Turn off MathJax
Article Contents
ZHOU Jingbo, LI Kehang. Muti-Collision Avoidance Method Based on Sequential Convex Optimization (in Chinese). Chinese Journal of Space Science, 2026, 46(1): 1-9 doi: 10.11728/cjss2026.01.2025-0048
Citation: ZHOU Jingbo, LI Kehang. Muti-Collision Avoidance Method Based on Sequential Convex Optimization (in Chinese). Chinese Journal of Space Science, 2026, 46(1): 1-9 doi: 10.11728/cjss2026.01.2025-0048

Muti-Collision Avoidance Method Based on Sequential Convex Optimization

doi: 10.11728/cjss2026.01.2025-0048 cstr: 32142.14.cjss.2025-0048
  • Received Date: 2025-04-02
  • Rev Recd Date: 2025-09-27
  • Available Online: 2025-09-29
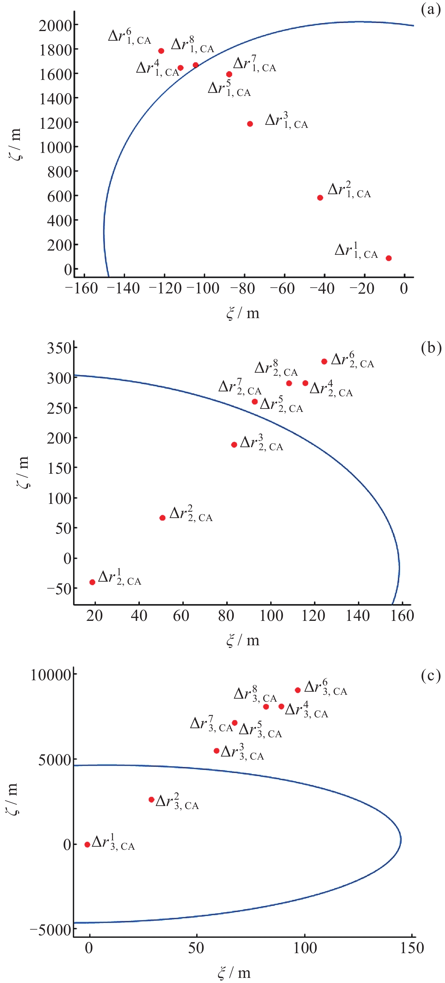
  • As the number of spacecraft and space debris in Near-Earth Orbit (NEO) increases, the number of encounters between spacecraft and space debris continues to rise. It is imperative that spacecraft are equipped with the capacity to evade multiple collisions with space debris, as they may face such threats concurrently. A multi-collision avoidance method based on sequential convex optimization, which is designed to achieve short-term rendezvous of multiple space debris objects while considering the constraints of spacecraft thrust and collision probability, has been proposed. First, the continuous thrust control problem is transformed into a planning problem for impulse thrust. Then the relative dynamics and constraints are convexified to solve the planning problem using the sequential convex optimization method. The proposed method has been demonstrated to be effective in reducing the risk of spacecraft collision with space debris in the avoidance problem for multiple targets. It can also carry out long-time avoidance maneuver planning for low-thrust spacecraft and ensure lower fuel consumption. Furthermore, the solution to the sequence convex optimization problem has been shown to have a fast solution speed, making it suitable for autonomous computation.

     

  • loading
  • [1]
    WANG Jianfeng, LIU Jing, LIU Lin. Research of the evadible period and satellite orbit maneuver[J]. Chinese Journal of Space Science, 2009, 29(2): 234-239 (王建峰, 刘静, 刘林. 规避时段选择与机动变轨研究[J]. 空间科学学报, 2009, 29(2): 234-239

    WANG Jianfeng, LIU Jing, LIU Lin. Research of the evadible period and satellite orbit maneuver[J]. Chinese Journal of Space Science, 2009, 29(2): 234-239
    [2]
    HU Min, ZENG Guoqiang. Research on methods of collision avoidance for formation flying satellites[J]. Aerospace Shanghai, 2010, 27(3): 6-9,53 (胡敏, 曾国强. 编队卫星碰撞规避方法研究[J]. 上海航天, 2010, 27(3): 6-9,53 doi: 10.3321/j.issn:1000-758X.2009.05.011

    HU Min, ZENG Guoqiang. Research on methods of collision avoidance for formation flying satellites[J]. Aerospace Shanghai, 2010, 27(3): 6-9,53 doi: 10.3321/j.issn:1000-758X.2009.05.011
    [3]
    LEE K, PARK C, PARK S Y. Near-optimal guidance and control for spacecraft collision avoidance maneuvers[C]//AIAA/AAS Astrodynamics Specialist Conference. San Diego: AIAA, 2014: 4114
    [4]
    SALEMME G, ARMELLIN R, DI LIZIA P. Continuous-thrust collision avoidance manoeuvres optimization[C]//AIAA Scitech 2020 Forum. Orlando: AIAA, 2020: 0231
    [5]
    KELLY B, DE PICCIOTTO S. Probability based optimal collision avoidance maneuvers[C]//Space 2005. Long Beach: AIAA, 2005: 6775
    [6]
    WU Baolin, WANG Danwei, POH E K, et al. Nonlinear optimization of low-thrust trajectory for satellite formation: Legendre pseudospectral approach[J]. Journal of Guidance, Control, and Dynamics, 2009, 32(4): 1371-1381 doi: 10.2514/1.37675
    [7]
    RICHARDS A, SCHOUWENAARS T, HOW J P, et al. Spacecraft trajectory planning with avoidance constraints using mixed-integer linear programming[J]. Journal of Guidance, Control, and Dynamics, 2002, 25(4): 755-764 doi: 10.2514/2.4943
    [8]
    MUELLER J. Onboard planning of collision avoidance maneuvers using robust optimization[C]//AIAA Infotech@Aerospace Conference. Seattle: AIAA, 2009: 2051
    [9]
    MUELLER J B, GRIESEMER P R, THOMAS S J. Avoidance maneuver planning incorporating station-keeping constraints and automatic relaxation[J]. Journal of Aerospace Information Systems, 2013, 10(6): 306-322 doi: 10.2514/1.54971
    [10]
    BOMBARDELLI C. Analytical formulation of impulsive collision avoidance dynamics[J]. Celestial Mechanics and Dynamical Astronomy, 2014, 118(2): 99-114 doi: 10.1007/s10569-013-9526-3
    [11]
    BOMBARDELLI C, HERNANDO-AYUSO J. Optimal impulsive collision avoidance in low earth orbit[J]. Journal of Guidance, Control, and Dynamics, 2015, 38(2): 217-225 doi: 10.2514/1.G000742
    [12]
    GONZALO J L, COLOMBO C, LIZIA P D. Analytical framework for space debris collision avoidance maneuver design[J]. Journal of Guidance, Control, and Dynamics, 2021, 44(3): 469-487 doi: 10.2514/1.G005398
    [13]
    VASILE M, COLOMBO C. Optimal impact strategies for asteroid deflection[J]. Journal of guidance, control, and dynamics, 2008, 31(4): 858-872 doi: 10.2514/1.33432
    [14]
    ARMELLIN R. Collision avoidance maneuver optimization with a multiple-impulse convex formulation[J]. Acta Astronautica, 2021, 186: 347-362 doi: 10.1016/j.actaastro.2021.05.046
    [15]
    MASSON M, ARZELIER D, JOLDES M, et al. Multi-maneuver algorithms for multi-risk collision avoidance via nonconvex quadratic optimization[J]. IFAC-PapersOnLine, 2023, 56(2): 1995-2000 doi: 10.1016/j.ifacol.2023.10.1094
    [16]
    BOYD S, VANDENBERGHE L. Convex optimization[M]. Cambridge: Cambridge University Press, 2004
    [17]
    AKELLA M R, ALFRIEND K T. Probability of collision between space objects[J]. Journal of Guidance, Control, and Dynamics, 2000, 23(5): 769-772 doi: 10.2514/2.4611
    [18]
    LIU Xinfu, LU Ping. Solving nonconvex optimal control problems by convex optimization[J]. Journal of Guidance, Control, and Dynamics, 2014, 37(3): 750-765 doi: 10.2514/1.62110
  • 加载中

Catalog

    通讯作者: 陈斌, bchen63@163.com
    • 1. 

      沈阳化工大学材料科学与工程学院 沈阳 110142

    1. 本站搜索
    2. 百度学术搜索
    3. 万方数据库搜索
    4. CNKI搜索

    Figures(3)  / Tables(3)

    Article Metrics

    Article Views(171) PDF Downloads(14) Cited by()
    Proportional views
    Related

    /

    DownLoad:  Full-Size Img  PowerPoint
    Return
    Return