Volume 46 Issue 2
Apr.  2026
Turn off MathJax
Article Contents
ZHONG Jia, ZOU Ziming, WU Kun, XU Jiyao, LU Yang, SUN Longchang, YUAN Wei. Evolution Prediction Model of Equatorial Plasma Bubbles Based on SimVP (in Chinese). Chinese Journal of Space Science, 2026, 46(2): 265-280 doi: 10.11728/cjss2026.02.2025-0046
Citation: ZHONG Jia, ZOU Ziming, WU Kun, XU Jiyao, LU Yang, SUN Longchang, YUAN Wei. Evolution Prediction Model of Equatorial Plasma Bubbles Based on SimVP (in Chinese). Chinese Journal of Space Science, 2026, 46(2): 265-280 doi: 10.11728/cjss2026.02.2025-0046

Evolution Prediction Model of Equatorial Plasma Bubbles Based on SimVP

doi: 10.11728/cjss2026.02.2025-0046 cstr: 32142.14.cjss.2025-0046
  • Received Date: 2025-03-31
  • Rev Recd Date: 2025-05-05
  • Available Online: 2025-07-11
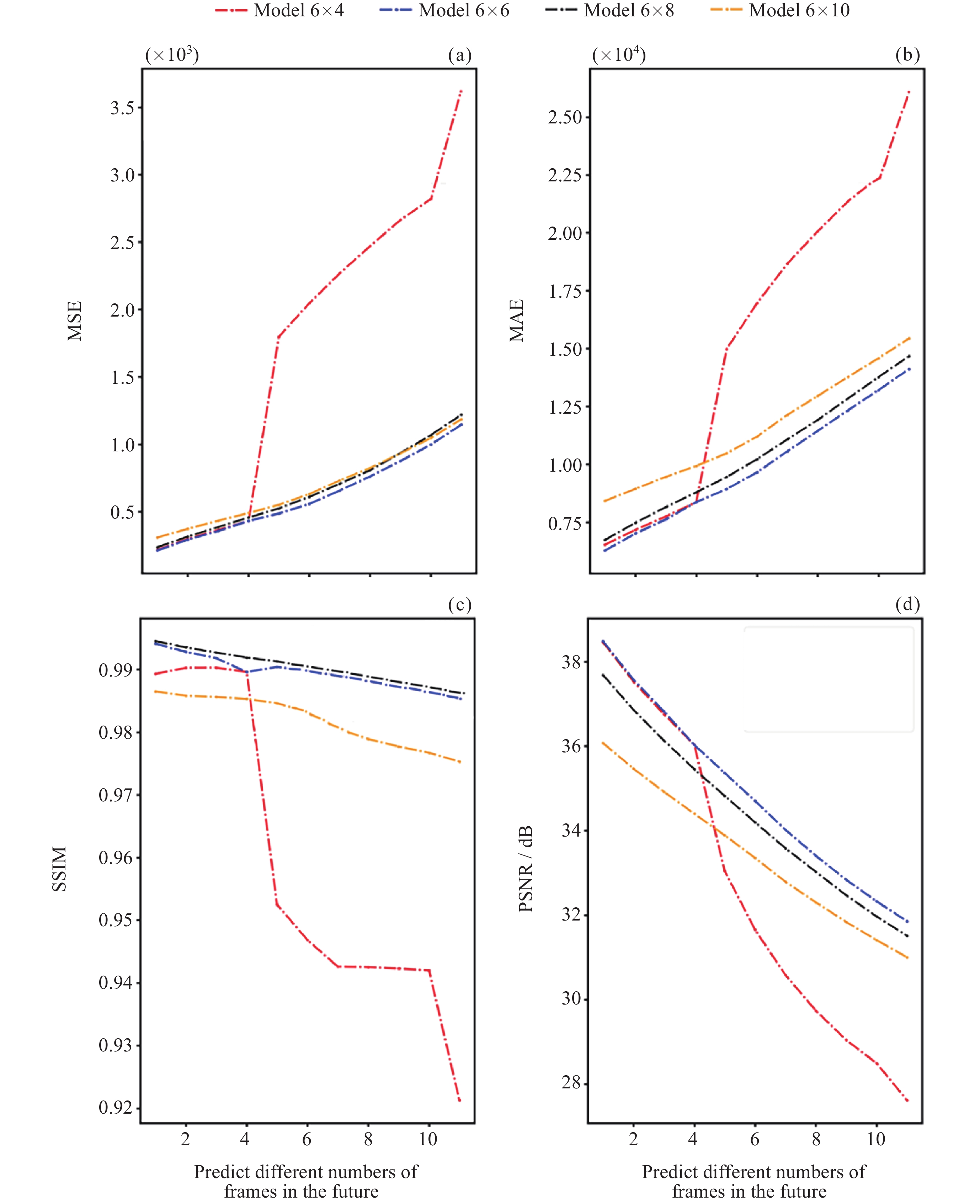
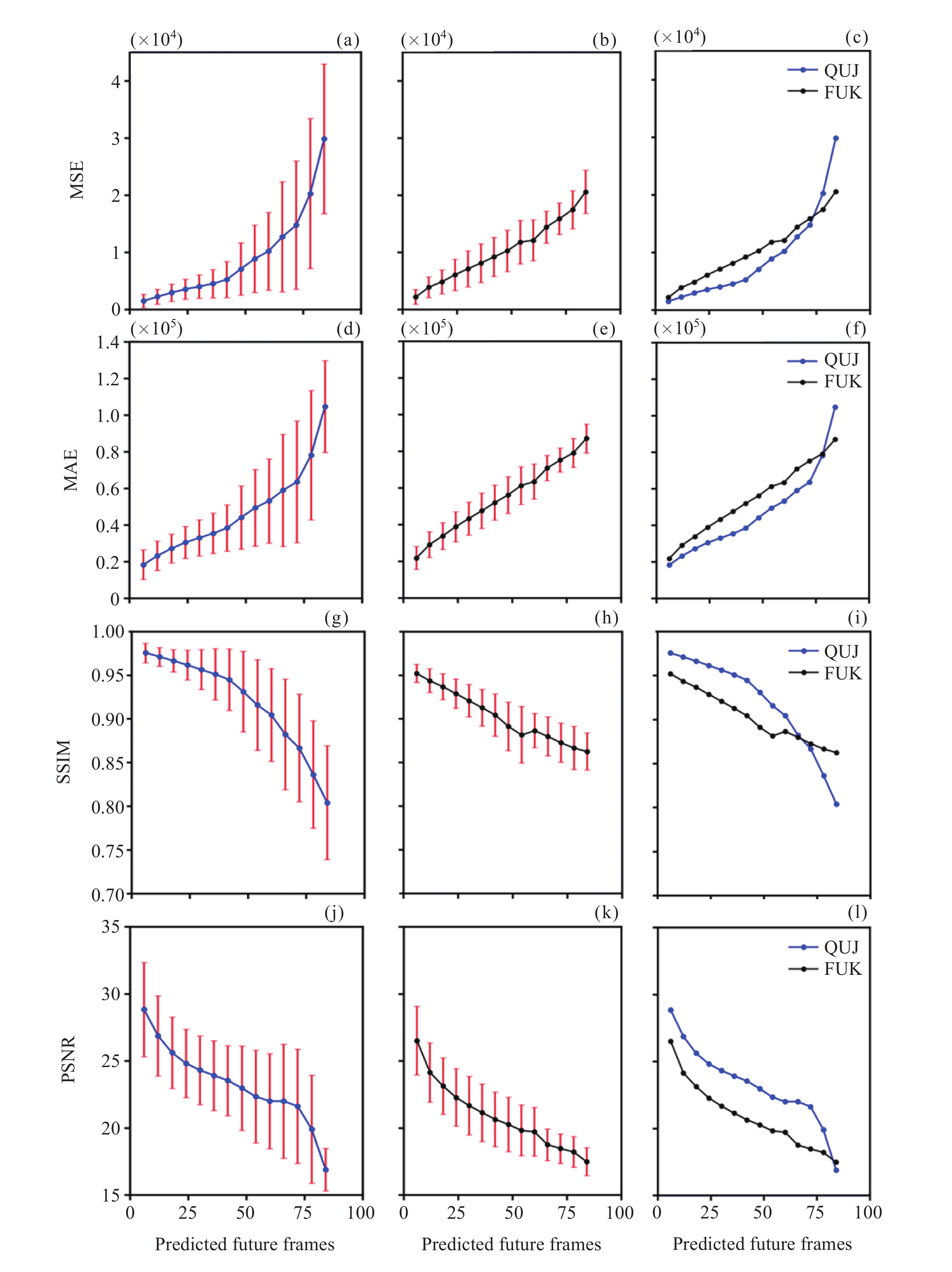
  • Equatorial Plasma Bubbles (EPBs) are large-scale depletion structures characterized by significantly reduced electron density, which frequently emerge in the low-latitude ionosphere during post-sunset hours. These dynamic plasma irregularities play a crucial role in space weather phenomena, as their evolution can induce severe amplitude and phase scintillations in radio signals, leading to disruptions in satellite communications, global navigation systems, and radar operations. Given their substantial impact on technological systems, accurate prediction of EPB evolution has become a critical challenge in both space physics research and operational space weather forecasting. To address this challenge, this study introduces a novel data-driven approach for EPB evolution prediction by leveraging the SimVP (Simpler yet Better Video Prediction) framework, an advanced deep learning architecture designed for spatiotemporal sequence forecasting. The proposed model learns the complex nonlinear dynamics of EPB structures from historical airglow image sequences, capturing both their morphological transformations and drift patterns. Through extensive experimentation, we systematically evaluate the influence of key parameters—including time resolution, input/output sequence length, and environmental noise—on prediction performance. Our findings demonstrate that an optimal configuration with a 3 min temporal resolution and a 6-frame input/output structure achieves superior predictive accuracy, as evidenced by high Structural Similarity (SSIM=0.989) and Peak Signal-to-Noise Ratio (PSNR=34.704) metrics. Further analysis reveals that the spatial complexity of EPB structures, such as bifurcation events and irregular boundary deformations, significantly affects prediction fidelity, whereas the impact of light pollution—a common issue in ground-based airglow observations—is comparatively minor. The model proposed in this paper demonstrates robust cross-station applicability. Beyond forecasting, the model also exhibits potential for reconstructing corrupted airglow data, offering a computational solution to enhance observational datasets affected by atmospheric or instrumental noise. This work not only establishes a robust, machine learning-based tool for EPB evolution analysis but also contributes to the broader development of Artificial Intelligence (AI) applications in space weather modeling and ionospheric research.

     

  • loading
  • [1]
    OTT E. Theory of Rayleigh-Taylor bubbles in the equatorial ionosphere[J]. Journal of Geophysical Research: Space Physics, 1978, 83(A5): 2066-2070 doi: 10.1029/JA083iA05p02066
    [2]
    KELLEY M C, HEELIS R A. The Earth’s Ionosphere: Plasma Physics and Electrodynamics[M]. 2nd ed. New York: Academic Press, 2009
    [3]
    TAKAHASHI H, TAYLOR M J, PAUTET P D, et al. Simultaneous observation of ionospheric plasma bubbles and mesospheric gravity waves during the spreadfex campaign[J]. Annales Geophysicae, 2009, 27(4): 1477-1487 doi: 10.5194/angeo-27-1477-2009
    [4]
    WU K, XU J Y, ZHU Y J, et al. Occurrence characteristics of branching structures in equatorial plasma bubbles: a statistical study based on all-sky imagers in China[J]. Earth and Planetary Physics, 2021, 5(5): 407-415 doi: 10.26464/EPP2021044
    [5]
    YOKOYAMA T. A review on the numerical simulation of equatorial plasma bubbles toward scintillation evaluation and forecasting[J]. Progress in Earth and Planetary Science, 2017, 4(1): 37 doi: 10.1186/s40645-017-0153-6
    [6]
    SULTAN P J. Linear theory and modeling of the Rayleigh-Taylor instability leading to the occurrence of equatorial spread F[J]. Journal of Geophysical Research: Space Physics, 1996, 101(A12): 26875-26891 doi: 10.1029/96JA00682
    [7]
    RETTERE J M. Forecasting low-latitude radio scintillation with 3-D ionospheric plume models: 1. Plume model[J]. Journal of Geophysical Research: Space Physics, 2010, 115(A3): A03306 doi: 10.1029/2008ja013839
    [8]
    HUBA J D, JOYCE G. Global modeling of equatorial plasma bubbles[J]. Geophysical Research Letters, 2010, 37(17): L17104 doi: 10.1029/2010GL044281
    [9]
    AARONS J. Global morphology of ionospheric scintillations[J]. Proceedings of the IEEE, 1982, 70(4): 360-378 doi: 10.1109/proc.1982.12314
    [10]
    SU S Y, CHAO C K, LIU C H. On monthly/seasonal/longitudinal variations of equatorial irregularity occurrences and their relationship with the postsunset vertical drift velocities[J]. Journal of Geophysical Research: Space Physics, 2008, 113(A5): A05307 doi: 10.1029/2007ja012809
    [11]
    REDDY S A, FORSYTH C, ARULIAH A, et al. Predicting swarm equatorial plasma bubbles via machine learning and shapley values[J]. JGR Space Physics, 2023, 128(6): e2022JA031183 doi: 10.1029/2022JA031183
    [12]
    GITHIO L, LIU H X, ARAFA A A, et al. A machine learning approach for estimating the drift velocities of equatorial plasma bubbles based on all-sky imager and GNSS observations[J]. Advances in Space Research, 2024, 74(11): 6047-6064 doi: 10.1016/j.asr.2024.08.067
    [13]
    ZHAO X K, LI G Z, XIE H Y, et al. A novel short-term prediction model for regional equatorial plasma bubble irregularities in East and Southeast Asia[J]. Space Weather, 2025, 23(2): e2024SW004224 doi: 10.1029/2024SW004224
    [14]
    GAO Z Y, TAN C, WU L R, et al. SimVP: simpler yet better video prediction[C]//Proceedings of the 2022 IEEE/CVF Conference on Computer Vision and Pattern Recognition (CVPR). New Orleans: IEEE, 2022: 3160-3170
    [15]
    HU Z J, HAN B, ZHANG Y S, et al. Modeling of ultraviolet aurora intensity associated with interplanetary and geomagnetic parameters based on neural networks[J]. Space Weather, 2021, 19(11): e2021SW002751 doi: 10.1029/2021SW002751
    [16]
    JIANG J N, ZOU Z M, LU Y. A ConvLSTM-based prediction model of aurora evolution during the substorm expansion phase[J]. Earth and Space Science, 2023, 10(4): e2022EA002721 doi: 10.1029/2022EA002721
    [17]
    LIU L, ZOU S S, YAO Y B, et al. Forecasting global ionospheric TEC using deep learning approach[J]. Space Weather, 2020, 18(11): e2020SW002501 doi: 10.1029/2020SW002501
    [18]
    LIU P, YOKOYAMA T, SORI T, et al. Channel mixer layer: multimodal fusion toward machine reasoning for spatiotemporal predictive learning of ionospheric total electron content[J]. Space Weather, 2024, 22(12): e2024SW004121 doi: 10.1029/2024SW004121
    [19]
    SHIH C Y, LIN C Y T, LIN S Y, et al. Forecasting of global ionosphere maps with multi-day lead time using Transformer-based neural networks[J]. Space Weather, 2024, 22(2): e2023SW003579 doi: 10.1029/2023SW003579
    [20]
    GAO P D, CAI J H, WANG Z, et al. Prediction of ionograms with/without Spread-F at Hainan by a combined spatio-temporal neural network[J]. Space Weather, 2024, 22(1): e2023SW003727 doi: 10.1029/2023SW003727
    [21]
    DOSOVITSKIY A, BEYER L, KOLESNIKOV A, et al. An image is worth 16×16 words: transformers for image recognition at scale[OL]. arXiv preprint arXiv: 2010.11929, 2020. DOI:10.48550/arXiv.2010.11929
    [22]
    KIRANYAZ S, AVCI O, ABDELJABER O, et al. 1D convolutional neural networks and applications: a survey[J]. Mechanical Systems and Signal Processing, 2021, 151: 107398 doi: 10.1016/j.ymssp.2020.107398
    [23]
    AARONS J. The longitudinal morphology of equatorial F‐layer irregularities relevant to their occurrence[J]. Space Science Reviews, 1993, 63(3-4): 209-243 doi: 10.1007/BF00750769
    [24]
    SINGH S, BAMGBOYE D K, MCCLURE J P, et al. Morphology of equatorial plasma bubbles[J]. Journal of Geophysical Research: Space Physics, 1997, 102(A9): 20019-20029 doi: 10.1029/97JA01724
    [25]
    GHEINI M, REN X, MAY J. Cross-attention is all you need: adapting pretrained transformers for machine translation[OL]. arXiv preprint arXiv: 2104.08771, 2021
    [26]
    CHEN Z, LIU Y, SUN H. Physics-informed learning of governing equations from scarce data[J]. Nature Communications, 2021, 12(1): 6136 doi: 10.1038/s41467-021-26434-1
  • 加载中

Catalog

    Figures(11)  / Tables(6)

    Article Metrics

    Article Views(941) PDF Downloads(74) Cited by()
    Visiting Statistics
    Related Articles

    /

    DownLoad:  Full-Size Img  PowerPoint
    Return
    Return