Volume 46 Issue 2
Apr.  2026
Turn off MathJax
Article Contents
WANG Jing, ZHONG Qiuzhen, LUO Bingxian, WANG Xiao, ZHAO Mingliang, CHENG Yonghong, SHEN Hua. A Dataset of Geomagnetic Kpest Index from Individual Stations (2022-2024) (in Chinese). Chinese Journal of Space Science, 2026, 46(2): 548-555 doi: 10.11728/cjss2026.02.2025-0131
Citation: WANG Jing, ZHONG Qiuzhen, LUO Bingxian, WANG Xiao, ZHAO Mingliang, CHENG Yonghong, SHEN Hua. A Dataset of Geomagnetic Kpest Index from Individual Stations (2022-2024) (in Chinese). Chinese Journal of Space Science, 2026, 46(2): 548-555 doi: 10.11728/cjss2026.02.2025-0131

A Dataset of Geomagnetic Kpest Index from Individual Stations (2022-2024)

doi: 10.11728/cjss2026.02.2025-0131 cstr: 32142.14.cjss.2025-0131
  • Received Date: 2025-07-31
  • Rev Recd Date: 2025-12-09
  • Available Online: 2025-12-16
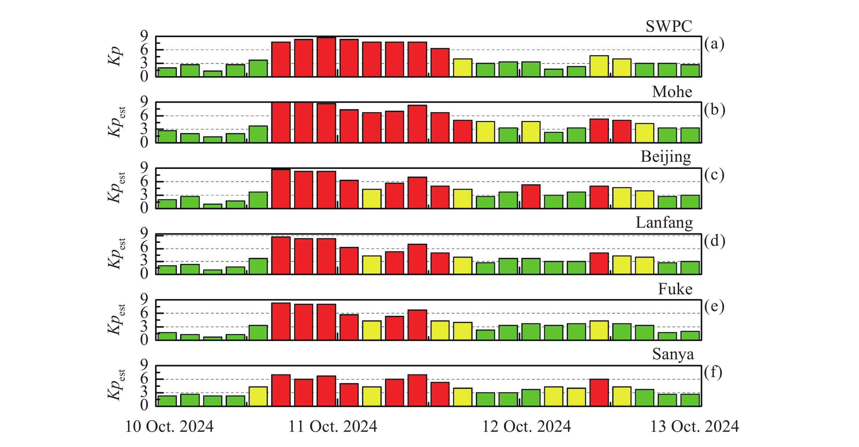
  • The Kp index is a parameter designed to indicate the level of global geomagnetic disturbances originating from the interaction of the solar wind with the magnetosphere. The index is defined at 3-hour intervals and has 28 levels. Kp is a global version of the local K index, which was conceived by Bartels and is commonly used in scientific research of the solar-terrestrial relationship. The continuity of the index over 50 year makes it particularly valuable in studies of solar-cycle variations and other long-term effects on interplanetary and magnetospheric phenomena. For example, Kp has been used in studies of solar wind shock waves, the interplanetary magnetic field, plasma density variations in the magnetosphere, and magnetospheric ULF waves. In addition, the index is widely used as an input to magnetospheric/ionospheric models. For example, the plasmapause is modeled to move closer to the Earth with increasing Kp. The location of substorm injection is modeled to have a similar Kp dependence. The magnetic field model of Tsyganenko has an explicit Kp dependence, and the magnetotail becomes more stretched for higher Kp. These models are used both in scientific research and in monitoring and predicting space weather. In 2011, the National Space Science Center of the Chinese Academy of Sciences established the Chinese Academy of Sciences Space Environment Monitoring Network, which included Mohe, Beijing, Langfang, Sanya, and Fuke stations. A geomagnetic Kpest index, which can effectively identify the day-to-day variation characteristics of the geomagnetic regular daily variation, reflect the seasonal and local time effects of geomagnetic disturbances, and is suitable for the distribution characteristics of China’s geomagnetic observatory network, has been developed through the integration and processing of the H-component monitoring data from fluxgate magnetometers at these five geomagnetic observatory stations. This dataset contains the geomagnetic Kpest indices for the five geomagnetic observatory stations from 2022 to 2024. It addresses the current situation where the official Kp index is released with a two-week delay, failing to meet operational requirements, and can provide data support for space weather forecasting services.

     

  • loading
  • [1]
    徐文耀. 地球电磁现象物理学[M]. 合肥: 中国科学技术大学出版社, 2009

    XU Wenyao. Physics of Electromagnetic Phenomena of the Earth[M]. Hefei: University of Science and Technology of China Press, 2009
    [2]
    WELLING D T, ANDRÉ M, DANDOURAS I, et al. The earth: plasma sources, losses, and transport processes[J]. Space Science Reviews, 2015, 192(1/2/3/4): 145-208 doi: 10.1007/978-1-4939-3544-4_5
    [3]
    EMERY B A, COUMANS V, EVANS D S, et al. Seasonal, Kp, solar wind, and solar flux variations in long-term single-pass satellite estimates of electron and ion auroral hemispheric power[J]. Journal of Geophysical Research: Space Physics, 2008, 113(A6): A06311 doi: 10.1029/2007JA012866
    [4]
    GOLDSTEIN J, DE PASCUALE S, KLETZING C, et al. Simulation of Van Allen probes plasmapause encounters[J]. Journal of Geophysical Research: Space Physics, 2014, 119(9): 7464-7484 doi: 10.1002/2014JA020252
    [5]
    PIERRARD V, GOLDSTEIN J, ANDRÉ N, et al. Recent progress in physics-based models of the plasmasphere[J]. Space Science Reviews, 2009, 145(1/2): 193-229 doi: 10.1007/978-1-4419-1323-4_7
    [6]
    DENTON M H, HENDERSON M G, JORDANOVA V K, et al. An improved empirical model of electron and ion fluxes at geosynchronous orbit based on upstream solar wind conditions[J]. Space Weather, 2016, 14(7): 511-523 doi: 10.1002/2016SW001409
    [7]
    KORTH H, THOMSEN M F, BOROVSKY J E, et al. Plasma sheet access to geosynchronous orbit[J]. Journal of Geophysical Research: Space Physics, 1999, 104(A11): 25047-25061 doi: 10.1029/1999JA900292
    [8]
    CARPENTER D L, ANDERSON R R. An ISEE/whistler model of equatorial electron density in the magnetosphere[J]. Journal of Geophysical Research: Space Physics, 1992, 97(A2): 1097-1108 doi: 10.1029/91JA01548
    [9]
    TSYGANENKO N A. A magnetospheric magnetic field model with a warped tail current sheet[J]. Planetary and Space Science, 1989, 37(1): 5-20 doi: 10.1016/0032-0633(89)90066-4
    [10]
    AGAPITOV O V, ARTEMYEV A V, MOURENAS D, et al. Empirical model of lower band chorus wave distribution in the outer radiation belt[J]. Journal of Geophysical Research: Space Physics, 2015, 120(12): 10425-10442 doi: 10.1002/2015JA021829
    [11]
    ORLOVA K, SPASOJEVIC M, SHPRITS Y. Activity-dependent global model of electron loss inside the plasmasphere[J]. Geophysical Research Letters, 2014, 41(11): 3744-3751 doi: 10.1002/2014GL060100
    [12]
    王庚. 地磁Kp指数现报模式及全球K指数分布预报模式[D]. 北京: 中国科学院研究生院(空间科学与应用研究中心), 2015

    WANG Geng. Algorithm for Nowcast of Kp Index and A Model for Forecast of Global K Index Distribution[D]. Beijing: Center for Space Science and Applied Research, Chinese Academy of Sciences, 2015
    [13]
    WING S, JOHNSON J R, JEN J, et al. Kp forecast models[J]. Journal of Geophysical Research: Space Physics, 2005, 110(A4): A04203 doi: 10.1029/2004JA010500
    [14]
    王晓美, 滕云田, 马洁美, 等. 地磁矢量场观测数据一致性校正方法: 中国, 201810101718.8[P]. 2025-07-31

    WANG Xiaomen, TENG Yuntian, MA Jiemei, et al. Geomagnetic vector field observation data consistency correction method: CN, 201810101718.8[P]. 2025-07-31
    [15]
    TAKAHASHI K, TOTH B A, OLSON J V. An automated procedure for near-real-time Kp estimates[J]. Journal of Geophysical Research: Space Physics, 2001, 106(A10): 21017-21032
    [16]
    BITTERLY M, MENVIELLE M, BITTERLY J, et al. A comparison between computer derived (FMI method) and hand-scaled K indices at Port-aux-français and Port Alfred French observatories[C]//Proceedings of the VIth International Workshop on Geomagnetic Instruments, Data Acquisition and Processing. Bruxelles: Académie Royale de Belgique, 1997: 136-143
    [17]
    王庚, 罗冰显, 刘四请, 等. 一种改进的Kp指数现报模式[J]. 空间科学学报, 2016, 36(2): 153-166 doi: 10.11728/cjss2016.02.153

    WANG Geng, LUO Bingxian, LIU Siqing, et al. An improved algorithm for nowcast of Kp index[J]. Chinese Journal of Space Science, 2016, 36(2): 153-166 doi: 10.11728/cjss2016.02.153
  • 加载中

Catalog

    Figures(8)  / Tables(3)

    Article Metrics

    Article Views(949) PDF Downloads(26) Cited by()
    Visiting Statistics
    Related Articles

    /

    DownLoad:  Full-Size Img  PowerPoint
    Return
    Return