Turn off MathJax
Article Contents
WANG Huizhi, LU Shuaiting, GUO Yuandong, HUANG Jinyin, MIAO Jianyin, LIN Guiping. Experiments and Simulations on 3D printed High Temperature Titanium Water Heat Pipe (in Chinese). Chinese Journal of Space Science, 2026, 46(1): 1-8 doi: 10.11728/cjss2026.01.2025-0145
Citation: WANG Huizhi, LU Shuaiting, GUO Yuandong, HUANG Jinyin, MIAO Jianyin, LIN Guiping. Experiments and Simulations on 3D printed High Temperature Titanium Water Heat Pipe (in Chinese). Chinese Journal of Space Science, 2026, 46(1): 1-8 doi: 10.11728/cjss2026.01.2025-0145

Experiments and Simulations on 3D printed High Temperature Titanium Water Heat Pipe

doi: 10.11728/cjss2026.01.2025-0145 cstr: 32142.14.cjss.2025-0145
  • Received Date: 2025-08-05
  • Rev Recd Date: 2025-11-12
  • Available Online: 2025-12-17
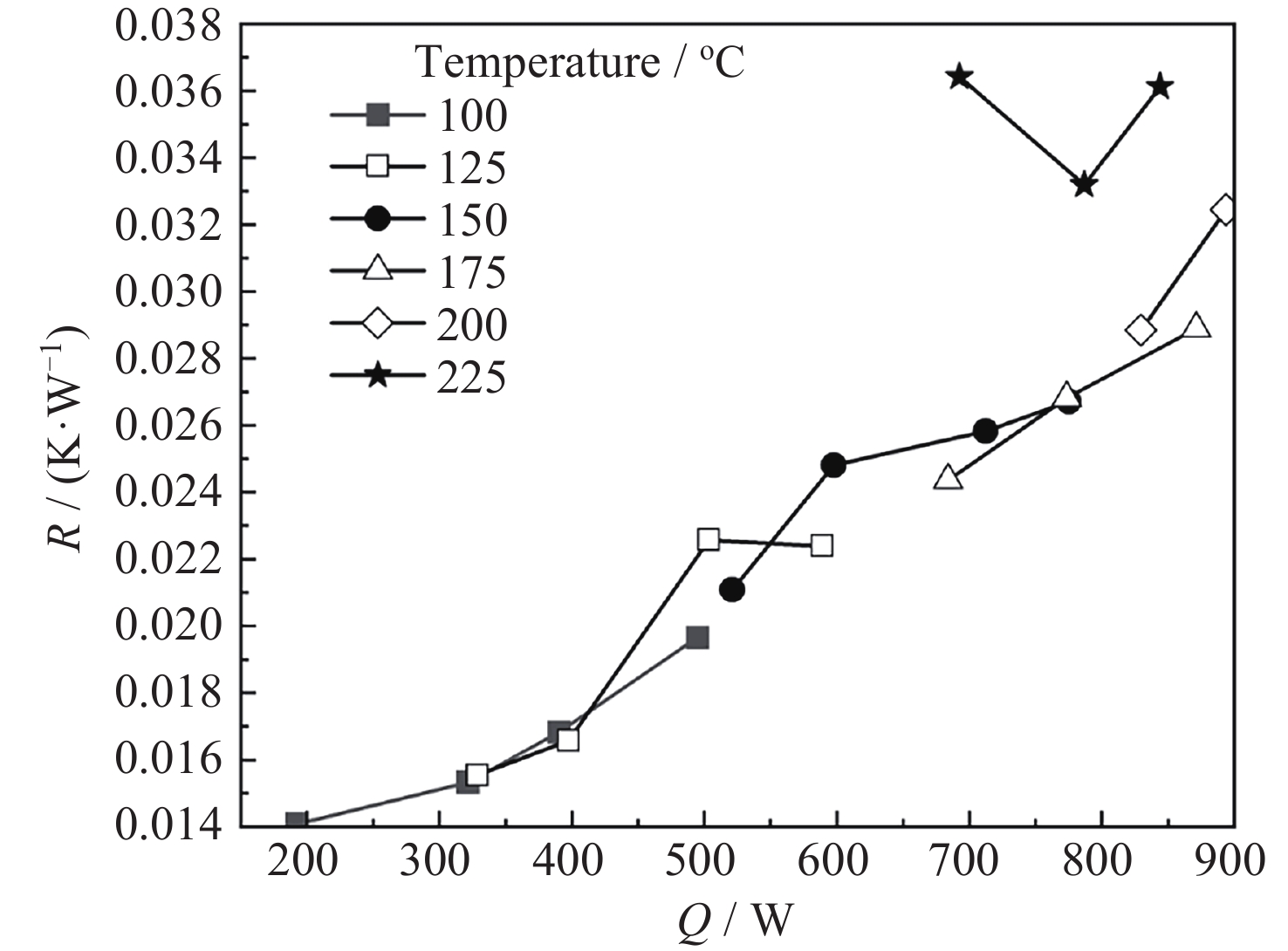
  • Future interstellar navigation will demand new energy. The thrust of spacecraft using chemical fuels is difficult to sustain, and a suitable launch window must be found for each launch in order to utilize the planet's gravity for acceleration. Traditional solar panels are far from meeting the energy requirements for manned interstellar travel and must rely on the effective and stable supply of new energy power systems. The propulsion system of new energy powered spacecraft can carry a larger payload, enter planetary orbit and return to the ground in a more flexible and efficient manner, but also poses higher requirements for waste heat dissipation at high temperatures. Heat pipe technology is an important technical means to achieve efficient and long-distance heat transfer in medium and high temperature zones (100~300℃). The current radiator design increasingly relies on heat pipes. Titanium water heat pipes with high thermal conductivity at high temperatures can effectively transfer heat and raise the radiation temperature, thus minimize the area of the radiator. Experiments and simulations on the 3D printed titanium water heat pipe were conducted. Applying different heating powers at 100~225℃, the heat transfer capacity of the titanium water heat pipe was studied. The results show that the maximum heat transfer temperature difference of the titanium water heat pipe increases with the increase of heating power. The maximum heat transfer power of titanium water heat pipe at 200℃ is 893.9 W, and analysis shows that the maximum heat transfer power of titanium water heat pipes is greater than 893.9 W at 200~264℃. Based on experiments, simulations were conducted to obtain the variation of the equivalent heat transfer coefficient of titanium water heat pipes with temperature. The equivalent heat transfer coefficient at 250℃ is predicted to be 3650 W·m–2·K–1, with a heat transfer temperature difference of 29.22℃.

     

  • loading
  • [1]
    ZHANG Ze, XUE Xiang, WANG Yuanding, et al. Prospect of space nuclear power propulsion technology[J]. Journal of Rocket Propulsion, 2021, 47(5): 1-13 (张泽, 薛翔, 王园丁, 等. 空间核动力推进技术研究展望[J]. 火箭推进, 2021, 47(5): 1-13

    ZHANG Ze, XUE Xiang, WANG Yuanding, et al. Prospect of space nuclear power propulsion technology[J]. Journal of Rocket Propulsion, 2021, 47(5): 1-13
    [2]
    LEE K L, ANDERSON W G, TARAU C. Titanium-water heat pipe radiators for kilopower system cooling applications[C]//International Energy Conversion Engineering Conference. Cincinnati, Ohio: AIAA, 2018
    [3]
    Lee K L , Tarau C , Anderson W G , et al. Titanium-Water Heat Pipe Radiators for Space Fission Power System Thermal Management[J]. Microgravity Science and Technology, 2020, 32(3). DOI: 10.1007/s12217-020-09780-5
    [4]
    CHEN Jie, GAO Shaolun, XIA Chenchao, et al. Study on space nuclear power technological option[J]. Aerospace Shanghai, 2019, 36(6): 1-10 (陈杰, 高劭伦, 夏陈超, 等. 空间堆核动力技术选择研究[J]. 上海航天, 2019, 36(6): 1-10 doi: 10.19328/j.cnki.1006-1630.2019.06.001

    CHEN Jie, GAO Shaolun, XIA Chenchao, et al. Study on space nuclear power technological option[J]. Aerospace Shanghai, 2019, 36(6): 1-10 doi: 10.19328/j.cnki.1006-1630.2019.06.001
    [5]
    WANG Zhao, XIA Chenchao, KANG Zhiyu, et al. Design and key technologies of modular nuclear powered spacecrafts[J]. Aerospace Shanghai, 2019, 36(6): 141-147 (王钊, 夏陈超, 康志宇, 等. 模块化核动力航天器设计及其关键技术[J]. 上海航天, 2019, 36(6): 141-147 doi: 10.19328/j.cnki.1006-1630.2019.06.020

    WANG Zhao, XIA Chenchao, KANG Zhiyu, et al. Design and key technologies of modular nuclear powered spacecrafts[J]. Aerospace Shanghai, 2019, 36(6): 141-147 doi: 10.19328/j.cnki.1006-1630.2019.06.020
    [6]
    ZHOU Tao. Research on Design Optimization Technology of Loop Heat Pipe Radiator in Space Reactor[D]. Harbin: Harbin Engineering University, 2023 (周涛. 空间堆环路热管辐射散热器设计优化技术研究[D]. 哈尔滨: 哈尔滨工程大学, 2023

    ZHOU Tao. Research on Design Optimization Technology of Loop Heat Pipe Radiator in Space Reactor[D]. Harbin: Harbin Engineering University, 2023
    [7]
    HAINLEY D C. User's Manual for the Heat Pipe Space Radiator Design and Analysis Code (HEPSPARC)[R]. Brook Park: NASA Lewis Research Center Group, 1991
    [8]
    GROVER G M, COTTER T P, ERICKSON G F. Erratum: structures of very high thermal conductance[J]. Journal of Applied Physics, 1964, 35(10): 3072-3072 doi: 10.1063/1.1713185
    [9]
    ENKE C, JÚNIOR J B, VLASSOV V. Transient response of an axially-grooved aluminum-ammonia heat pipe with the presence of non-condensable gas[J]. Applied Thermal Engineering, 2021, 183: 116135 doi: 10.1016/j.applthermaleng.2020.116135
    [10]
    ANDERSON W G, BIENERT W. Loop heat pipe radiator trade study for the 300-550 K temperature range[J]. AIP Conference Proceedings, 2005, 746(1): 946-953
    [11]
    SANZI J L, JAWORSKE D A. Heat Pipes and Heat Rejection Component Testing at NASA Glenn Research Center[R]. Cleveland: Glenn Research Center, 2012
    [12]
    ROSENFELD J H, GERNERT N J. Advances in high temperature titanium-water heat pipe technology[J]. AIP Conference Proceedings, 2007, 880(1): 129-136 doi: 10.1063/1.2437449
    [13]
    ROSENFELD J H, GERNERT N J. Life test results for water heat pipes operating at 200 ℃ to 300 ℃[J]. AIP Conference Proceedings, 2008, 969(1): 123-130 doi: 10.1063/1.2844957
    [14]
    FENG Maolong, LAI Xiaoyi, HAN Haiying et al. Study on radiation performance of fluid loop-heat pipe coupled radiator for China space station[J]. Aerospace Shanghai (Chinese :Times New Roman;">& English), 2023, 40(5): 88-93 (丰茂龙, 来霄毅, 韩海鹰, 等. 空间站流体回路/热管耦合式热辐射器性能研究[J]. 上海航天(中英文), 2023, 40(5): 88-93 doi: 10.19328/j.cnki.2096-8655.2023.05.012

    FENG Maolong, LAI Xiaoyi, HAN Haiying et al. Study on radiation performance of fluid loop-heat pipe coupled radiator for China space station[J]. Aerospace Shanghai (Chinese & English), 2023, 40(5): 88-93 doi: 10.19328/j.cnki.2096-8655.2023.05.012
    [15]
    ZHANG Xiu, ZHANG Haochun, LIU Xiuting, et al. Thermal analysis and parameter optimization of a heat-pipe radiator for space nuclear power[J]. Journal of Astronautics, 2019, 40(4): 452-458 (张秀, 张昊春, 刘秀婷, 等. 空间核电源热管式辐射散热器热分析与参数优化[J]. 宇航学报, 2019, 40(4): 452-458

    ZHANG Xiu, ZHANG Haochun, LIU Xiuting, et al. Thermal analysis and parameter optimization of a heat-pipe radiator for space nuclear power[J]. Journal of Astronautics, 2019, 40(4): 452-458
    [16]
    BEARD D, ANDERSON W G, TARAU C, et al. High temperature water heat pipes for kilopower system[C]//15th International Energy Conversion Engineering Conference. Atlanta: AIAA, 2017
    [17]
    LEE K L, KADAMBI J R, KAMOTANI Y. The influence of non-condensable gas on an integral planar heat pipe radiators for space applications[J]. International Journal of Heat and Mass Transfer, 2017, 110: 496-505 doi: 10.1016/j.ijheatmasstransfer.2017.03.060
    [18]
    ZHOU Qiang, WANG Lu, LIU Chang, et al. Design and verification of 3D printing titanium-water heat pipe used in high power spacecraft[J]. Spacecraft Engineering, 2020, 29(4): 86-92 (周强, 王录, 刘畅, 等. 用于大功率航天器的3D打印钛水热管设计及试验研究[J]. 航天器工程, 2020, 29(4): 86-92 doi: 10.3969/j.issn.1673-8748.2020.04.013

    ZHOU Qiang, WANG Lu, LIU Chang, et al. Design and verification of 3D printing titanium-water heat pipe used in high power spacecraft[J]. Spacecraft Engineering, 2020, 29(4): 86-92 doi: 10.3969/j.issn.1673-8748.2020.04.013
    [19]
    FLEMING A J, THOMAS S K, YERKES K L. Titanium-water loop heat pipe operating characteristics under standard and elevated acceleration fields[J]. Journal of Thermophysics and Heat Transfer, 2010, 24(1): 184-198 doi: 10.2514/1.45684
    [20]
    TIAN Zhixing, LIU Xiao, WANG Chenglong, et al. Study on heat transfer performance of high temperature potassium heat pipe at steady state[J]. Atomic Energy Science and Technology, 2020, 54(10): 1771-1778 (田智星, 刘逍, 王成龙, 等. 高温钾热管稳态运行传热特性研究[J]. 原子能科学技术, 2020, 54(10): 1771-1778

    TIAN Zhixing, LIU Xiao, WANG Chenglong, et al. Study on heat transfer performance of high temperature potassium heat pipe at steady state[J]. Atomic Energy Science and Technology, 2020, 54(10): 1771-1778
    [21]
    DUNBAR N, CADELL P. Working fluids and figure of merit for CPL/LHP applications[C]//CPL-98 Workshop. El Segundo: The Aerospace Corporation, 1998
  • 加载中

Catalog

    通讯作者: 陈斌, bchen63@163.com
    • 1. 

      沈阳化工大学材料科学与工程学院 沈阳 110142

    1. 本站搜索
    2. 百度学术搜索
    3. 万方数据库搜索
    4. CNKI搜索

    Figures(9)  / Tables(1)

    Article Metrics

    Article Views(144) PDF Downloads(7) Cited by()
    Proportional views
    Related

    /

    DownLoad:  Full-Size Img  PowerPoint
    Return
    Return