Volume 45 Issue 6
Dec.  2025
Turn off MathJax
Article Contents
FENG Xiaoming, MA Xiang, ZHANG Yonghai, WANG Shuai, LI Bin. Research on Heat Dissipation of Split Diamond/Copper Microchannels (in Chinese). Chinese Journal of Space Science, 2025, 45(6): 1588-1596 doi: 10.11728/cjss2025.06.2024-0184
Citation: FENG Xiaoming, MA Xiang, ZHANG Yonghai, WANG Shuai, LI Bin. Research on Heat Dissipation of Split Diamond/Copper Microchannels (in Chinese). Chinese Journal of Space Science, 2025, 45(6): 1588-1596 doi: 10.11728/cjss2025.06.2024-0184

Research on Heat Dissipation of Split Diamond/Copper Microchannels

doi: 10.11728/cjss2025.06.2024-0184 cstr: 32142.14.cjss.2024-0184
  • Received Date: 2024-12-13
  • Rev Recd Date: 2025-02-28
  • Available Online: 2025-03-11
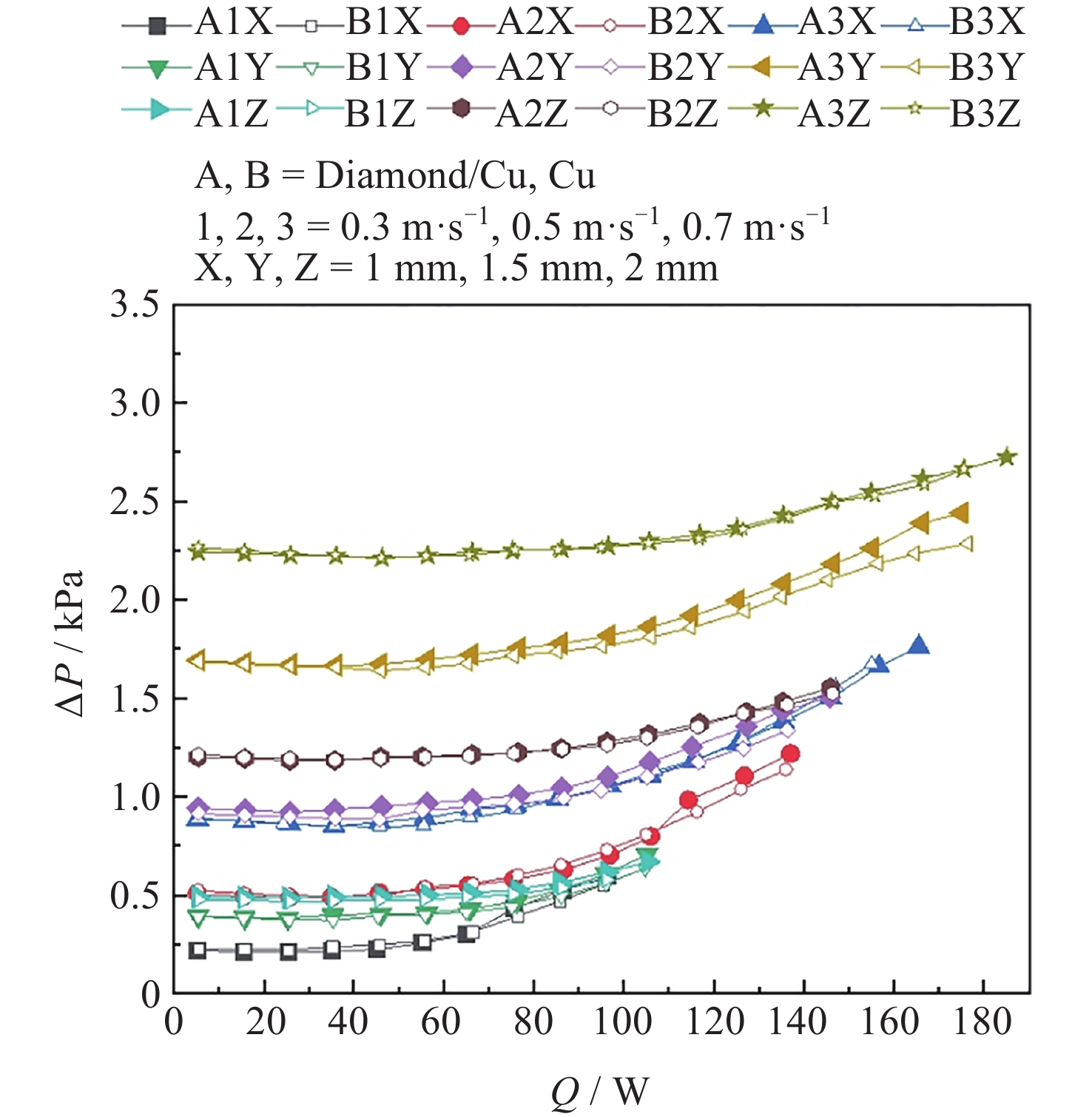
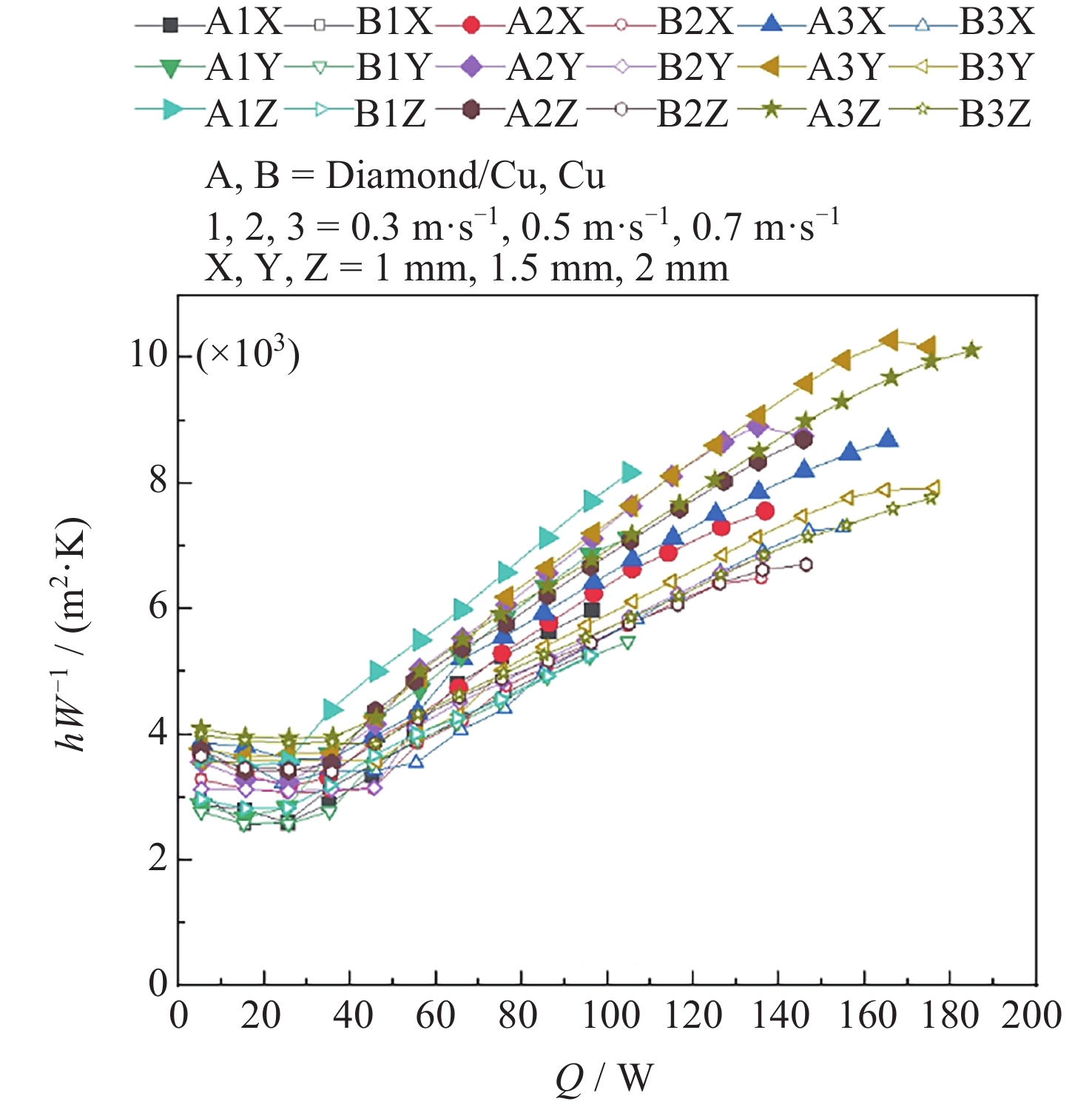
  • With the development of aerospace technology, the intelligence level of spacecraft is increasing day by day. The increasing demand for chip computing power leads to a significant increase in its heat flux density, and the life and reliability of related electronic devices are facing severe heat dissipation challenges. The combination of microchannel heat dissipation technology and high thermal conductivity diamond/copper composites provides an effective way to solve the heat dissipation challenges of spacecraft. In view of the poor machinability of diamond/copper composites, a split diamond/copper composite microchannel heat dissipation system is designed in this paper and compared with a pure copper microchannel system. The heat transfer characteristics of the two microchannel systems at different flow rates (0.3, 0.5, 0.7 m·s–1) and rib heights (1, 1.5, 2 mm) were investigated using HFE-7100 as the heat transfer medium. When the flow rate is 0.7 m·s–1, the chip surface temperatures of diamond/copper microchannels at the critical power are lower than those of pure copper microchannels by 12℃, 19℃, and 19.6℃, respectively, with the increase of rib height. The heat transfer coefficients were maximally enhanced by 27.8%, 30.1%, and 28.1% at the three rib heights, respectively, showing the heat dissipation advantages of the diamond/copper composite microchannels. The better heat transfer performance of the diamond/copper composite microchannel system is mainly due to its higher thermal conductivity and surface roughness. The pressure drop between the inlet and outlet of the two microchannel systems is basically the same in the single-phase flow section, and the difference gradually becomes apparent when entering nucleate boiling. At critical power, the pressure drop of the diamond/copper microchannel system is slightly higher than that of the pure copper microchannel system, with a maximum increase of 11.8%. The reason for the higher pressure drop in the diamond/copper microchannel system is that the turbulence level of the working fluid is higher in the diamond/copper microchannel system.

     

  • loading
  • [1]
    BELHARDJ S, MIMOUNI S, SAIDANE A, et al. Using microchannels to cool microprocessors: a transmission-line-matrix study[J]. Microelectronics Journal, 2003, 34(4): 247-253 doi: 10.1016/S0026-2692(03)00004-1
    [2]
    TUCKERMAN D B, PEASE R F W. High-performance heat sinking for VLSI[J]. IEEE Electron Device Letters, 1981, 2(5): 126-129 doi: 10.1109/EDL.1981.25367
    [3]
    BLOSCHOCK K P, BAR-COHEN A. Advanced thermal management technologies for defense electronics[C]//Proceedings of SPIE 8405, Defense Transformation and Net-Centric Systems. Baltimore: SPIE, 2012
    [4]
    YU X G, XU K, MIAO J Y, et al. Design and on-board validation of pumped two-phase fluid loop for high heat flux removal[J]. Journal of Astronautics, 2017, 38(2): 192-197
    [5]
    ALAM T, LI W M, CHANG W, et al. Favourably regulating two-phase flow regime of flow boiling HFE-7100 in microchannels using silicon nanowires[J]. Scientific Reports, 2021, 11(1): 11131 doi: 10.1038/s41598-021-89466-z
    [6]
    WANG H T, CHEN Z H, GAO J G. Influence of geometric parameters on flow and heat transfer performance of micro-channel heat sinks[J]. Applied Thermal Engineering, 2016, 107: 870-879 doi: 10.1016/j.applthermaleng.2016.07.039
    [7]
    JING D L, HE L. Numerical studies on the hydraulic and thermal performances of microchannels with different cross-sectional shapes[J]. International Journal of Heat and Mass Transfer, 2019, 143: 118604 doi: 10.1016/j.ijheatmasstransfer.2019.118604
    [8]
    QU W L, MALA G M, LI D Q. Pressure-driven water flows in trapezoidal silicon microchannels[J]. International Journal of Heat and Mass Transfer, 2000, 43(3): 353-364 doi: 10.1016/S0017-9310(99)00148-9
    [9]
    HUNG T C, YAN W M, WANG X D, et al. Optimal design of geometric parameters of double-layered microchannel heat sinks[J]. International Journal of Heat and Mass Transfer, 2012, 55(11/12): 3262-3272
    [10]
    BOTELER L, JANKOWSKI N, MCCLUSKEY P, et al. Numerical investigation and sensitivity analysis of manifold microchannel coolers[J]. International Journal of Heat and Mass Transfer, 2012, 55(25/26): 7698-7708
    [11]
    DE LOSIER C R, SUBRAMANIAN S, PONYAVIN V, et al. The parametric study of an innovative offset strip-fin heat exchanger[J]. Journal of Heat Transfer, 2007, 129(10): 1453-1458 doi: 10.1115/1.2755068
    [12]
    LEE P S, GARIMELLA S V. Saturated flow boiling heat transfer and pressure drop in silicon microchannel arrays[J]. International Journal of Heat and Mass Transfer, 2008, 51(3/4): 789-806
    [13]
    TRAN N, ZHANG C P, DANG T, et al. Numerical and experimental studies on pressure drop and performance index of an aluminum microchannel heat sink[C]//Proceedings of the 2012 International Symposium on Computer, Consumer and Control. Taichung, China: IEEE, 2012
    [14]
    SINGH R, AKBARZADEH A, MOCHIZUKI M, et al. Thermal characterization of copper microchannel heat sink for power electronics cooling[J]. Journal of Thermophysics and Heat Transfer, 2009, 23(2): 371-380 doi: 10.2514/1.40033
    [15]
    MOLINA J M, NARCISO J, WEBER L, et al. Thermal conductivity of Al–SiC composites with monomodal and bimodal particle size distribution[J]. Materials Science and Engineering: A, 2008, 480(1/2): 483-488
    [16]
    ZWEBEN C. Advanced materials for optoelectronic packaging[J]. Semiconductor International, 2002, 25(10): S5-S6,S8
    [17]
    BAI G Z, ZHANG Y J, DAI J J, et al. Tunable coefficient of thermal expansion of Cu-B/diamond composites prepared by gas pressure infiltration[J]. Journal of Alloys and Compounds, 2019, 794: 473-481 doi: 10.1016/j.jallcom.2019.04.252
    [18]
    JIA J H, BAI S X, XIONG D G, et al. Effect of tungsten based coating characteristics on microstructure and thermal conductivity of diamond/Cu composites prepared by pressueless infiltration[J]. Ceramics International, 2019, 45(8): 10810-10818 doi: 10.1016/j.ceramint.2019.02.156
    [19]
    ABYZOV A M, KIDALOV S V, SHAKHOV F M. High thermal conductivity composites consisting of diamond filler with tungsten coating and copper (silver) matrix[J]. Journal of Materials Science, 2011, 46(5): 1424-1438 doi: 10.1007/s10853-010-4938-x
    [20]
    MAŃKOWSKI P, DOMINIAK A, DOMAŃSKI R, et al. Thermal conductivity enhancement of copper-diamond composites by sintering with chromium additive[J]. Journal of Thermal Analysis and Calorimetry, 2014, 116(2): 881-885 doi: 10.1007/s10973-013-3604-3
    [21]
    HUANG S H, GUO H, ZHANG Z, et al. Comparative study on the properties and microscopic mechanism of Ti coating and W coating diamond-copper composites[J]. Materials Research Express, 2020, 7(7): 076517 doi: 10.1088/2053-1591/aba55d
    [22]
    HU H B, KONG J. Improved thermal performance of diamond-copper composites with boron carbide coating[J]. Journal of Materials Engineering and Performance, 2014, 23(2): 651-657 doi: 10.1007/s11665-013-0780-z
    [23]
    LIU R X, LUO G Q, LI Y, et al. Microstructure and thermal properties of diamond/copper composites with Mo2C in-situ nano-coating[J]. Surface and Coatings Technology, 2019, 360: 376-381 doi: 10.1016/j.surfcoat.2018.12.116
    [24]
    HASSELMAN D P H, JOHNSON L F. Effective thermal conductivity of composites with interfacial thermal barrier resistance[J]. Journal of Composite Materials, 1987, 21(6): 508-515 doi: 10.1177/002199838702100602
    [25]
    YANG L, SUN L, BAI W W, et al. Thermal conductivity of Cu-Ti/diamond composites via spark plasma sintering[J]. Diamond and Related Materials, 2019, 94: 37-42 doi: 10.1016/j.diamond.2019.02.014
    [26]
    WANG L H, LI J W, BAI G Z, et al. Interfacial structure evolution and thermal conductivity of Cu-Zr/diamond composites prepared by gas pressure infiltration[J]. Journal of Alloys and Compounds, 2019, 781: 800-809 doi: 10.1016/j.jallcom.2018.12.053
    [27]
    SANG J Q, YUAN Y, YANG W L, et al. Exploring the underlying causes of optimizing thermal conductivity of copper/diamond composites by interface thickness[J]. Journal of Alloys and Compounds, 2022, 891: 161777 doi: 10.1016/j.jallcom.2021.161777
    [28]
    MOFFAT R J. Describing the uncertainties in experimental results[J]. Experimental Thermal and Fluid Science, 1988, 1(1): 3-17 doi: 10.1016/0894-1777(88)90043-X
  • 加载中

Catalog

    通讯作者: 陈斌, bchen63@163.com
    • 1. 

      沈阳化工大学材料科学与工程学院 沈阳 110142

    1. 本站搜索
    2. 百度学术搜索
    3. 万方数据库搜索
    4. CNKI搜索

    Figures(6)  / Tables(4)

    Article Metrics

    Article Views(728) PDF Downloads(39) Cited by()
    Proportional views
    Related

    /

    DownLoad:  Full-Size Img  PowerPoint
    Return
    Return