Volume 46 Issue 1
Jan.  2026
Turn off MathJax
Article Contents
YUAN Shuqi, LIANG Zheng, CHEN Yuqing, LIU Yuanyuan, YANG Qianqian, CHANG Wenbo, ZHONG Runtao, WANG Wei, SUN Yeqing. Developing Standardized Protocol for the Preparation of Caenorhabditis elegans Samples Suitable for Microfluidic Chip Loading (in Chinese). Chinese Journal of Space Science, 2026, 46(1): 131-141 doi: 10.11728/cjss2026.01.2025-0008
Citation: YUAN Shuqi, LIANG Zheng, CHEN Yuqing, LIU Yuanyuan, YANG Qianqian, CHANG Wenbo, ZHONG Runtao, WANG Wei, SUN Yeqing. Developing Standardized Protocol for the Preparation of Caenorhabditis elegans Samples Suitable for Microfluidic Chip Loading (in Chinese). Chinese Journal of Space Science, 2026, 46(1): 131-141 doi: 10.11728/cjss2026.01.2025-0008

Developing Standardized Protocol for the Preparation of Caenorhabditis elegans Samples Suitable for Microfluidic Chip Loading

doi: 10.11728/cjss2026.01.2025-0008 cstr: 32142.14.cjss.2025-0008
  • Received Date: 2025-01-08
  • Rev Recd Date: 2025-06-03
  • Available Online: 2025-06-06
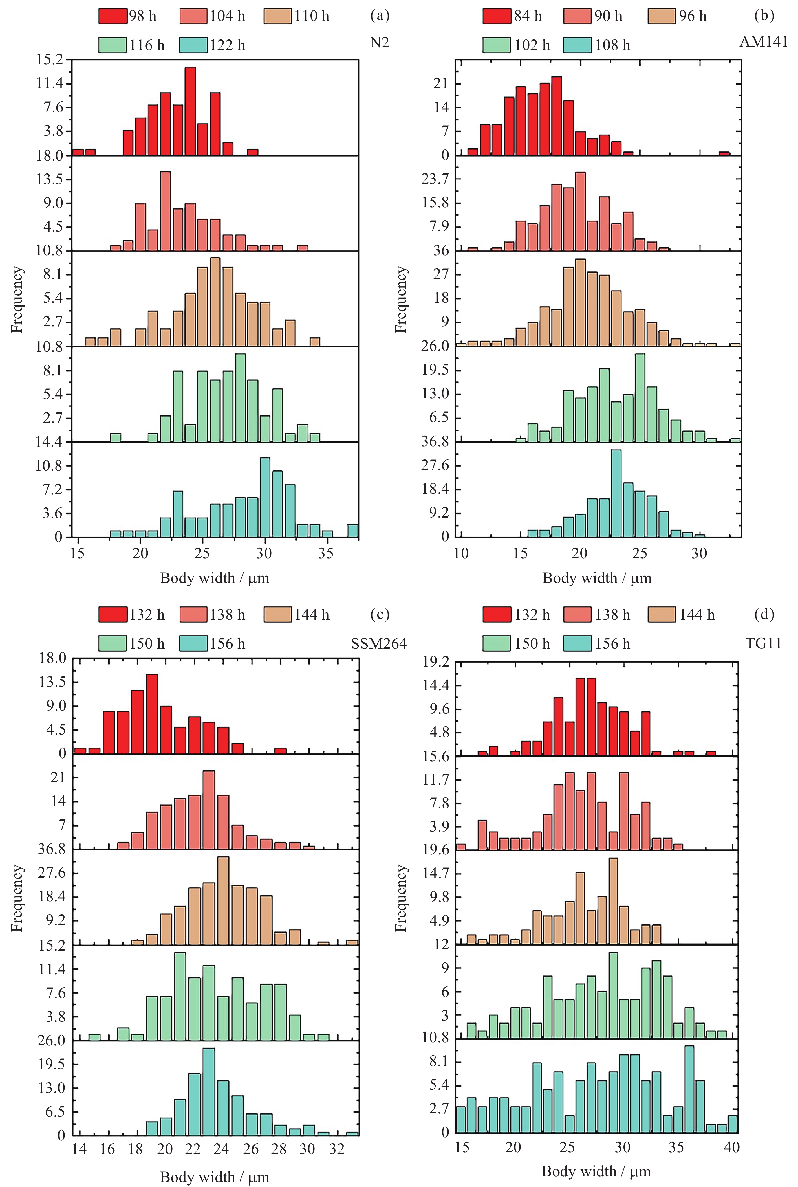
  • As space biology experiments transition from short-term post-flight observations to long-term in-orbit monitoring, particularly with the application of the extravehicular radiation exposure platform on the Chinese Space Station, understanding the long-term biological effects of space radiation has emerged as an urgent research direction in space life sciences. Caenorhabditis elegans (C. elegans), which shares 60%~80% of homologous genes with humans, serves as a model organism for studying radiation effects in spaceflight experiments, providing essential insights for assessing and mitigating radiation risks in deep-space exploration. To enable long-term analysis of C. elegans development both inside and outside the spacecraft, a microfluidic chip-based liquid culture system can be utilized for single-individual worm loading and observation. Microfluidic chips regulate the number of nematodes entering the culture chamber by controlling the inner diameter of the channels. Therefore, the preparation and loading of chip samples impose precise requirements on the body width of nematodes, which is directly related to their developmental stage. To clarify the developmental requirements and loading protocols for nematode samples in microfluidic chips, this study measured the body width of wild-type (N2), DNA damage repair proteins (RAD-51, CEP-1), and muscle motility proteins (UNC-54) fluorescent strains of nematodes during different population proliferation cycles and larval development using the heat-shock method. This approach determined the optimal proliferation duration and developmental period for different nematode strains, addressing the issue of insufficient sample synchronization during microfluidic chip loading. After preparation using the aforementioned protocol, four types of nematodes were loaded onto the nematode chip for the Shenzhou 16 mission. The body width of the samples ranged from 27.71 μm to 28.02 μm, which meets the chip loading requirement of 24 μm to 29 μm and ensures consistency in the individual states within the chip. This finding validates the feasibility of the preparation protocol. This study established an experimental workflow for nematode “proliferation-synchronization-body width control-chip loading”, and proposed “quality control” requirements for nematode cultivation and observation in liquid culture systems aboard space stations.

     

  • loading
  • [1]
    RUTTER L, BARKER R, BEZDAN D, et al. A new era for space life science: International Standards for Space Omics Processing[J]. Patterns, 2020, 1(9): 100148 doi: 10.1016/j.patter.2020.100148
    [2]
    NIKONOROVA I A, DESRANLEAU E, JACOBS K C, et al. Polycystins recruit cargo to distinct ciliary extracellular vesicle subtypes in C. elegans[J]. Nature Communications, 2025, 16(1): 2899 doi: 10.1038/s41467-025-57512-3
    [3]
    ZHU S H, ZHANG R S, YAO L X, et al. De novo NAD+ synthesis is ineffective for NAD+ supply in axenically cultured Caenorhabditis elegans[J]. Communications Biology, 2025, 8(1): 545 doi: 10.1038/s42003-025-07984-2
    [4]
    QUACH K T, HUGHES G A, CHALASANI S H. Interdependence between SEB-3 receptor and NLP-49 peptides shifts across predator-induced defensive behavioral modes in Caenorhabditis elegans[J]. eLife, 2025, 13: RP98262 doi: 10.7554/eLife.98262
    [5]
    MARKAKI M, TAVERNARAKIS N. Caenorhabditis elegans as a model system for human diseases[J]. Current Opinion in Biotechnology, 2020, 63: 118-125 doi: 10.1016/j.copbio.2019.12.011
    [6]
    GARDEA E A, DENICOLA D, FREITAS S, et al. Long-term culture and monitoring of isolated Caenorhabditis elegans on solid media in multi-well devices[J]. Journal of Visualized Experiments, 2022(190): e64681 doi: 10.3791/64681
    [7]
    LEV I, BRIL R, LIU Y N, et al. Inter-generational consequences for growing Caenorhabditis elegans in liquid[J]. Philosophical Transactions of the Royal Society B: Biological Sciences, 2019, 374(1770): 20180125 doi: 10.1098/rstb.2018.0125
    [8]
    SZEWCZYK N J, KOZAK E, CONLEY C A. Chemically defined medium and Caenorhabditis elegans[J]. BMC Biotechnology, 2003, 3(1): 19 doi: 10.1186/1472-6750-3-19
    [9]
    张普, 王巍, 卢盈宇, 等. 线虫液体培养和监测过程关键参数的实验研究[J]. 载人航天, 2020, 26(3): 284-290 doi: 10.3969/j.issn.1674-5825.2020.03.003

    ZHANG Pu, WANG Wei, LU Yingyu, et al. Study on key parameters of Caenorhabditis elegans liquid culture and monitoring[J]. Manned Spaceflight, 2020, 26(3): 284-290 doi: 10.3969/j.issn.1674-5825.2020.03.003
    [10]
    SCOTT A, WILLIS C R G, MURATANI M, et al. Caenorhabditis elegans in microgravity: an omics perspective[J]. iScience, 2023, 26(7): 107189
    [11]
    SONI P, ANUPOM T, LESANPEZESHKI L, et al. Microfluidics-integrated spaceflight hardware for measuring muscle strength of Caenorhabditis elegans on the International Space Station[J]. NPJ Microgravity, 2022, 8(1): 50 doi: 10.1038/s41526-022-00241-4
    [12]
    NELSON G A, SCHUBERT W W, KAZARIANS G A, et al. Radiation effects in nematodes: results from IML-1 experiments[J]. Advances in Space Research, 1994, 14(10): 87-91 doi: 10.1016/0273-1177(94)90455-3
    [13]
    GAO Y, XU D, ZHAO L, et al. The DNA damage response of C. elegans affected by gravity sensing and radiosensitivity during the Shenzhou-8 spaceflight[J]. Mutation Research/Fundamental and Molecular Mechanisms of Mutagenesis, 2017, 795: 15-26 doi: 10.1016/j.mrfmmm.2017.01.001
    [14]
    QIAO L, LUO S, LIU Y D, et al. Reproductive and locomotory capacities of Caenorhabditis elegans were not affected by simulated variable gravities and spaceflight during the Shenzhou-8 mission[J]. Astrobiology, 2013, 13(7): 617-625 doi: 10.1089/ast.2012.0962
    [15]
    罗雅婧. 空间微重力对线虫肌肉运动调控机制的分析[D]. 大连: 大连海事大学, 2018

    LUO Yajing. Regulatory Mechanism of Space Microgravity on Muscle Movement of C. Elegans[D]. Dalian: Dalian Maritime University, 2018
    [16]
    YANG Q Q, ZHONG R T, CHANG W B, et al. WormSpace μ-TAS enabling automated on-chip multi-strain culturing and multi-function imaging of Caenorhabditis elegans at the single-worm level on the China Space Station[J]. Lab on a Chip, 2024, 24(14): 3388-3402 doi: 10.1039/D4LC00210E
    [17]
    HIGASHIBATA A, SZEWCZYK N J, CONLEY C A, et al. Decreased expression of myogenic transcription factors and myosin heavy chains in Caenorhabditis elegans muscles developed during spaceflight[J]. Journal of Experimental Biology, 2006, 209(16): 3209-3218 doi: 10.1242/jeb.02365
    [18]
    HIGASHITANI A, HIGASHIBATA A, SASAGAWA Y, et al. Checkpoint and physiological apoptosis in germ cells proceeds normally in spaceflown Caenorhabditis elegans[J]. Apoptosis, 2005, 10(5): 949-954 doi: 10.1007/s10495-005-1323-3
    [19]
    HARADA S, HASHIZUME T, NEMOTO K, et al. Fluid dynamics alter Caenorhabditis elegans body length via TGF-β/DBL-1 neuromuscular signaling[J]. npj Microgravity, 2016, 2(1): 16006 doi: 10.1038/npjmgrav.2016.6
    [20]
    THEN S M, JUSOH N F, HARUN R, et al. Multi-generational culture of C. elegans on a long-term space flight revealed changes in expression of genes involved in longevity, DNA repair, and locomotion[J]. Asia-Pacific Journal of Molecular Medicine, 2014, 4(2): 1
    [21]
    HARTMAN P S, HLAVACEK A, WILDE H, et al. A comparison of mutations induced by accelerated iron particles versus those induced by low earth orbit space radiation in the FEM-3 gene of Caenorhabditis elegans[J]. Mutation Research/Fundamental and Molecular Mechanisms of Mutagenesis, 2001, 474(1/2): 47-55 doi: 10.1016/s0027-5107(00)00154-8
    [22]
    PAN P, QIN Z, SUN W, et al. A spiral microfluidic device for rapid sorting, trapping, and long-term live imaging of Caenorhabditis elegans embryos[J]. Microsystems & Nanoengineering, 2023, 9: 45
    [23]
    张普. 秀丽隐杆线虫空间在轨培养实验方法的研究[D]. 大连: 大连海事大学, 2020

    ZHANG Pu. The Study of Experimental Method for C. elegans Space in-Orbit Culture[D]. Dalian: Dalian Maritime University, 2020
    [24]
    王巍, 元姝棋, 邱辉, 等. 线虫在轨液体培养荧光观测关键参数研究[J]. 载人航天, 2022, 28(5): 637-645 doi: 10.3969/j.issn.1674-5825.2022.05.010

    WANG Wei, YUAN Shuqi, QIU Hui, et al. Research on key parameters of fluorescence observation in Caenorhabditis Elegans on-orbit liquid cultivation[J]. Manned Spaceflight, 2022, 28(5): 637-645 doi: 10.3969/j.issn.1674-5825.2022.05.010
    [25]
    卢盈宇. 空间站荧光标记线虫在轨培养及监测方法建立[D]. 大连: 大连海事大学, 2021

    LU Yingyu. Establishment of On-orbit Cultivation and Monitoring Methods for Fluorescently Labeled Nematodes in Space Station[D]. Dalian: Dalian Maritime University, 2021
    [26]
    WIGHTMAN B, CORSI A K, CHALFIE M. A transparent window into biology: a primer on Caenorhabditis elegans[J]. Genetics, 2015, 200(2): 387-407 doi: 10.1534/genetics.115.176099
    [27]
    YU Y J, HUA X, CHEN H B, et al. Tetrachlorobisphenol a mediates reproductive toxicity in Caenorhabditis elegans via DNA damage-induced apoptosis[J]. Chemosphere, 2022, 300: 134588 doi: 10.1016/j.chemosphere.2022.134588
    [28]
    LI C Y, WANG Z, SONG B B, et al. Arsenolipid-induced reproductive toxicity in Caenorhabditis elegans: elucidating the mechanism through the HUS-1-CEP-1-EGL-1-CED-9-CED-4-CED-3 signaling pathway[J]. Food and Chemical Toxicology, 2025, 200: 115340 doi: 10.1016/j.fct.2025.115340
    [29]
    HUA X, FENG X, HUA Y S, et al. Paeoniflorin attenuates polystyrene nanoparticle-induced reduction in reproductive capacity and increase in germline apoptosis through suppressing DNA damage checkpoints in Caenorhabditis elegans[J]. Science of the Total Environment, 2023, 871: 162189 doi: 10.1016/j.scitotenv.2023.162189
    [30]
    LIU Z Y, BIAN Q, WANG D Y. Exposure to 6-PPD quinone causes ferroptosis activation associated with induction of reproductive toxicity in Caenorhabditis elegans[J]. Journal of Hazardous Materials, 2024, 471: 134356 doi: 10.1016/j.jhazmat.2024.134356
    [31]
    ODIBA A S, EZECHUKWU C S, LIAO G Y, et al. SMC-5/6 complex subunit NSE-1 plays a crucial role in meiosis and DNA repair in Caenorhabditis elegans[J]. DNA Repair, 2024, 137: 103669 doi: 10.1016/j.dnarep.2024.103669
    [32]
    GODTHI A, MIN S, DAS S, et al. Neuronal IL-17 controls Caenorhabditis elegans developmental diapause through CEP-1/p53[J]. Proceedings of the National Academy of Sciences of the United States of America, 2024, 121(12): e2315248121 doi: 10.1101/2022.11.22.517560
    [33]
    SHAO Y T, LI Y H, WANG D Y. Polylactic acid microplastics cause transgenerational reproductive toxicity associated with activation of insulin and hedgehog ligands in C. elegans[J]. Science of the Total Environment, 2024, 942: 173746 doi: 10.1016/j.scitotenv.2024.173746
    [34]
    REZA R N, SERRA N D, DETWILER A C, et al. Noncanonical necrosis in 2 different cell types in a Caenorhabditis elegans NAD+ salvage pathway mutant[J]. G3 Genes Genomes Genetics, 2022, 12(4): jkac033 doi: 10.1093/g3journal/jkac033
    [35]
    WU Z, CARDONA E A, COHN J A, et al. Nonapoptotic role of EGL-1 in exopher production and neuronal health in Caenorhabditis elegans[J]. Proceedings of the National Academy of Sciences of the United States of America, 2025, 122(2): e2407909122
  • 加载中

Catalog

    通讯作者: 陈斌, bchen63@163.com
    • 1. 

      沈阳化工大学材料科学与工程学院 沈阳 110142

    1. 本站搜索
    2. 百度学术搜索
    3. 万方数据库搜索
    4. CNKI搜索

    Figures(5)  / Tables(7)

    Article Metrics

    Article Views(305) PDF Downloads(14) Cited by()
    Proportional views
    Related

    /

    DownLoad:  Full-Size Img  PowerPoint
    Return
    Return