留言板

尊敬的读者、作者、审稿人, 关于本刊的投稿、审稿、编辑和出版的任何问题, 您可以本页添加留言。我们将尽快给您答复。谢谢您的支持!

姓名
邮箱
手机号码
标题
留言内容
验证码

太阳光球层小尺度涡流机器识别标准数据集

谢权 刘佳佳

谢权, 刘佳佳. 太阳光球层小尺度涡流机器识别标准数据集[J]. 空间科学学报, 2025, 45(6): 1656-1664. doi: 10.11728/cjss2025.06.2025-0087
引用本文: 谢权, 刘佳佳. 太阳光球层小尺度涡流机器识别标准数据集[J]. 空间科学学报, 2025, 45(6): 1656-1664. doi: 10.11728/cjss2025.06.2025-0087
XIE Quan, LIU Jiajia. Standard Dataset for Machine Detection of Small-scale Swirls in the Solar Photosphere (in Chinese). Chinese Journal of Space Science, 2025, 45(6): 1656-1664 doi: 10.11728/cjss2025.06.2025-0087
Citation: XIE Quan, LIU Jiajia. Standard Dataset for Machine Detection of Small-scale Swirls in the Solar Photosphere (in Chinese). Chinese Journal of Space Science, 2025, 45(6): 1656-1664 doi: 10.11728/cjss2025.06.2025-0087

太阳光球层小尺度涡流机器识别标准数据集

doi: 10.11728/cjss2025.06.2025-0087 cstr: 32142.14.cjss.2025-0087
详细信息
    作者简介:
    • 谢权 男, 2002年8月出生于湖北省鄂州市, 现为中国科学技术大学地球和空间科学学院在读博士研究生, 主要研究方向为太阳小尺度涡流识别、数据分析以及检测方法改进. E-mail: xq30@mail.ustc.edu.cn
    通讯作者:
    • 刘佳佳 男, 1988年12月出生于安徽省淮北市, 现为中国科学技术大学地球和空间科学学院教授, 主要研究方向为太阳多尺度爆发活动的原理及其空间天气和行星环境效应. E-mail: jiajialiu@ustc.edu.cn
  • 中图分类号: P353

Standard Dataset for Machine Detection of Small-scale Swirls in the Solar Photosphere

  • 摘要: 位于宁静区的小尺度光球涡流通常被认为是米粒等离子体流动自然形成的, 并且其可能在向太阳高层大气输送能量的过程中发挥关键作用. 然而通过人为识别获取到的小尺度涡流参数存在很大的局限性和误差, 可能会导致对小尺度涡流总数的低估. SST (Swedish 1-meter Solar Telescope) 和 Hinode/SOT (Solar Optical Telescope) 望远镜对太阳光球层实现高时空分辨率、高质量的观测, 给光球层小尺度涡流的研究提供了充足的数据支持. 研究改进了太阳小尺度涡流机器识别及关键参数提取算法并形成了相应工具软件.本数据集包含2007年SOT望远镜观测的一块宁静区光球层区域(像元大小为39.2 km, 时间间隔约为6.4 s), 以及2012年SST望远镜观测的一块宁静区光球层区域(像元大小为43.6 km, 时间间隔为8.25 s). 本数据集可在涡流相关特性在太阳不同区域、太阳活动周不同阶段的分布以及形成机制等研究中发挥重要作用.

     

  • 图  1  SOT主望远镜OTA组件结构布局[5]

    Figure  1.  Structural layout of the OTA components of the SOT main telescope[5]

    图  2  SST观测塔结构剖面 [7]

    Figure  2.  Structure of SST observation tower [7]

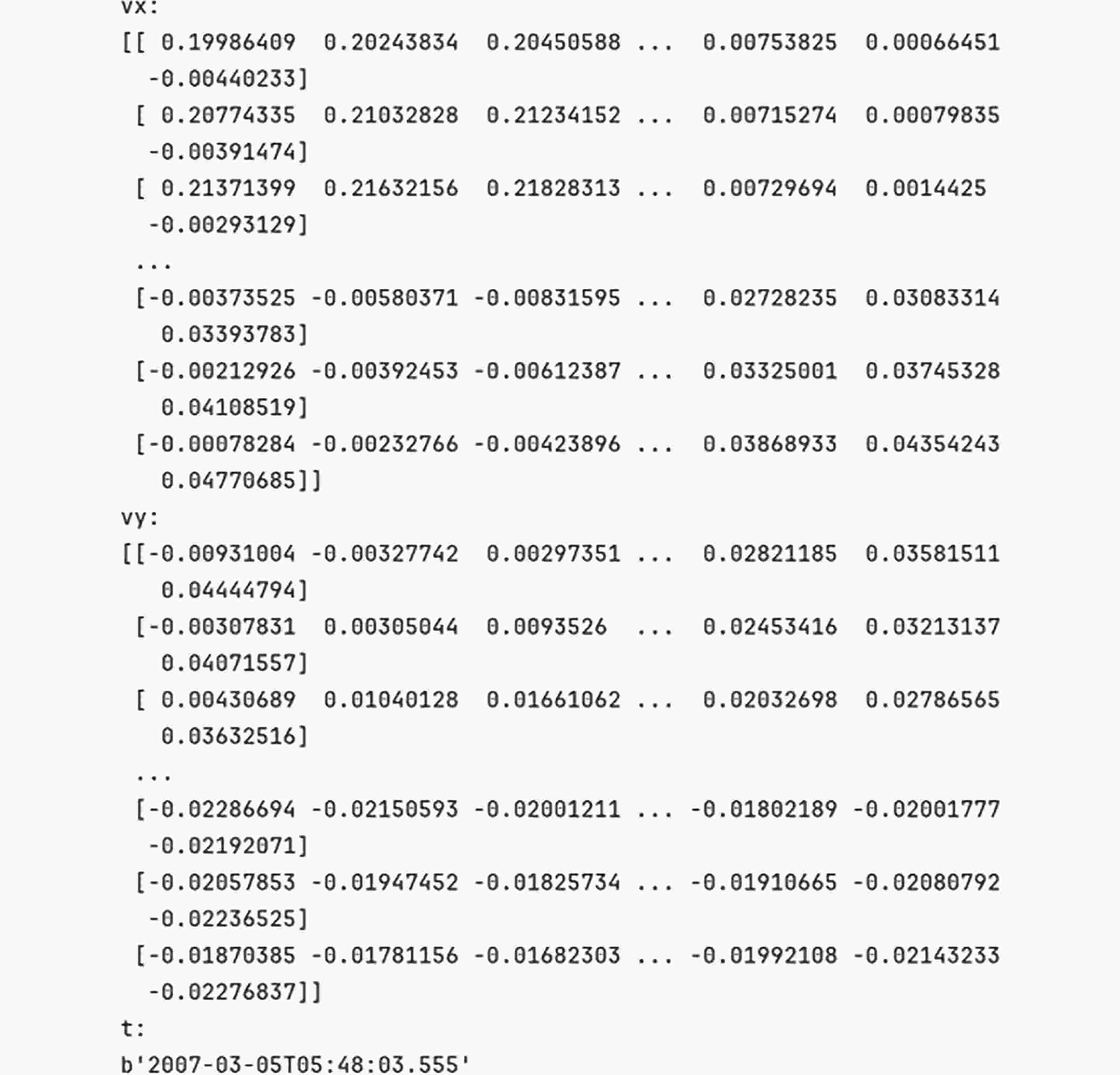
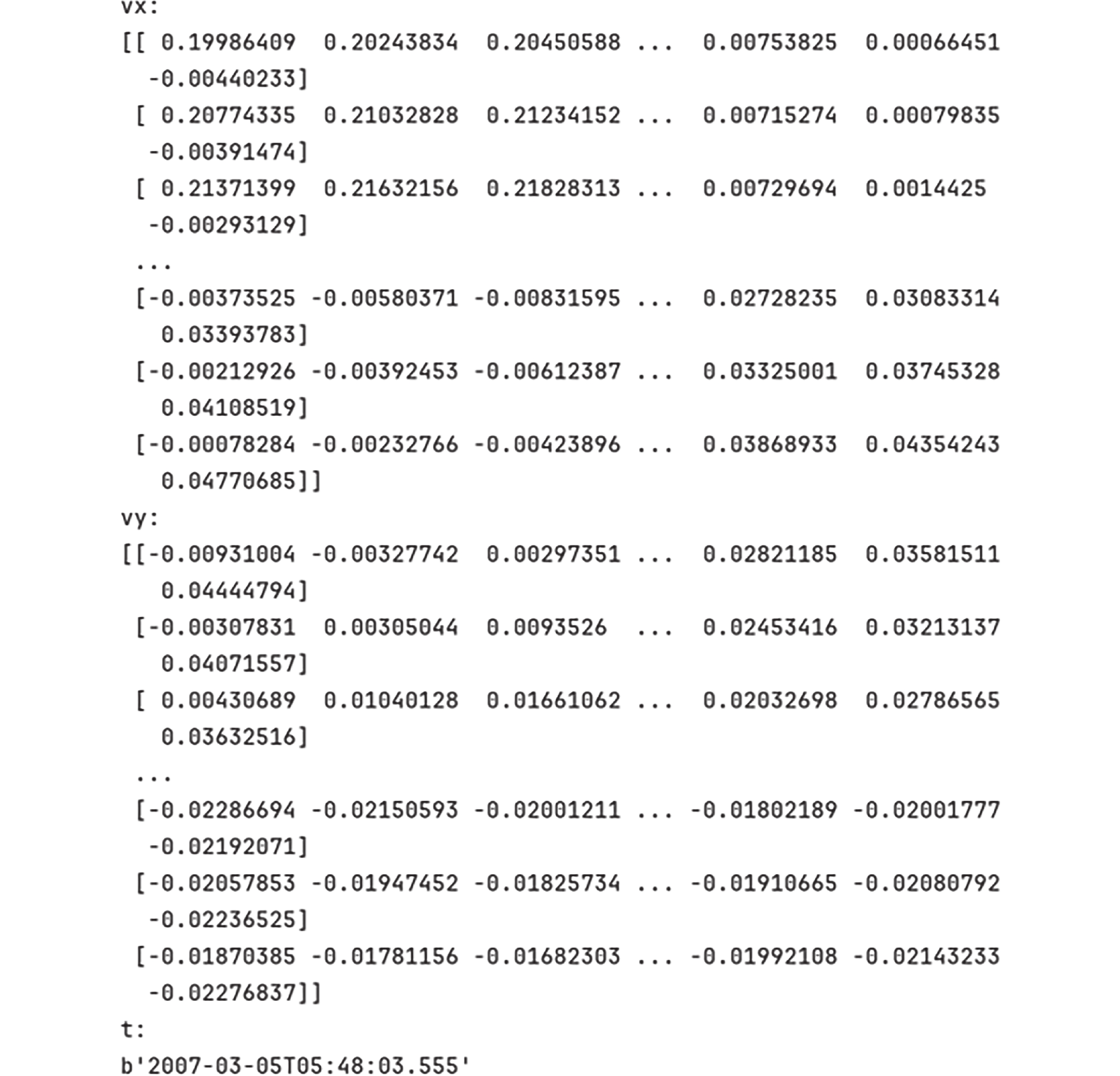
    图  3  数据集速度场文件样例

    Figure  3.  Example of a velocity field file dataset product

    图  4  数据集涡流位置分布样例. 图像中心对应于太阳日面位置xc=5.3″, yc=4.1″. 整个视场区域对应日面区域x =[–22.7″, 33.3″], y =[–9.9″, 15.1″]

    Figure  4.  Example showing the distribution of vortex positions. The image center is located at (xc=5.3″, yc=4.1″) on the solar disk, and the field of view covers the region x =[–22.7″, 33.3″], y =[–9.9″, 15.1″]

    图  5  数据集涡流信息文件样例

    Figure  5.  Example of a vortex information file from the dataset

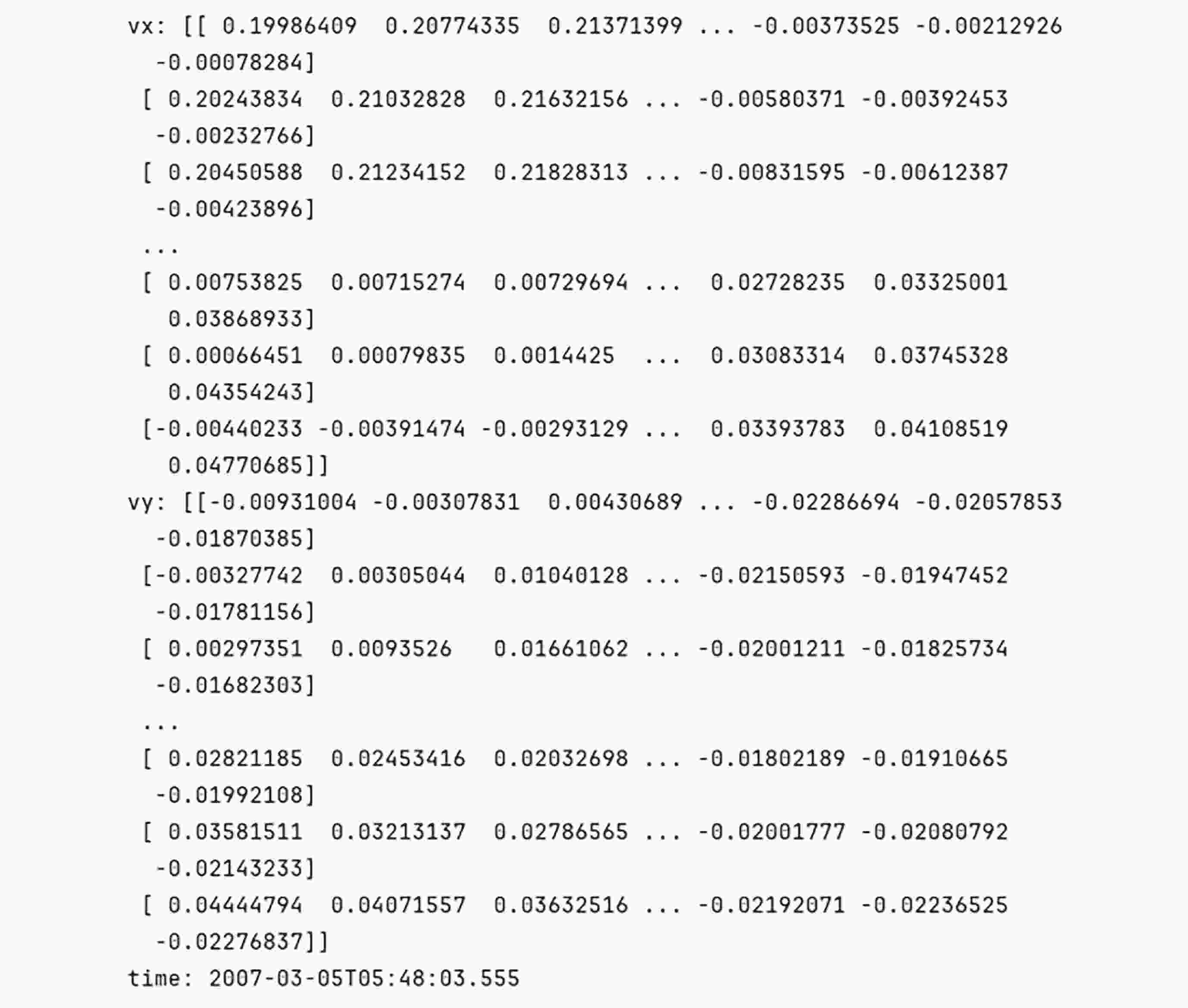
    图  6  数据集速度场文件velocity.npz样例

    Figure  6.  Example of the dataset velocity field file velocity.npz

    图  7  数据集涡流信息文件vortex.npz样例

    Figure  7.  Example of the dataset vortex information file vortex.npz

    表    数据集基本信息

    数据集名称  太阳光球层小尺度涡流机器识别标准数据集
    数据通信作者  刘佳佳 (jiajialiu@ustc.edu.cn)
    数据作者  谢权, 刘佳佳
    数据时间范围  2007年3月5日至2012年6月21日
    地理区域  SOT: 太空望远镜, 搭载在Hinode卫星上. SST: 地面望远镜, 西班牙加那利群岛拉帕尔马岛洛斯穆查乔斯山天文台 (28.45ºN, 17.52ºW)
    空间分辨率  像元大小的两倍: 78.4 km (SOT), 87.2 km (SST)
    数据量  18.0 GByte
    数据格式  *.sav, *.npz, *.png, *.txt
    数据库(集)访问网址  DOI: https://doi.org/10.12176/01.01.00115-V01
     CSTR: https://cstr.cn/14804.11.01.01.00115-V01
    基金项目  国家重点研发计划项目 (2022YFF0711402)
    数据集组成  数据集共包括11628个数据文件, 其中SOT文件夹为SOT数据, 包含2007年1514帧太阳光球层水平速度场数据, 以及对应机器识别的涡流信息, 数据量12.4 GByte, SST文件夹为SST数据, 包含2012年424帧太阳光球层水平速度场数据及对应机器识别的涡流信息, 数据量5.6 GByte
    下载: 导出CSV

    Table  .   Dataset profile

    Title  Standard Dataset for Machine Detection of Small-scale Swirls in the Solar Photosphere
    Data Corresponding Author  LIU Jiajia (jiajialiu@ustc.edu.cn)
    Data Authors  XIE Quan, LIU Jiajia
    Time Range  5 March 2007 to 21 June 2012
    Geographical Scope  SOT is a space-based instrument onboard the Hinode spacecraft; while SST is a ground-based instrument located at the Roque de los Muchachos Observatory, La Palma, Canary Islands, Spain (28.45ºN, 17.52ºW)
    Spatial Resolution  Twice of the pixel sizes: 78.4 km (SOT), 87.2 km (SST)
    Data Volume  18.0 GByte
    Data Format  *.sav, *.npz, *.png, *.txt
    Database/Dataset URL  DOI: https://doi.org/10.12176/01.01.00115-V01
     CSTR: https://cstr.cn/14804.11.01.01.00115-V01
    Foundation Item  National Key R&D Program of China (2022YFF0711402)
    Dataset Composition  The dataset contains a total of 11628 data files, including:
     The SOT folder, which contains 1514 frames of SOT photospheric
    horizontal velocity fields in 2007 and the corresponding machine-detected swirl information, with a total data volume of 12.4 GByte;
     The SST folder, which contains 424 frames of SST photospheric horizontal velocity fields in 2012 and the corresponding machine-detected swirl information, with a total data volume of 5.6 GByte
    下载: 导出CSV
  • [1] WEDEMEYER-BÖHM S, SCULLION E, STEINER O, et al. Magnetic tornadoes as energy channels into the solar corona[J]. Nature, 2012, 486(7404): 505-508 doi: 10.1038/nature11202
    [2] WANG Y, NOYES R W, TARBELL T D, et al. Vorticity and divergence in the solar photosphere[J]. The Astrophysical Journal, 1995, 447: 419 doi: 10.1086/175886
    [3] LIU J, NELSON C J, SNOW B, et al. Evidence of ubiquitous Alfvén pulses transporting energy from the photosphere to the upper chromosphere[J]. Nature Communications, 2019, 10(1): 3504 doi: 10.1038/s41467-019-11495-0
    [4] LIU J, JESS D, ERDÉLYI R, et al. Five-minute oscillations of photospheric and chromospheric swirls[J]. Astronomy :Times New Roman;">& Astrophysics, 2023, 674: A142 doi: 10.1051/0004-6361/202245373
    [5] SUEMATSU Y, TSUNETA S, ICHIMOTO K, et al. The solar optical telescope of solar-B (Hinode): The Optical Telescope Assembly[J]. Solar Physics, 2008, 249(2): 197-220 doi: 10.1007/s11207-008-9129-4
    [6] KOSUGI T, MATSUZAKI K, SAKAO T, et al. The Hinode (solar-B) mission: an overview[J]. Solar Physics, 2007, 243(1): 3-17 doi: 10.1007/s11207-007-9014-6
    [7] SCHARMER G B, BJELKSJO K, KORHONEN T K, et al. The 1-meter Swedish solar telescope[C]//Proceedings of SPIE 4853, Innovative Telescopes and Instrumentation for Solar Astrophysics. Waikoloa: SPIE, 2003: 341-350. DOI: 10.1117/12.460377
    [8] WELSCH B T, FISHER G H, ABBETT W P, et al. ILCT: recovering photospheric velocities from magnetograms by combining the induction equation with local correlation tracking[J]. The Astrophysical Journal, 2004, 610(2): 1148-1156 doi: 10.1086/421767
    [9] FISHER G H, WELSCH B T. FLCT: a fast, efficient method for performing local correlation tracking[C]//Subsurface and Atmospheric Influences on Solar Activity. San Francisco: Astronomical Society of the Pacific, 2008: 373-380
    [10] GRAFTIEAUX L, MICHARD M, GROSJEAN N. Combining PIV, POD and vortex identification algorithms for the study of unsteady turbulent swirling flows[J]. Measurement Science and Technology, 2001, 12(9): 1422-1429 doi: 10.1088/0957-0233/12/9/307
    [11] XIE Q, LIU J, ERDÉLYI R, et al. Improving the Γ-functions method for vortex identification[J]. Astronomy :Times New Roman;">& Astrophysics, 2025, 700: A6 doi: 10.1051/0004-6361/202554524
    [12] XIE Q, LIU J, ERDÉLYI R, et al. Photospheric swirls in a quiet-sun region[J]. The Astrophysical Journal, 2025, 979(1): 27 doi: 10.3847/1538-4357/ad99d4
  • 加载中
图(7) / 表(2)
计量
  • 文章访问数:  908
  • HTML全文浏览量:  446
  • PDF下载量:  61
  • 被引次数: 

    0(来源:Crossref)

    0(来源:其他)

出版历程
  • 收稿日期:  2025-06-02
  • 修回日期:  2025-09-24
  • 网络出版日期:  2025-09-26

目录

    /

    返回文章
    返回