Turn off MathJax
Article Contents
PAN Jianhong, CAI Hongtao, YAN Xu, HU Kun, YANG Lubing, QIN Haiyin, ZHANG Shiwei. Case Comparative of Simultaneous Observations of Large-scale Traveling Thermospheric and Ionospheric Disturbances (in Chinese). Chinese Journal of Space Science, 2026, 46(2): 1-10 doi: 10.11728/cjss2026.02.2025-0069
Citation: PAN Jianhong, CAI Hongtao, YAN Xu, HU Kun, YANG Lubing, QIN Haiyin, ZHANG Shiwei. Case Comparative of Simultaneous Observations of Large-scale Traveling Thermospheric and Ionospheric Disturbances (in Chinese). Chinese Journal of Space Science, 2026, 46(2): 1-10 doi: 10.11728/cjss2026.02.2025-0069

Case Comparative of Simultaneous Observations of Large-scale Traveling Thermospheric and Ionospheric Disturbances

doi: 10.11728/cjss2026.02.2025-0069 cstr: 32142.14.cjss.2025-0069
  • Received Date: 2025-04-24
  • Rev Recd Date: 2025-08-29
  • Available Online: 2026-03-06
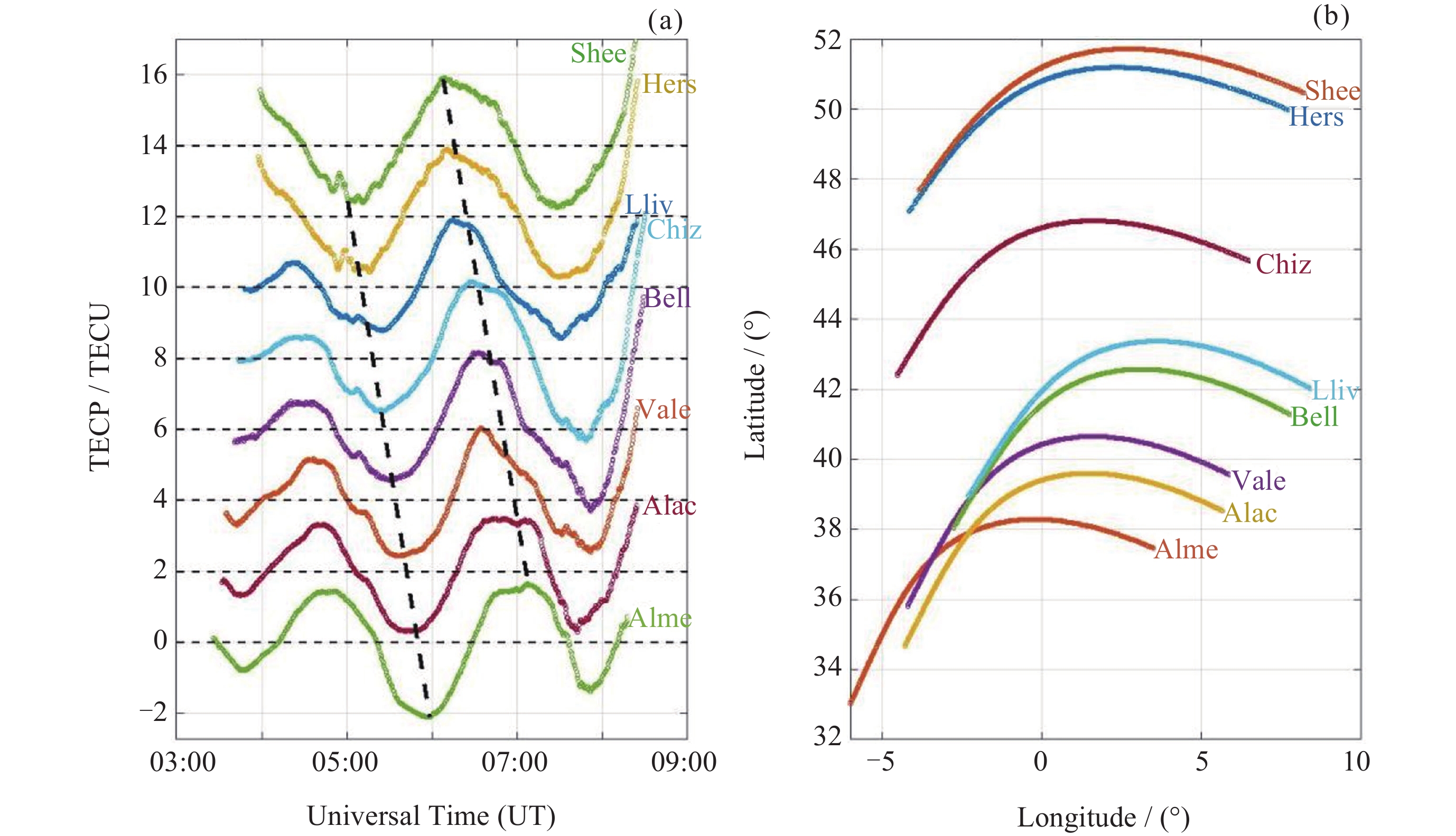
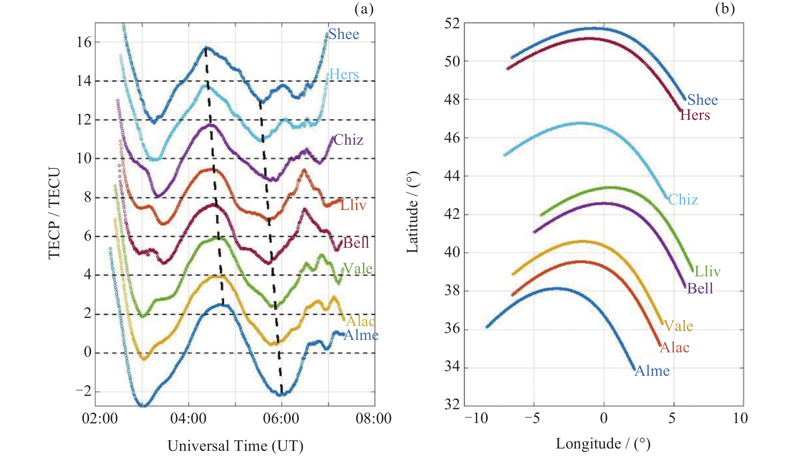
  • To compare the propagation characteristics of Large-Scale Traveling Atmospheric Disturbances (LSTAD) and Large-Scale Traveling Ionospheric Disturbances (LSTID) that propagate in tandem in the thermosphere-ionosphere, this paper takes advantage of the CHAMP satellite’s ability to simultaneously observe atmospheric mass density and electron density across latitudes, studying a pair of LSTAD and LSTID events that propagated in tandem over long distances on 19 March 2002. Around 04:00-06:00 UT on 19 March, with a sudden and significant increase in the AE index, the CHAMP satellite observed the LSTAD and LSTID propagating in tandem in the Northern Hemisphere. Over the next approximately 6 h after 04:00 UT, these disturbances in atmospheric mass density and electron density propagated southward, crossed the equator, and entered the Southern Hemisphere, eventually dissipating there. On the other hand, the ground-based GNSS chain observations also confirmed the existence of the LSTID observed by the satellite. Through comparative analysis, it was found that due to the highly controlled movement of electrons by the Lorentz force while neutral particles are not constrained by it, the horizontal propagation speeds of LSTAD and LSTID along the meridian direction show significant differences. Therefore, at the same time and position on the same orbit, their phases are not the same and may even differ significantly.

     

  • loading
  • [1]
    叶公节, 刘兆汉. 电离层波理论[M]. 北京: 科学出版社, 1983

    Ye G J, Liu Z H. The Theory of Ionospheric Wave[M]. Beijing: Science Press, 1983
    [2]
    YEH K C, LIU C H. Acoustic-gravity waves in the upper atmosphere[J]. Reviews of Geophysics, 1974, 12(2): 193-216
    [3]
    Hunsucker R D. Atmospheric gravity waves generated in the high-latitude ionosphere: A review. Rev. Geophys., 1982, 20(2): 293-315
    [4]
    HOCKE K, SCHLEGEL K. A review of atmospheric gravity waves and travelling ionospheric disturbances: 1982-1995[J]. Annales GeophysicAE, 1996, 14(9): 917-940
    [5]
    CAI H T, YIN F, MA S Y, et al. Observations of AGW/TID propagation across the polar cap: a case study[J]. Annales GeophysicAE, 2011, 29(8): 1355-1363 doi: 10.5194/angeo-29-1355-2011
    [6]
    CAI H T, YIN F, MA S Y, et al. Simultaneous observations of large-scale traveling ionospheric disturbances on the nightside and dayside middle latitude[J]. Annales GeophysicAE, 2012, 30(12): 1709-1717 doi: 10.5194/angeo-30-1709-2012
    [7]
    Saito A, Fukao S, Miyazaki S. 1998. High resolution mapping of TEC perturbations with the GSI GPS network over Japan. Geophys. Res. Lett., 25(16): 3079-3082
    [8]
    Tsugawa T, Saito A, Otsuka Y. 2004. A statistical study of large-scale traveling ionospheric disturbances using the GPS network in Japan. J. Geophys. Res., 109(S6): A06302, doi: 10.1029/2003JA010302
    [9]
    潘建宏, 蔡红涛, 谷骏, 等. 赤道附近局地激发LS-TAD的事例观测[J]. 地球物理学报, 2022, 65(3): 853-861 doi: 10.6038/cjg2022P0181

    Pan J H, Cai H T, Gu J, et al. Case observation of LS-TAD excited locally near the equator[J]. Chinese Journal of Geophysics, 2022, 65(3): 853-861 doi: 10.6038/cjg2022P0181
    [10]
    HINES C O. Internal atmospheric gravity waves at ionospheric heights[J]. Canadian Journal of Physics, 1960, 38(11): 1441-1481 doi: 10.1139/p60-150
    [11]
    MUNRO E H. Tables on sunspot-frequency for 1749–1948. Terrestrial Magnetism and Atmospheric Electricity, 1948, 53(3): 241– 246, doi:10.1029/TE053i003p00241
    [12]
    MUNRO G H. Anomalies on ionosonde records due to traveling ionospheric disturbances. Journal of Geophysical Research, 1957, 62(2): 325–326, doi:10.1029/JZ062i002p00325
    [13]
    WILLIAMS P J S, CROWLEY G, SCHLEGEL K, et al. The generation and propagation of atmospheric gravity waves observed during the Worldwide Atmospheric Gravity-wave Study (WAGS)[J]. Journal of Atmospheric and Terrestrial Physics, 1988, 50(4/5): 323-338
    [14]
    WILLIAMS P J S, VIRDI T S, LEWIS R V, et al. Worldwide atmospheric gravity-wave study in the European sector 1985–1990[J]. Journal of Atmospheric and Terrestrial Physics, 1993, 55(4/5): 683-696 doi: 10.1016/0021-9169(93)90014-p
    [15]
    Martyn D F. Cellular atmospheric waves in the ionosphere and troposphere[J]. Proceedings of the Royal Society of London. Series A, Mathematical and Physical Sciences, 1950, 201(1065): 216-234
    [16]
    SHIOKAWA K, LU G, OTSUKA Y, et al. Ground observation and AMIE-TIEGCM modeling of a storm-time traveling ionospheric disturbance[J]. Journal of Geophysical Research: Space Physics, 2007, 112(A5): A05308. doi: 10.1029/2006JA011772
    [17]
    VALLADARES C E, VILLALOBOS J, HEI M A, et al. Simultaneous observation of traveling ionospheric disturbances in the Northern and Southern Hemispheres[J]. Annales Geophysic AE, 2009, 27(4): 1501-1508
    [18]
    DING F, WAN W, LIU L, et al. A statistical study of large-scale traveling ionospheric disturbances observed by GPS TEC during major magnetic storms over the years 2003-2005[J]. Journal of Geophysical Research: Space Physics, 2008, 113(A3): A00A01. doi: 10.1029/2008JA013037
    [19]
    ZHOU C, ZHAO Z Y, YANG G B, et al. Evidence of low-latitude daytime large-scale traveling ionospheric disturbances observed by high-frequency multistatic backscatter sounding system during a geomagnetically quiet period[J]. Journal of Geophysical Research: Space Physic, 2012, 117(A6): A06302. doi: 10.1029/2012JA017605
    [20]
    DING F, WAN W X, LI Q, et al. Comparative climatological study of large-scale traveling ionospheric disturbances over North America and China in 2011–2012[J]. Journal of Geophysical Research: Space Physics, 2014, 119(1): 519-529. doi: 10.1002/2013JA019523
    [21]
    BOSSERT K, PAXTON L J, MATSUO T, et al. Large-scale traveling atmospheric and ionospheric disturbances observed in GUVI with multi-instrument validations[J]. Geophysical Research Letters, 2022, 49(16): e2022GL099901
    [22]
    FRISSELL N A, KAEPPLER S R, SANCHEZ D F, et al. First observations of large scale traveling ionospheric disturbances using automated amateur radio receiving networks[J].
    [23]
    THEMENS D R, WATSON C, ŽAGAR N, et al. Global propagation of ionospheric disturbances associated with the 2022 Tonga volcanic eruption[J]. Geophysical Research Letters, 2022, 49(7): e2022GL098158. doi: 10.1029/2022GL098158
    [24]
    NISHIMURA Y, ZHANG S R, LYONS L R, et al. Source region and propagation of dayside large-scale traveling ionospheric disturbances[J]. Geophysical Research Letters, 2020, 47(19): e2020GL089451. doi: 10.1029/2020GL089451
    [25]
    RICHMOND A D. Gravity wave generation, propagation, and dissipation in the thermosphere[J]. Journal of Geophysical Research: Space Physics, 1978, 83(A9): 4131-4145 doi: 10.1029/JA083iA09p04131
    [26]
    MILLWARD G H, MOFFETT R J, QUEGAN S, et al. Effects of an atmospheric gravity wave on the midlatitude ionospheric F layer[J]. Journal of Geophysical Research: Space Physics, 1993, 98(A11): 19173-19179 doi: 10.1029/93JA02093
    [27]
    FULLER-ROWELL T J, CODRESCU M V, MOFFETT R J, et al. Response of the thermosphere and ionosphere to geomagnetic storms[J]. Journal of Geophysical Research: Space Physcs, 1994, 99(A3): 3893-3914 doi: 10.1029/93JA02015
    [28]
    FUJIWARA H, MAEDA S, FUKUNISHI H, et al. Global variations of thermospheric winds and temperatures caused by substorm energy injection[J]. Journal of Geophysical Research: Space Physics, 1996, 101(A1): 225-239 doi: 10.1029/95JA01157
    [29]
    BALTHAZOR R L, MOFFETT R J. Morphology of large-scale traveling atmospheric disturbances in the polar thermosphere[J]. Journal of Geophysical Research: Space Physics, 1999, 104(A1): 15-24 doi: 10.1029/1998JA900039
    [30]
    LU G, RICHMOND A D, ROBLE R G, et al. Coexistence of ionospheric positive and negative storm phases under northern winter conditions: a case study[J]. Journal of Geophysical Research: Space Physics, 2001, 106(A11): 24493-24504 doi: 10.1029/2001JA000003
    [31]
    FUJIWARA H, MIYOSHI Y. Characteristics of the large-scale travelling atmospheric disturbances during geomagnetically quiet and disturbed periods simulated by a whole atmosphere general circulation model. Geophysical Research Letters, 2006, 3: L20108, 10.1029/2006GL027103
    [32]
    QIAN L Y, BURNS A G, LIU H L, et al. Effect of a solar flare on a traveling atmospheric disturbance[J]. Journal of Geophysical Research: Space Physics, 2012, 117(A10): A10319. doi: 10.1029/2012JA017806
    [33]
    HERNÁNDEZ-PAJARES M, JUAN J M, SANZ J. High resolution TEC monitoring method using permanent ground GPS receivers[J]. Geophysical Research Letters, 1997, 24(13): 1643-1646 doi: 10.1029/97GL01591
    [34]
    PICONE J M, HEDIN A E, DROB D P, et al. NRLMSISE‐00 empirical model of the atmosphere: Statistical comparisons and scientific issues. Journal of Geophysical Research, 107( A12), 1468, DOI:10.1029/2002JA009430, 2002
    [35]
    Bilitza D, Altadill D, Zhang Y, et al. International Reference Ionosphere 2012 – a model of collaboration[J]. Journal of Space Weather and Space Climate, 2014, 2: 1-19
    [36]
    BRUINSMA S L, FORBES J M. Global observation of traveling atmospheric disturbances (TADs) in the thermosphere[J]. Geophysical Research Letters, 2007, 34(14): L14103. doi: 10.1029/2007GL030243
    [37]
    BRUINSMA S L, FORBES J M. Large-scale traveling atmospheric disturbances (LSTADs) in the thermosphere inferred from CHAMP, GRACE, and SETA accelerometer data[J]. Journal of Atmospheric and Solar-Terrestrial Physics, 2010, 72(13): 1057-1066 doi: 10.1016/j.jastp.2010.06.010
    [38]
    Jonah O F, COSTER A, ZHANG S, et al. TID observations and source analysis during the 2017 memorial day weekend geomagnetic storm over North America[J]. Journal of Geophysical Research: Space Physics, 2018, 123(10): 8749-8765 doi: 10.1029/2018JA025367
    [39]
    EISENBEIS J, OCCHIPINTI G, ASTAFYEVA E, et al. Short-and long-wavelength TIDs generated by the great American eclipse of 21 August 2017[J]. Journal of Geophysical Research: Space Physics, 2019, 124(11): 9486-9493. DOI: 10.1029/2019JA026919 Geophysical Research Letters, 2022, 49(5): e2022GL097879. DOI: 10.1029/2022GL097879
    [40]
    COSTER A, ZHANG S. TID observations and source analysis during the 2017 memorial day weekend geomagnetic storm over North America[J]. Journal of Geophysical Research: Space Physics, 2018, 123(10): 8749-8765 doi: 10.1029/2018JA025367
  • 加载中

Catalog

    Figures(5)  / Tables(1)

    Article Metrics

    Article Views(260) PDF Downloads(20) Cited by()
    Visiting Statistics
    Related Articles

    /

    DownLoad:  Full-Size Img  PowerPoint
    Return
    Return