Volume 45 Issue 5
Oct.  2025
Turn off MathJax
Article Contents
ZHU Jiahao, YAN Wenlin, JIN Yufeng, YAN Taiming, WANG Jian. Comparative Analysis of Four Neural Network Methods for TEC Modeling during Ionospheric Magnetic Storms (in Chinese). Chinese Journal of Space Science, 2025, 45(5): 1230-1242 doi: 10.11728/cjss2025.05.2024-0087
Citation: ZHU Jiahao, YAN Wenlin, JIN Yufeng, YAN Taiming, WANG Jian. Comparative Analysis of Four Neural Network Methods for TEC Modeling during Ionospheric Magnetic Storms (in Chinese). Chinese Journal of Space Science, 2025, 45(5): 1230-1242 doi: 10.11728/cjss2025.05.2024-0087

Comparative Analysis of Four Neural Network Methods for TEC Modeling during Ionospheric Magnetic Storms

doi: 10.11728/cjss2025.05.2024-0087 cstr: 32142.14.cjss.2024-0087
  • Received Date: 2024-07-04
  • Rev Recd Date: 2024-12-16
  • Available Online: 2024-12-17
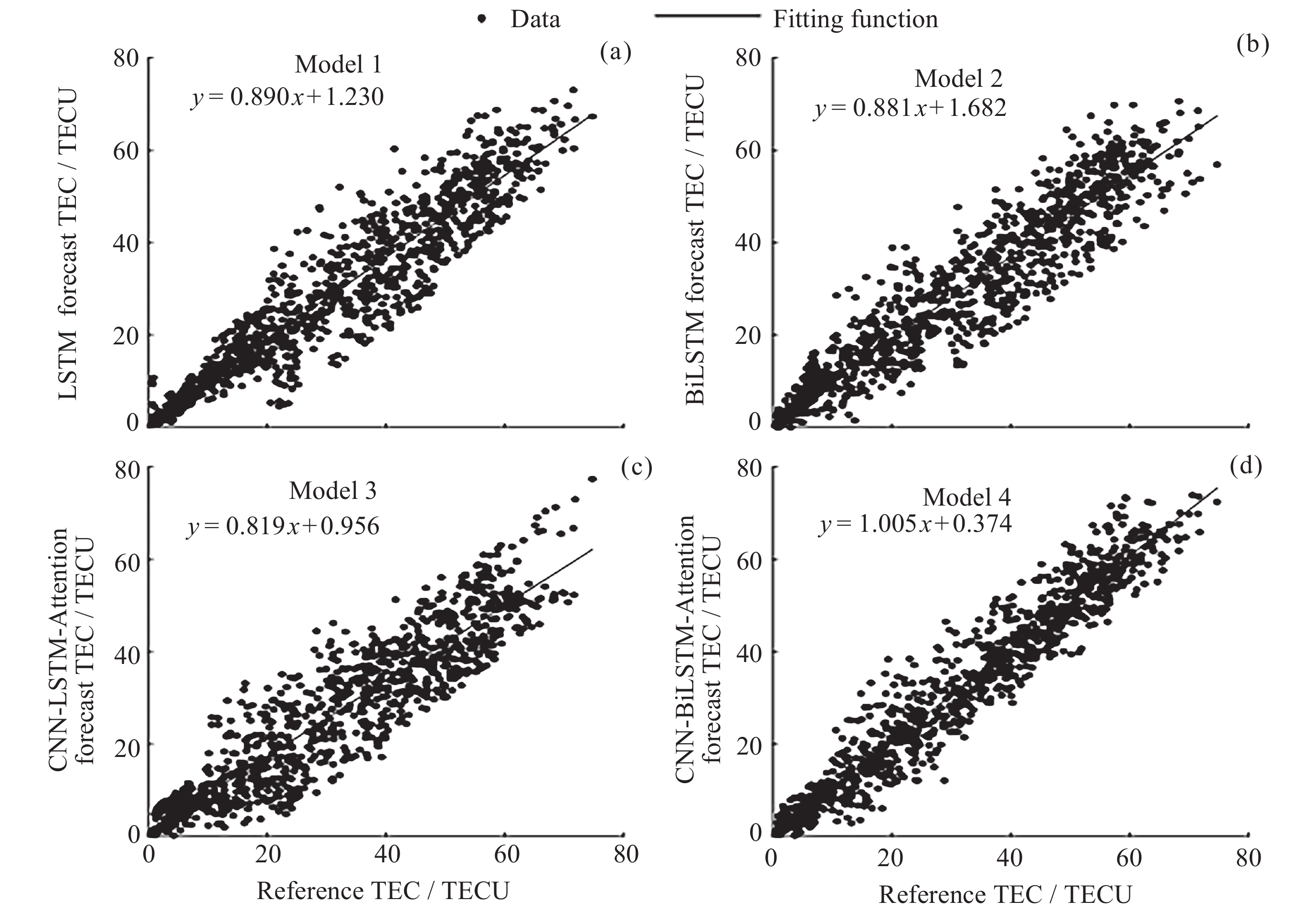
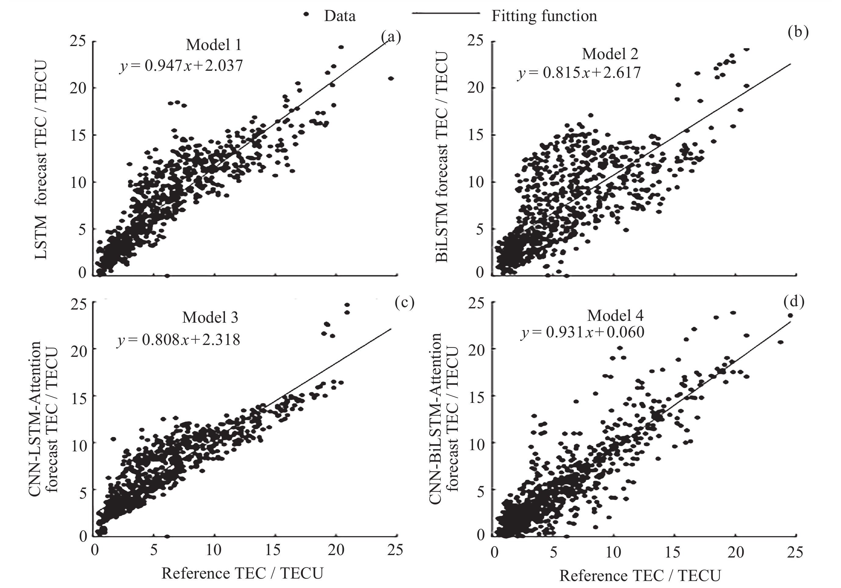
  • The Total Electron Content (TEC) of the ionosphere is an important parameter for describing the ionosphere activities, and much research has been done for the accurate methods for the ionospheric TEC prediction. However, the prediction accuracy of ionospheric empirical models for TEC during geomagnetic storms is still not ideal. To address this issue, this paper aims to assess the performance of ionospheric TEC predicting methods, which involve the LSTM, the BiLSTM, the Convolutional Neural Network-Long Short-Term Memory combined with Attention mechanism (CNN-LSTM-Attention), and the Convolutional Neural Network-Bidirectional Long Short-Term Memory combined with Attention mechanism (CNN-BiLSTM-Attention). At first, the geomagnetic storm periods are identified by comparing with the threshold of Dst index (≤–30 nT), during the years from 2004 to 2022. Then, four neural network models for the ionospheric TEC prediction are formed, through the combinations of multiple spatiotemporal parameters, such as UTS, UTC, SA, AA, CHS, and SHS. Finally, the accuracy and reliability of the four neural network models are assessed using the reference TEC dataset collected during geomagnetic storms in 2023, and three statistical index, Mean Absolute Error (MAE), The Root Mean Square Error (RMSE), and coefficient of determination R2, are utilized. The results show that, the performance of the CNN-BiLSTM-Attention model is superior to the other three models, with MAE ranging from 0.882 to 5.270 TECU, RMSE between 1.175 and 6.983 TECU, and R2 values exceeding 0.7. In order to better describe the difference between the predicted values and the reference values, the scatter plots of two datasets are plotted for the fitting of linear regression equations. The slope of fitted function from CNN-BiLSTM-Attention model is very close to the ideal value 1, also indicating a better performance compared to the other models.

     

  • loading
  • [1]
    YUAN Yunbin. Study on Theories and Methods of Correcting Ionospheric Delay and Monitoring Ionosphere Based on GPS[D]. Wuhan: Institute of Geodesy and Geophysics, Chinese Academy of Sciences, 2002
    [2]
    YUAN Yunbin, HUO Xingliang, ZHANG Baocheng. Research progress of precise models and correction for GNSS ionospheric delay in China over recent years[J]. Acta Geodaetica et Cartographica Sinica, 2017, 46(10): 1364-1378 (袁运斌, 霍星亮, 张宝成. 近年来我国GNSS电离层延迟精确建模及修正研究进展[J]. 测绘学报, 2017, 46(10): 1364-1378 doi: 10.11947/j.AGCS.2017.20170349

    YUAN Yunbin, HUO Xingliang, ZHANG Baocheng. Research progress of precise models and correction for GNSS ionospheric delay in China over recent years[J]. Acta Geodaetica et Cartographica Sinica, 2017, 46(10): 1364-1378 doi: 10.11947/j.AGCS.2017.20170349
    [3]
    HAN Xihao, ZHENG Shuaiyong, YANG Jianlei, et al. Status and development of the ionospheric error correction techniques in satellite navigation[J]. GNSS World of China, 2024, 49(2): 111-126 (韩喜豪, 郑帅勇, 杨建雷, 等. 卫星导航中电离层误差校正技术现状与发展[J]. 全球定位系统, 2024, 49(2): 111-126 doi: 10.12265/j.gnss.2023105

    HAN Xihao, ZHENG Shuaiyong, YANG Jianlei, et al. Status and development of the ionospheric error correction techniques in satellite navigation[J]. GNSS World of China, 2024, 49(2): 111-126 doi: 10.12265/j.gnss.2023105
    [4]
    ZhANG Ting. Study on Empirical Model of Ionospheric TEC Based on Multi-Source Data[D]. Zibo: Shandong University of Technology, 2023
    [5]
    ZHANG B B, WANG Z T, SHEN Y, et al. Evaluation of f0F2 and hmF2 parameters of IRI-2016 model in different latitudes over China under high and low solar activity years[J]. Remote Sensing, 2022, 14(4): 860 doi: 10.3390/rs14040860
    [6]
    FENG J D, ZHANG Y B, LI W, et al. Analysis of ionospheric TEC response to solar and geomagnetic activities at different solar activity stages[J]. Advances in Space Research, 2023, 71(5): 2225-2239 doi: 10.1016/j.asr.2022.10.032
    [7]
    TANG Siyu, HUANG Zhi. Prediction of ionospheric total electron content based on causal convolutional and LSTM network[J]. Chinese Journal of Space Science, 2022, 42(3): 357-365 (唐丝语, 黄智. 基于因果卷积与LSTM网络的电离层总电子含量预报[J]. 空间科学学报, 2022, 42(3): 357-365 doi: 10.11728/cjss2022.03.210401042

    TANG Siyu, HUANG Zhi. Prediction of ionospheric total electron content based on causal convolutional and LSTM network[J]. Chinese Journal of Space Science, 2022, 42(3): 357-365 doi: 10.11728/cjss2022.03.210401042
    [8]
    TANG Jun, ZHONG Zhengyu, LI Yinjian, et al. Short-term prediction model of ionospheric TEC based on SSA-Elman neural network[J]. Journal of Geodesy and Geodynamics, 2022, 42(4): 378-383 (汤俊, 钟正宇, 李垠健, 等. 基于SSA-Elman神经网络的电离层TEC短期预报模型[J]. 大地测量与地球动力学, 2022, 42(4): 378-383

    TANG Jun, ZHONG Zhengyu, LI Yinjian, et al. Short-term prediction model of ionospheric TEC based on SSA-Elman neural network[J]. Journal of Geodesy and Geodynamics, 2022, 42(4): 378-383
    [9]
    LIU Haijun, LEI Dongxing, YUAN Jing, et al. Ionospheric TEC prediction based on Attention-LSTM[J]. Chinese Journal of Geophysics, 2024, 67(2): 439-451 (刘海军, 雷东兴, 袁静, 等. 基于注意力机制LSTM的电离层TEC预测[J]. 地球物理学报, 2024, 67(2): 439-451 doi: 10.6038/cjg2022Q0603

    LIU Haijun, LEI Dongxing, YUAN Jing, et al. Ionospheric TEC prediction based on Attention-LSTM[J]. Chinese Journal of Geophysics, 2024, 67(2): 439-451 doi: 10.6038/cjg2022Q0603
    [10]
    WU Han, HUANG Ling, LIU Lilong, et al. Short term prediction model of ionospheric TEC based on SSA-LSTM[J]. Journal of Geodesy and Geodynamics, 2022, 42(6): 626-630,654 (吴晗, 黄玲, 刘立龙, 等. 基于SSA-LSTM的短期电离层TEC组合预报模型[J]. 大地测量与地球动力学, 2022, 42(6): 626-630,654

    WU Han, HUANG Ling, LIU Lilong, et al. Short term prediction model of ionospheric TEC based on SSA-LSTM[J]. Journal of Geodesy and Geodynamics, 2022, 42(6): 626-630,654
    [11]
    TANG J, LI Y J, DING M F, et al. An ionospheric TEC forecasting model based on a CNN-LSTM-Attention mechanism neural network[J]. Remote Sensing, 2022, 14(10): 2433 doi: 10.3390/rs14102433
    [12]
    CHEN Jianghe, XIONG Pan, WU Haochen, et al. A multi-parameter fusion forecast model of ionospheric TEC in the Beijing-Tianjin-Hebei region[J]. Earthquake, 2024, 44(2): 12-32 (陈江河, 熊攀, 武浩琛, 等. 京津冀区域电离层TEC多参数融合预测模型[J]. 地震, 2024, 44(2): 12-32 doi: 10.12196/j.issn.1000-3274.2024.02.002

    CHEN Jianghe, XIONG Pan, WU Haochen, et al. A multi-parameter fusion forecast model of ionospheric TEC in the Beijing-Tianjin-Hebei region[J]. Earthquake, 2024, 44(2): 12-32 doi: 10.12196/j.issn.1000-3274.2024.02.002
    [13]
    MA Bin, HUANG Ling, WU Han, et al. Study on the NeuralProphet forecast TEC model over China during the severe geomagnetic storm in March 2015[J]. Chinese Journal of Geophysics, 2024, 67(2): 452-460 (马彬, 黄玲, 吴晗, 等. 2015年3月特大磁暴期间中国区域电离层TEC NeuralProphet预报模型研究[J]. 地球物理学报, 2024, 67(2): 452-460 doi: 10.6038/cjg2023R0225

    MA Bin, HUANG Ling, WU Han, et al. Study on the NeuralProphet forecast TEC model over China during the severe geomagnetic storm in March 2015[J]. Chinese Journal of Geophysics, 2024, 67(2): 452-460 doi: 10.6038/cjg2023R0225
    [14]
    YANG Mo, WANG Jing. A spatial-temporal attention based BiLSTM for stock index prediction[J]. Operations Research and Management Science, 2023, 32(8): 174-180 (杨蓦, 王静. 基于时空注意力机制的双向长短期记忆神经网络的股指预测研究[J]. 运筹与管理, 2023, 32(8): 174-180

    YANG Mo, WANG Jing. A spatial-temporal attention based BiLSTM for stock index prediction[J]. Operations Research and Management Science, 2023, 32(8): 174-180
    [15]
    YANG Zixing. Research on Short-Term Wind Power Prediction Based on Hybrid CNN-BiLSTM-AM Model[D]. Beijing: Beijing Jiaotong University, 2023
    [16]
    ZHANG Zhenchao. Remote Sensing Image Based on Convolutional Neural Network Model Scene Classification Research[D]. Ganzhou: Jiangxi University of Science and Technology, 2022 (张振超. 基于卷积神经网络模型的遥感影像场景分类研究[D]. 赣州: 江西理工大学, 2022

    ZHANG Zhenchao. Remote Sensing Image Based on Convolutional Neural Network Model Scene Classification Research[D]. Ganzhou: Jiangxi University of Science and Technology, 2022
    [17]
    LIU Libo, CHEN Yiding, ZHANG Ruilong, et al. Some investigations of ionospheric diurnal variation[J]. Reviews of Geophysics and Planetary Physics, 2021, 52(6): 647-661
    [18]
    ZHANG Ting, ZHAO Qingxin, ZHONG Huixin, et al. Accuracy analysis of IRI 2016 model in ocean and land areas[J]. Science of Surveying and Mapping, 2021, 46(9): 14-33 (张亭, 赵庆鑫, 钟慧鑫, 等. 国际参考电离层2016模型在陆海区域的精度分析[J]. 测绘科学, 2021, 46(9): 14-33

    ZHANG Ting, ZHAO Qingxin, ZHONG Huixin, et al. Accuracy analysis of IRI 2016 model in ocean and land areas[J]. Science of Surveying and Mapping, 2021, 46(9): 14-33
    [19]
    SONG Rui. Modeling Ionospheric f0F2 in China and Its Research on Application[D]. Beijing: Institute of Earthquake Forecasting, China Earthquake Administration, 2018
    [20]
    GUO Qijia, YAO Yibin, ZHOU Yongjiang. PM2.5 random forest prediction model incorporating GNSS meteorological parameters[J]. Science of Surveying and Mapping, 2021, 46(4): 37-42,56
  • 加载中

Catalog

    通讯作者: 陈斌, bchen63@163.com
    • 1. 

      沈阳化工大学材料科学与工程学院 沈阳 110142

    1. 本站搜索
    2. 百度学术搜索
    3. 万方数据库搜索
    4. CNKI搜索

    Figures(13)  / Tables(4)

    Article Metrics

    Article Views(531) PDF Downloads(46) Cited by()
    Proportional views
    Related

    /

    DownLoad:  Full-Size Img  PowerPoint
    Return
    Return