Turn off MathJax
Article Contents
ZHAO Junjie, JIANG Yong, WU Fuzhang. Research on the Electromagnetic Locking Device Design for Aerial Towed System Probe Docking (in Chinese). Chinese Journal of Space Science, 2025, 45(6): 1-7 doi: 10.11728/cjss2025.06.2024-0196
Citation: ZHAO Junjie, JIANG Yong, WU Fuzhang. Research on the Electromagnetic Locking Device Design for Aerial Towed System Probe Docking (in Chinese). Chinese Journal of Space Science, 2025, 45(6): 1-7 doi: 10.11728/cjss2025.06.2024-0196

Research on the Electromagnetic Locking Device Design for Aerial Towed System Probe Docking

doi: 10.11728/cjss2025.06.2024-0196 cstr: 32142.14.cjss.2024-0196
  • Received Date: 2024-12-25
  • Rev Recd Date: 2025-06-23
  • Available Online: 2025-07-02
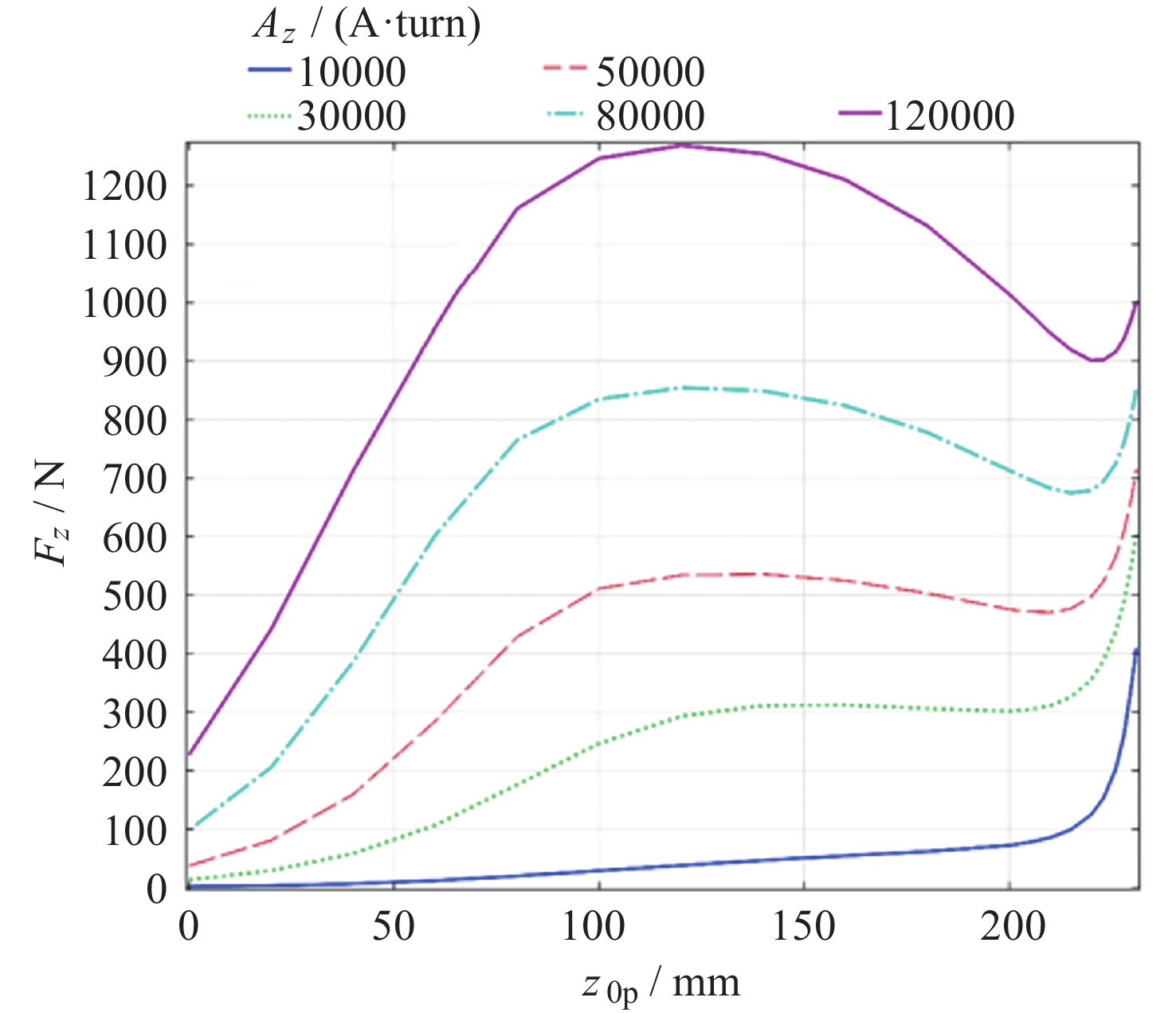
  • The aerial towing system consists of a towing aircraft platform, a cable, and a towed body. It can perform tasks such as material transportation and load recovery, significantly expanding the scope of aerial operation space. During the connection process between the towed body and the towing aircraft platform, the towed body faces difficulties in connection due to the interference from the wake flow field of the towing aircraft platform and the influence of airflow on the flexible cable. Therefore, a detailed study on the docking method is required. The research object is the aerial towed system probe docking. An electromagnetic locking device is designed. The electromagnetic locking principle of rapid locking and emergency release is given. By establishing the finite element model considering the docking process, the response data of the electromagnetic docking mechanism is obtained considering the electromagnetic force as a variable. When the capacitor is used for power supply, the maximum electromagnetic force can reach more than 1000 N under the condition of 2 mm×15 mm wire gauge when the capacitor is above 0.5 F. This docking electromagnetic locking device in this paper provides a new idea for the air docking design.

     

  • loading
  • [1]
    苏子康, 陈海通, 徐忠楠. 空中拖曳系统建模与控制技术研究进展[J]. 飞航导弹, 2021(7): 31-40

    SU Zikang, CHEN Haitong, XU Zhongnan. Research progress on modeling and control technology of aerial towing system[J]. Aerodynamic Missile Journal, 2021(7): 31-40
    [2]
    HUYNH H T, MONTALVO C J. Dynamics of a multi-purpose lightweight towed system[C]//AIAA Atmospheric Flight Mechanics Conference. Denver, Colorado: AIAA, 2017.
    [3]
    王宏伦, 王延祥, 刘一恒. 基于轨迹映射的无人机拖曳式空中回收轨迹优化[J]. 航空学报, 2023, 44(20): 1-17

    WANG Honglun, WANG Yanxiang, LIU Yiheng. Recovery trajectory optimization for UAV towed aerial recovery based on trajectory mapping[J]. Acta Aeronautica et Astronautica Sinica, 2023, 44(20): 1-17
    [4]
    HOCHSTETLER R D, BOSMA J, CHACHAD G, et al. Lighter-than-air (LTA)“Airstation”-unmanned aircraft system (UAS) carrier concept[C]//proceedings of the 16th AIAA Aviation Technology, Integration, and Operations Conference. Washington, DC: AIAA, 2016: 4223.
    [5]
    闫留浩, 袁锁中. 无人机空中回收视觉导航技术[J]. 兵工自动化, 2022, 41(12): 56-60.

    YAN Liuhao, YUAN Suozhong. Vision navigation technology for UAV aerial recovery[J]. Ordnance Industry Automation, 2022, 41(12): 56-60
    [6]
    赵航, 廖鹏, 姚磊江. 基于计算流体力学的空中回收锥套气动特性分析[J]. 科学技术与工程, 2020, 20(4): 1684-1689

    ZHAO Hang, LIAO Peng, YAO Leijiang. Analysis of aerodynamic characteristics of drogues for air recycling based on computational fluid dynamics[J]. Science Technology and Engineering, 2020, 20(4): 1684-1689
    [7]
    陈海通, 苏子康, 李春涛, 李雪兵, 孟冲, 张朋. 空基回收拖曳系统直线-盘旋转接段运动轨迹设计[J]. 北京航空航天大学学报, 2024, 50(8): 2565-2574

    CHEN Haitong, SU Zikang, LI Chuntao, et al. Trajectory design for straight-circulating flight transition of aerial recovery towing system[J]. Journal of Beijing University of Aeronautics and Astronautics, 2024, 50(8): 2565-2574
    [8]
    楼雨涵, 解志坚, 杨臻, 等. 空间对接电磁锁紧机构研究[J]. 兵器装备工程学报, 2020, 41(12): 113-117,148

    LOU Yuhan, XIE Zhijian, YANG Zhen, et al. Research on space docking electromagnetic locking mechanism[J]. Journal of Ordnance Equipment Engineering, 2020, 41(12): 113-117,148
    [9]
    黄奕勇, 李强, 陈小前, 等. 自主在轨服务航天器空间对接过程建模与仿真[J]. 计算机仿真, 2011, 28(10): 57-60,106

    HUANG Yiyong, LI Qiang, CHEN Xiaoqian, et al. Modeling and simulating of independent on- orbit servicing spacecrafts' docking process[J]. Computer Simulation, 2011, 28(10): 57-60,106
    [10]
    王昊东, 杨臻, 武国梁. 基于ADAMS的卫星对接机构球锁装置动力学分析[J]. 兵器装备工程学报, 2019, 40(10): 45-49

    WANG Haodong, YANG Zhen, WU Guoliang. Dynamic analysis of ball locking device of satellite docking mechanism based on ADAMS[J]. Journal of Ordnance Equipment Engineering, 2019, 40(10): 45-49
    [11]
    杨泽川, 罗汝斌, 廖鹤, 等. 空间重复锁紧技术综述[J]. 航天返回与遥感, 2019, 40(4): 10-21

    YANG Zechuan, LUO Rubin, LIAO He, et al. Overview of Reusable Locking Technology in Space[J]. Spacecraft Recovery :Times New Roman;">& Remote Sensing, 2019, 40(4): 10-21
  • 加载中

Catalog

    通讯作者: 陈斌, bchen63@163.com
    • 1. 

      沈阳化工大学材料科学与工程学院 沈阳 110142

    1. 本站搜索
    2. 百度学术搜索
    3. 万方数据库搜索
    4. CNKI搜索

    Figures(11)  / Tables(1)

    Article Metrics

    Article Views(301) PDF Downloads(15) Cited by()
    Proportional views
    Related

    /

    DownLoad:  Full-Size Img  PowerPoint
    Return
    Return