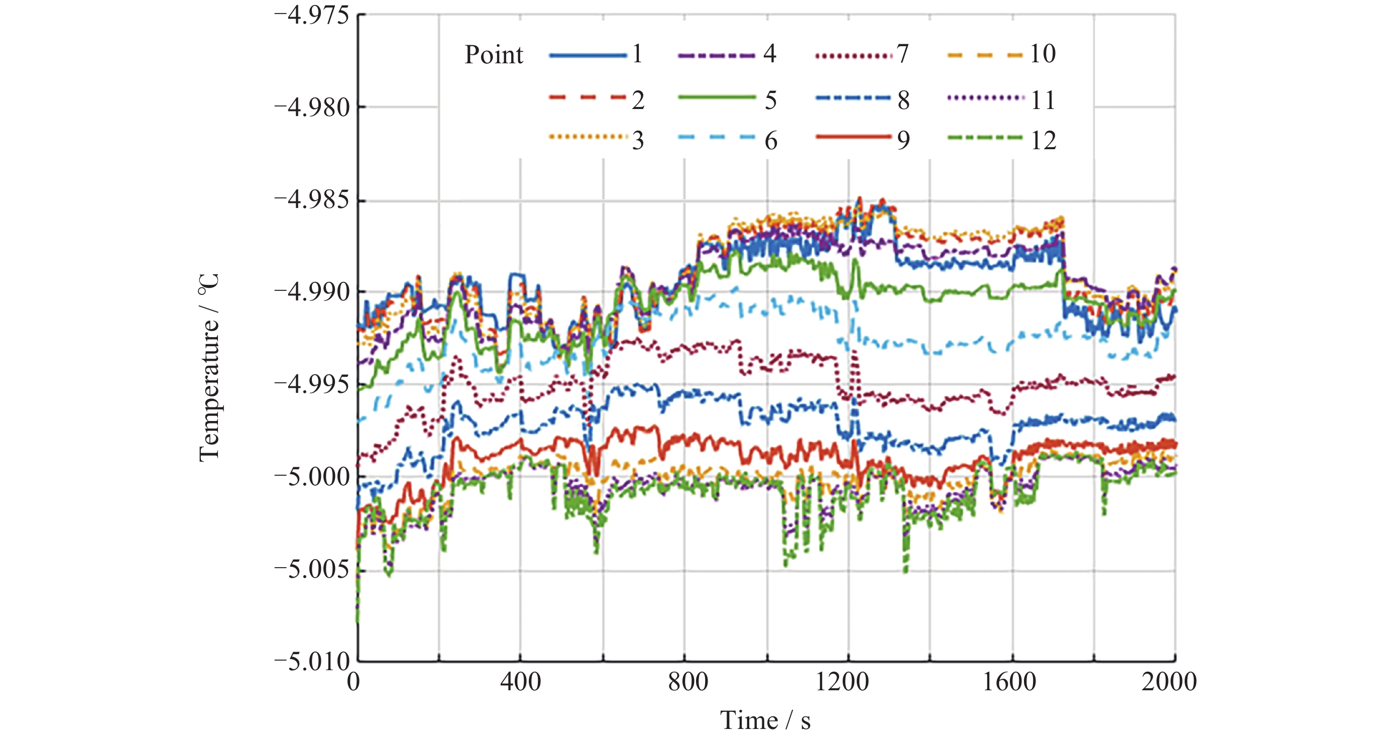
日冕仪的光学系统通常采用较小的焦比设计, 导致镜筒结构细长, 对环境温度波动极为敏感. 为确保日冕仪在低温、低压的临近空间环境中稳定运行, 研究设计了一套高精度温度控制系统. 该系统包含12套独立控制的温控单元, 以热敏电阻为传感器, 结合薄膜加热片和PID (Proportional-Integral-Derivative)控制算法, 实现对镜筒温度维持在$ (-\mathrm{5±}\mathrm{3}) $℃. 利用铝合金材料热收缩特性的差异消除结构间隙, 控制热变形并通过调焦机构补偿焦距变化. 通过系统分析日冕仪结构特征及工作环境条件, 建立了临近空间环境下的热交换模型, 揭示了影响系统温度的关键因素, 进而提出了一种结合多级隔热与主动加热相结合的热控方案. 2022年10月4日系统在青海省大柴旦地区成功完成飞行实验, 驻留在海拔30 km的平流层, 并采集到有效数据. 回收数据表明, 温控系统运行稳定, 镜筒温度波动控制在设计范围内, 有效保障了日冕仪在极端环境下的正常工作, 为将来类似任务提供了重要的技术参考.
行星科学
火星含水矿物高光谱遥感探测算法的原理、现状及展望
吴兴, 周翔, 李柯仪, 刘洋
2025, 45(6): 1482-1491. doi: 10.11728/cjss2025.06.2024-0173
摘要:
火星是太阳系中与地球最为相似的类地行星, 因其潜在的宜居性成为深空探测的热点星球. 含水矿物是火星水岩相互作用的产物, 其对研究火星早期水环境、地质演化及宜居性具有重要意义. 高光谱遥感技术通过超高光谱分辨率, 为含水矿物的识别与丰度反演提供了重要工具. 然而火星含水矿物分布零散且丰度极低, 加之光谱混合与噪声影响, 目前探测主要依赖光谱参数法与目视解译, 难以满足海量高光谱数据的处理需求. 近年来, 机器学习在地球高光谱遥感技术中的迅猛发展为火星矿物探测提供了新思路, 但其在火星上的应用研究仍处于初步探索阶段. 本文从定性识别和定量反演两方面系统梳理了火星含水矿物高光谱探测的研究进展, 评估了各种方法的优缺点与适用性, 并结合当前瓶颈提出未来发展方向, 为火星含水矿物探测的发展提供参考.
金星着陆器长寿命生存技术研究进展
王虎军, 褚英志, 张晓, 刘毅, 徐航, 钟宇彬, 刘维新
2025, 45(6): 1492-1505. doi: 10.11728/cjss2025.06.2024-0178
摘要:
金星是类地行星的重要组成部分, 金星的探测和研究对于理解行星的形成与演化、地球的宜居性及寻找系外宜居行星等具有重要的科学意义. 近年来, 欧洲及美、俄、印等国均计划在2030年前后开展新的金星探测任务. 金星表面高温、高压和腐蚀性的极端环境限制了人类对其的原位探索. 面向未来金星表面长时间探测的需求, 本文根据金星环境特点分析了着陆器长寿命生存面临的挑战, 从轻质抗高压结构设计、耐高温电子设备、能源系统和热控技术四个方面梳理了金星着陆器长寿命生存技术的研究进展, 给出了金星着陆器的设计建议, 为未来中国可能开展的金星着陆探测提供了参考.
微重力与空间材料科学
非常规重力条件下燃料电池和电解池实验研究进展
李自航, 于瑞佼, 叶芳, 杜王芳, 陈浩, 郭航
2025, 45(6): 1506-1517. doi: 10.11728/cjss2025.06.2024-0157
摘要:
燃料电池与电解池可以为空间长期任务和宇航基地提供能源支持, 但是空间中不同的引力水平会对其性能造成影响, 因此开展非常规重力环境中的相关实验研究对于航天用燃料电池与电解池的研发及改进是必要的. 本文综述了非常规重力条件下燃料电池和电解池的实验研究. 分析及讨论表明, 重力水平的改变导致燃料电池与电解池内部气液两相流特性改变, 从而对性能造成不同的影响. 目前仍缺少燃料电池在超重力与长期微重力下的实验数据以及再生燃料电池的非常规重力实验数据. 非常规重力条件下的燃料电池和电解池实验不仅有助于促进流体物理与热物理学与电化学之间的学科交叉, 还将为空间再生燃料电池系统的研发提供数据依据.
静电悬浮激光脉冲局部温度梯度触发形核实验技术
王艳秋, 孙志斌, 陆潇晓, 郑福
2025, 45(6): 1518-1531. doi: 10.11728/cjss2025.06.2024-0095
摘要:
通过激光脉冲在样品表面局部区域形成温度梯度, 引起实验样品内部结构起伏和能量起伏概率加大, 程度加深, 使晶体从熔融的液相亚稳态相变为固相, 实现静电悬浮下高质量可控深过冷激光脉冲触发形核. 通过有限元模拟仿真方法研究不同加热激光束斑直径, 功率为9 W, 功率密度为$ 2.86\times {10}^{8}\;\mathrm{W} \cdot {\mathrm{m}}^{-2} $和$ 1.146\times {10}^{7}\;\mathrm{W} \cdot {\mathrm{m}}^{-2} $的激光对温度梯度场的影响, 得到不同激光束斑直径下熔融样品局部温度梯度场分布结果. 采用直径为2 mm锆材料样品, 研究在较小激光束斑直径下, 不同的激光脉冲宽度与过冷度熔融材料样品触发形核时间尺度变化. 基于经典形核理论, 通过16组不同过冷度, 每组20次自发形核的数据统计分析, 得到锆材料样品在不同过冷度下从母相熔体的亚稳态向固相移动所需时间的变化关系. 在此基础上, 开展激光脉冲束斑直径为0.2 mm的波长为936 nm, 样品为锆材料激光脉冲触发形核实验研究. 实验结果表明, 锆材料在过冷度为195 K ± 3 K, 样品形核凝固过程中所需的时间比自发形核所需时间降低3/4, 高质量可控地使熔融样品在不同过冷度下触发形核.
Na6Mo11O36材料X射线微观结构图像的分割算法
李欣泽, 蔡宇佳, 于强
2025, 45(6): 1532-1541. doi: 10.11728/cjss2025.06.2024-0185
摘要:
在微重力环境下进行材料科学实验可以消除重力对材料实验过程的干扰, 揭示材料生长过程的本征规律, 获得具有更高性能的材料. 中国空间站高温材料科学实验柜配备了X射线透射成像模块, 能够实现在微重力条件下对材料凝固过程的实时成像和观察. 受空间站实验条件等因素的限制, X射线透射成像模块拍摄到的材料X射线图像模糊不清, 图像中的微观结构难以直接观察. 本文提出了一种专门针对 Na6Mo11O36材料凝固过程中生成的微观结构图像而设计的分割算法GFF-UNet++, 并从图像分割性能及材料科学两个方面对GFF-UNet++算法进行全面评估. 实验结果表明, 相比UNet, UNet++, DC-UNet, UNet3+, Pretrained-Microscopy-Models等图像分割算法, GFF-UNet++在图像分割任务中的各项图像分割指标上均有明显提升, 能够更准确分割出Na6Mo11O36材料在生长过程中形成的微观结构. 这为材料的微观结构分割研究提供了新的思路和方法, 具有重要应用价值.
空间探测技术
非对称空间外差干涉仪标定技术
朱光逸, 朱亚军, 王天才, 袁韦, 刘伟军, 徐寄遥
2025, 45(6): 1542-1551. doi: 10.11728/cjss2025.06.2024-0143
摘要:
中高层大气风场探测对于大气模型构建、卫星轨道预测、通信导航保障和空间天气灾害预测具有重要的科学和应用价值. 光学干涉仪获取气辉辐射的多普勒频移是大气风场遥感最重要的方法之一. 标定光学干涉仪的测风性能对于确保探测精确度有重要意义. 通过研究非对称空间外差干涉仪的测风原理, 提出测风敏感系数的概念, 为仪器标定提供理论依据. 设计并实施了两种典型的标定系统, 用以对非对称空间外差干涉仪进行测风标定实验. 结合标定过程与结果对这两种标定系统的不确定度以及适用性进行综合评估. 声光移频测风标定系统具有优于±1 m·s–1的不确定度, 并且结构紧凑、易于集成, 可作为传递标准, 用于地面测风网络的内部校准, 反射转盘式测风标定系统具有广泛的光源适用性. 该结果可为测风光学干涉仪的实验室和常规现场标定提供参考.
基于有限域线性群的卫星集群能力与认知模型构建及在轨验证
李英玉, 杨宇轩, 刘红林, 金金, 赵通, 王广钰, 杨震, 孟新
2025, 45(6): 1552-1569. doi: 10.11728/cjss2025.06.2024-0120
摘要:
提出一种基于有限域线性群的卫星集群能力与认知模型构建方法, 并基于该模型研究了能力视图、自主任务分配算法和发布订购机制, 进行在轨验证. 引入有限域与线性群的代数理论, 构建卫星智能体的能力模型, 为后续任务分配提供建模方法和逻辑依据, 基于能力与认知模型, 构建基于能力与认知模型的卫星集群能力视图, 为用户提供直观的能力显示和交互手段, 便于资源订购和管理; 设计基于能力与认知模型的卫星集群自主任务分配算法, 综合考虑智能体自身能力、邻居影响和任务驱动因素, 实现任务需求的自主匹配与决策, 确保卫星智能体能够合理分配卫星资源; 构建卫星集群发布订购机制, 实现卫星资源与用户需求的精准对接; 进行了卫星集群发布订购服务流程的在轨验证实验, 实现卫星资源能力构建、自主任务分配算法及能力视图发布订购服务流程, 星地即时能力订购响应时间(带天地链路通信时间)为 31s, 验证了能力及认知模型的可行性和有效性, 为其实际应用提供了依据.
基于NSGA-II算法的固定式蜂窝板辐射器优化
王建鹏, 郭彤, 陈亮
2025, 45(6): 1570-1579. doi: 10.11728/cjss2025.06.2024-0177
摘要:
空间辐射器是航天热控系统的重要组成部分. 为了满足某低轨卫星散热与减重需求, 借助反设计理念提出一种固定式蜂窝板辐射器的优化策略, 由宏观与微观传热角度阐述了辐射器性能改善的根本原因. 以热管–管路布局参数作为设计变量, 采用Kriging构建代理模型, 基于NSGA-II算法迭代优化得到方案α与方案β. 仿真结果表明, 优化方案在降低辐射器质量约1/4的基础上, 表面温度均匀性分别提高3.09 K与4.98 K, 散热能力分别提高18.7%与28.8%. 对优化前后卫星绕轨运行温度水平进行对比分析, 结果表明辐射器的优化设计使航天器热控系统具有更大的温度控制余量, 并且具备显著的减重优势, 有助于航天器在轨任务的进行与拓展.
面向空间探测应用的550 GHz频段砷化镓薄膜集成混频器技术
丁江乔, 陈思佳, 朱皓天
2025, 45(6): 1580-1587. doi: 10.11728/cjss2025.06.2024-0162
摘要:
太赫兹固态肖特基谐波混频技术是空间天文、行星、大气探测的重要手段, 显然研究太赫兹单片集成谐波混频器具有重要意义. 本文克服了传统混合集成方法(即将分立的肖特基二极管与石英匹配电路胶接而成)存在的装配难、热效应不平衡、可靠性差等系列问题, 基于全自主国产砷化镓流片工艺线, 完成了550 GHz频段单片集成谐波混频器的研制与验证. 二极管设计方面, 建立精确的肖特基变阻管非线性和3D模型; 匹配电路方面, 采用典型的减高波导、高低阻抗悬置微带线(实现RF与LO信号的隔离)、矩形探针等结构, 结合场路分析方法, 实现最简化匹配电路设计; 整体电路含二极管对集成在3 μm厚的GaAs (Gallium Arsenide)薄膜上, 并通过两侧的梁氏引线实现与腔体的固定安装. 测试结果表明: 混频器模块在548~572 GHz单边带变频损耗优于13.4 dB, 并基于此结果实现了设计的反馈仿真研究.
分体式金刚石/铜微通道散热研究
冯小明, 马祥, 张永海, 王帅, 李彬
2025, 45(6): 1588-1596. doi: 10.11728/cjss2025.06.2024-0184
摘要:
随着航天器功能部件热流密度激增, 相关电子设备的寿命和可靠性面临着严峻的散热问题. 将微通道散热技术与高导热金刚石/铜复合材料相结合, 为解决航天器的散热难题提供了有效途径. 本文设计了一种分体式金刚石/铜微通道散热系统, 并与纯铜微通道系统对比. 以HFE-7100为工质, 研究了不同流速、不同肋高下两种微通道系统的传热特性. 当流速为0.7 m·s–1, 随着肋高的增加, 临界功率下金刚石/铜比纯铜微通道系统的芯片表面温度低12, 19, 19.6℃, 传热系数最大提升分别为27.8%, 30.1%, 28.1%. 两种微通道系统的压差在对流段几乎相同, 进入核态沸腾后, 金刚石/铜微通道系统压差整体略高, 最大增加了11.8%.
基于最小最大凹惩罚的综合孔径射电望远镜成像方法
范小艺, 杨晓城, 武林, 阎敬业, 徐璐
2025, 45(6): 1597-1606. doi: 10.11728/cjss2025.06.2024-0186
摘要:
在综合孔径射电望远镜中, 从测量的可见度函数重构出图像是一个病态的反问题. 虽然压缩感知技术已成功地应用于综合孔径射电望远镜成像中, 但是传统的压缩感知算法利用L1范数最小化, 近似取代L0范数最小化, 带来了一定的偏差. 针对此问题, 本文提出了一种基于最小最大凹惩罚的综合孔径射电望远镜成像方法. 该方法利用最小最大凹惩罚来近似L0范数, 并利用近端梯度算法求解最小化模型. 在求解过程中, 采用最大似然估计来自适应选取正则化参数, 提高重构结果的准确性. 并采用重启和自适应策略, 以避免迭代过程中的振荡, 并提高算法的收敛速度. 实验结果表明, 该方法在重建精度和对噪声鲁棒性方面优于目前典型的压缩感知算法, 证明了其有效性.
高轨电磁频谱监测载荷应用及资源管控
孙正波, 周晓光, 义余江
2025, 45(6): 1607-1616. doi: 10.11728/cjss2025.06.2024-0096
摘要:
电磁频谱监测是对电磁频谱这种重要战略资源进行分配、应用和管理的关键环节, 是政府无线电管理部门的一项重要任务. 电磁频谱监测的手段较多, 但多以地基为主, 存在较大的局限性. 基于天基平台的电磁频谱监测系统(Electromagnetic Spectrum Monitoring Systems)是广域电磁频谱监测的有效途径和研究热点, 相关产业随着航天、电子和信息等技术的发展逐渐规模化. 与低轨电磁频谱监测相比, 高轨电磁频谱监测具有任务响应速度快、数据接收处理时效性高、可全天时全天候连续监测等优点. 与高轨电磁频谱监测相关的公开报道很少. 本文从高轨电磁频谱监测的体制特点出发, 对载荷资源应用模式、载荷资源管控技术、应用系统等进行研究和针对性设计, 并提出需要进一步攻研的关键技术, 以期对该类卫星的设计和应用有一定指导意义.
低轨遥感卫星星地多站接力数据传输时间优化策略
陆召严, 范森权, 付碧红, 包丽平, 汪灏
2025, 45(6): 1617-1628. doi: 10.11728/cjss2025.06.2024-0083
摘要:
针对低轨遥感卫星多站数传接力问题中链路切换时刻选择及接力场景复杂的问题, 提出了一种基于链路切换时间优化的多站数传接力方法, 简化多站接力场景并选择最优接力时刻, 提升数传接力传输时长. 基于该方法建立多站接力的数学描述, 并构建卫星与地面站链路切换时间的表达方法. 基于主流的低轨遥感卫星和地面站特征, 建立星地数传接力场景, 归纳可见时间弧段特征, 构建多站接力复杂场景的两站化优化策略, 同时对链路切换时间进行数值求解, 寻求接力时间最短的接力时刻. 使用典型的星地数传模型仿真计算验证本文构建的带有优化策略的数传接力方法. 仿真结果表明: 在中国三个典型地面站场景下, 卫星与地面站的数传链路存在32.0%可接力数传弧段, 其中三站接力场景占比17.9%, 三站接力场景可以通过优化策略简化成两站接力场景并存在最优接力时刻, 使用接力时间优化策略后, 最短链路切换时间相比最长接力时间可缩短最高达25%; 使用优化后的数传接力方法进行接力数传, 每次可用时间的平均值由单站的7.61 min提升为11.12 min.
地基观测数据估计空间目标特性研究进展
李荣旺, 李徽, 舒鹏, 李语强
2025, 45(6): 1629-1643. doi: 10.11728/cjss2025.06.2024-0181
摘要:
空间活动日益频繁, 目标解体和碰撞生成大量空间碎片可能引发灾难性后果, 因此对空间目标进行监测与表征变得尤为重要. 空间目标的姿态、形状、材质等特性信息对于目标识别、碰撞规避和主动清除具有重要意义. 对空间态势感知领域的重要学术会议AMOS (Advanced Maui Optical and Space Surveillance Technologies)近年来文集中的相关技术论文进行系统分析, 涵盖地基观测数据在空间目标表征中的应用, 从姿态估计、形状估计到姿态演化以及机器学习辅助决策等, 研究结果可为空间目标综合分析提供丰富的技术手段和估计方法, 并为未来空间目标表征技术发展提供了有价值的参考. 此外, 针对特性估计相关数据日益丰富、反演算法愈发成熟的现状和趋势, 提出中国应该建立体系化的空间目标特性估计机制新思路.
数据论文
2011至2022年太阳日珥数据集
汪谊涛, 张全浩, 刘佳佳
2025, 45(6): 1644-1649. doi: 10.11728/cjss2025.06.2025-0089
摘要:
太阳日珥是悬浮在日冕中具有较低温度(通常小于10000 K)和较稠密电子密度(109~1011 cm–3)的磁结构. 相关研究表明, 太阳日珥与太阳耀斑及日冕物质抛射等可能引起灾害性空间天气的太阳爆发活动具有明显的关联性, 研究太阳日珥的时空分布有助于预报其空间天气效应, 从而尽可能降低太阳爆发活动带来的灾害性影响. 本数据集基于10 min分辨率的SDO (Solar Dynamics Observatory)卫星 AIA (Atmospheric Imaging Assembly)仪器记录的 30.4 nm数据图像, 通过背景重构增大日面外图像的对比度, 而后使用骨架提取、区域生长等自动算法标记重构后图像中的日珥区域, 获得相关参数值, 并将持续时间内存在的相同日珥追踪后存储于数据文件中, 最后将处理后的图像以及日珥数据文件存储在按年–月–日的三级结构目录中. 数据集囊括了从2011年1月1日00:00 UT至2022年12月 31日23:50 UT共计101741个日珥文件, 严格按照相关协议和分类文件进行审核, 确保较高的可靠性, 为太阳日珥周期内的时空分布研究以及灾害性空间天气的预测提供科学数据支持.
太阳全日面视向磁图活动区数据集
潘劲珲, 刘佳佳, 刘睿
2025, 45(6): 1650-1655. doi: 10.11728/cjss2025.06.2025-0086
摘要:
太阳活动区是太阳剧烈爆发活动例如太阳耀斑和日冕物质抛射等的重要源区, 对于太阳活动区的识别有助于预报太阳剧烈活动对地球空间环境的影响. 本数据集使用2010-2019年来自太阳动力学天文台(SDO)搭载的日震与磁像仪(HMI)拍摄的间隔720 s的太阳全日面视向磁图数据, 结合Solar Monitor (https://solarmonitor.org/) 网站给出的美国国家海洋和大气管理局(NOAA)活动区编号, 并基于传统图像处理算法的识别方法, 结合人工标注进行了磁图中活动区的标注. 本数据集包含6975张每天间隔12 h的太阳全日面视向磁图, 给出了每张磁图上的活动区位置信息, 共26531个活动区标注. 本数据集旨在为基于深度学习识别活动区的算法提供一个标准训练集, 从而为空间天气预报提供数据支持.
太阳光球层小尺度涡流机器识别标准数据集
谢权, 刘佳佳
2025, 45(6): 1656-1664. doi: 10.11728/cjss2025.06.2025-0087
摘要:
位于宁静区的小尺度光球涡流通常被认为是米粒等离子体流动自然形成的, 并且其可能在向太阳高层大气输送能量的过程中发挥关键作用. 然而通过人为识别获取到的小尺度涡流参数存在很大的局限性和误差, 可能会导致对小尺度涡流总数的低估. SST (Swedish 1-meter Solar Telescope) 和 Hinode/SOT (Solar Optical Telescope) 望远镜对太阳光球层实现高时空分辨率、高质量的观测, 给光球层小尺度涡流的研究提供了充足的数据支持. 研究改进了太阳小尺度涡流机器识别及关键参数提取算法并形成了相应工具软件.本数据集包含2007年SOT望远镜观测的一块宁静区光球层区域(像元大小为39.2 km, 时间间隔约为6.4 s), 以及2012年SST望远镜观测的一块宁静区光球层区域(像元大小为43.6 km, 时间间隔为8.25 s). 本数据集可在涡流相关特性在太阳不同区域、太阳活动周不同阶段的分布以及形成机制等研究中发挥重要作用.
基于子午工程观测数据的地磁超低频波数据集
方少峰, 任杰, 邹自明
2025, 45(6): 1665-1672. doi: 10.11728/cjss2025.06.2025-0084
摘要:
子午工程作为中国重要的空间环境监测基础设施, 在空间物理研究中意义重大, 尤其为超低频(ULF)波观测提供了关键支撑. 本研究基于2011-2021年子午工程多站点磁通门磁力仪采集的地磁场水平分量(H)与磁偏角分量(D)秒采样数据, 经数据清洗、降噪预处理后, 结合时频分析(Morlet小波变换)与统计方法, 构建了高质量、长时序的地磁超低频波数据集. 数据集覆盖高、中、低纬五个台站, 包含Pc3~Pc5 规则脉动事件标注及原始序列, 以jsonl格式存储, 支持主流科研软件读取. 该数据集填补区域观测空白, 为磁层波动、空间天气建模等研究提供了基础数据, 助力提升中国空间环境监测能力, 可用于ULF波自动识别及耦合机制研究.