2022 Vol. 42, No. 4

Major Space Programs
Recent Progress in Space Science and Applications of China’s Space Station in 2020–2022
GAO Ming, ZHAO Guangheng, GU Yidong
2022, 42(4): 503-510. doi: 10.11728/cjss2022.04.yg29
Abstract:
China scheduled to complete the assembly of the T-shaped Tiangong Space Station in 2022, and will enter a new stage of utilization. There are more than 20 experiment racks inside the modules, and more than 50 external onboard payloads mounting spaces, which will support large-scale science and technology experiments during the operation. The development of internal experiment racks and external research accommodations approved during the construction has been completed, of which 4 racks in Tianhe core module, including High Microgravity Level research Rack (HMLR) and Container-less Materials Processing Rack (CMPR), have finished on-orbit tests; while other racks in Wentian and Mengtian experiment modules are under comprehensive ground tests. The Chinese Space Survey Telescope (CSST) has advanced much in the last two years with 24 pre-launch research projects funded and 4 joint science center built in preparation for CSST’s future scientific observations and operations. The systematic research planning for China’s Space Station (CSS) during 2022–2032 is updated with the researches classified into four important areas: space life sciences and human research, microgravity physical sciences, space astronomy and Earth science, and new space technologies and applications. According to the planning, more than 1000 experiments are expected to perform in CSS during the operating period. Overall, the CSS utilization missions are proceeding as planned, which will contribute to the major scientific or application output and have a positive impact on the quality of life on Earth.
A Brief Introduction to the International Lunar Research Station Program and the Interstellar Express Mission
XU Lin, LI Hui, PEI Zhaoyu, ZOU Yongliao, WANG Chi
2022, 42(4): 511-513. doi: 10.11728/cjss2022.04.yg28
Abstract:
China has planned and implemented a series of lunar and deep space exploration programs since the first lunar exploration satellite Chang’E-1 launched in 2007. In the future, China has initiated the international lunar research station program, which aims to build a shared platform on the Moon jointly with many other countries for long-term and continuous lunar exploration, lunar-based observations and experiments, as well as in-situ resource utilization. In addition, China has also proposed an interstellar express mission to unveil the mysteries of the outer heliosphere, nearby interstellar space, and their interactions. This paper gives a brief introduction to the International Lunar Research Station program and the Interstellar Express mission.
China’s Space Science Program (2025–2030): Strategic Priority Program on Space Science (III)
WANG Chi, SONG Tingting, SHI Peng, LI Ming, FAN Quanlin
2022, 42(4): 514-518. doi: 10.11728/cjss2022.04.yg01
Abstract:
The Strategic Priority Program (SPP) on Space Science, which is under the leadership of the Chinese Academy of Sciences (CAS), has established China’s space science satellite series from scratch. A number of major scientific achievements have been made by the first phase of the Program (SPP I), while SPP II has been currently being implemented. The future development of space science needs urgent top-level planning and advanced layout to clarify the overall goal and investment portfolio from 2025 to 2030. We will briefly introduce the initiative and possible space science missions of SPP III, including the preparatory work which already started in July 2021. Following the effective administrative tradition since SPP I, National Space Science Center (NSSC, CAS) is responsible for the whole procedure, including soliciting, assessment, and implementation of SPP III. Brief information on the 13 candidate missions will be described, including missions in the fields of astronomy & astrophysics, exoplanets, heliophysics and planetary & Earth science, respectively.
Achievement Highlights
Overview of the Latest Scientific Achievements of Chang’E-4 Mission of China’s Lunar Exploration Project
CHEN Yuesong, TANG Yuhua, FAN Yu, YAN Jun, WANG Chi, ZOU Yongliao
2022, 42(4): 519-535. doi: 10.11728/cjss2022.04.yg30
Abstract:
On 3 January 2019, the Chang’E-4 probe successfully landed in the Von Kármán crater in the South Pole-Aitken Basin on the far side of the Moon. On 4 January, the Yutu-2 rover was successfully separated from the lander and the scientific payloads were powered on to conduct scientific exploration. It was the first time that man-made probe achieved soft landing and roving on the far side of the Moon. Based on the data obtained by scientific payloads on the Chang’E-4, the research team obtained geological information such as landing area topography, structure and composition; demonstrated the existence of deep materials—mainly olivine and low-calcium pyroxene in the South Pole-Aitken Basin; achieved high-precision imaging of the layered structure of lunar subsurface in the roving area; discovered carbonaceous spheroidal meteorite residues and impact glass; preliminarily revealed the geological evolutionary history of the South Pole-Aitken Basin; for the first time, obtained information of the radiation dose of energetic particles at the lunar surface and the structure of the lunar neutral atomic energy spectrum; discovered the lunar mini-magnetosphere and contributed new knowledge of the radiation hazards at the lunar surface. This article summarizes the latest scientific achievement from the Chang’E-4 mission over the past three years.
Recent Status of Taiji Program in China
LUO Ziren, ZHANG Min, WU Yueliang
2022, 42(4): 536-538. doi: 10.11728/cjss2022.04.yg03
Abstract:
The Taiji-1 satellite is a pilot satellite mission of Taiji program, which is used to verify Taiji’s key technology and also to testify the feasibility of Taiji roadmap. Taiji-1 was launched on 31 August 2019 and its designed mission was successfully completed. The in-orbit scientific achievements of Taiji-1 satellite in the first stage have been published and now it has entered the extended task phase. Taiji-2 will prepare all the technology needed by Taiji-3, and remove all the technical obstacles faced by Taiji-3.
Construction Progress of Chinese Meridian Project Phase II
WANG Chi, XU Jiyao, LÜ Daren, YUE Xinan, XUE Xianghui, CHEN Gang, YAN Jingye, YAN Yihua, LAN Ailan, WANG Jiangyan, WANG Xin, TIAN Yufang
2022, 42(4): 539-545. doi: 10.11728/cjss2022.04.yg09
Abstract:
The Chinese Meridian Project (CMP) is the Space Environment Ground Based Comprehensive Monitoring Network of China, a national major science and technology infrastructure project. The CMP consists of the Space Environment Monitoring System, Data Communication System, and Science Application System. Its construction has been divided into two steps: the Phase I was from 2008 to 2012; the Phase II started at the end of 2019, expected to be completed at the end of 2023. Beyond 2023, the CMP as a whole will be in operation to make observations. This report introduces the construction progress of CMP Phase II in the past two years, covering the construction progress of both the Data Communication System and the Science Application System. As for the Space Environment Monitoring System, this report mainly gives an introduction to the construction progress of large-scale advanced monitoring equipment, such as, the solar radio telescope, interplanetary scintillation telescope, incoherent scatter radar, high frequency radar, MST radar, and large-aperture Helium Lidar. In addition, this paper presents the construction plan for the next two years and the future outlook as well.
Introduction to the Chinese Hα Solar Explorer (CHASE) Mission
FANG Cheng, LI Chuan
2022, 42(4): 546-549. doi: 10.11728/cjss2022.04.yg05
Abstract:
The Chinese Hα Solar Explorer (CHASE) mission, dubbed as “Xihe”—Goddess of the Sun, was launched on 14 October 2021 as the first solar space mission of China National Space Administration (CNSA). The CHASE mission aims to test an ultra-high precision and stability platform, and to acquire solar Hα Spectroscopic observations with high temporal and spectral resolutions. Since its launch, the in-orbit performance of the scientific payload—Hα Imaging Spectrograph (HIS) has been excellent. The first set of data has been calibrated and analyzed recently. The CHASE science data are expected to advance our understanding of the plasma dynamics in the solar lower atmosphere, and to investigate the Sun as a star for stellar physics.
Current Status and Main Scientific Outcomes of the CSES Mission
ZEREN Zhima, HUANG Jianping, LIU Dapeng, YANG Yanyan, YAN Rui, ZHAO Shufan, ZHANG Zhenxia, LIN Jian, CUI Jing, CHU Wei, WANG Qiao, LU Hengxin, XU Song, GUO Feng, YANG Dehe, ZHOU Na, LIU Qinqin, HUANG He, WANG Jie, TAN Qiao, LI Wenjing, LÜ Fangxian, ZHU Keying, SHEN Xuhui
2022, 42(4): 550-564. doi: 10.11728/cjss2022.04.yg06
Abstract:
This report briefly introduces the current status of the CSES (China Seismo-Electromagnetic Satellite) mission which includes the first satellite CSES 01 in-orbit (launched in February 2018), and the second satellite CSES 02 (will be launched in 2023) under development. The CSES 01 has been steadily operating in orbit for over four years, providing abundant global geophysical field data, including the background geomagnetic field, the electromagnetic field and wave, the plasma (in-situ and profile data), and the energetic particles in the ionosphere. The CSES 01 platform and the scientific instruments generally perform well. The data validation and calibration are vital for CSES 01, for it aims to monitor earthquakes by extracting the very weak seismic precursors from a relatively disturbing space electromagnetic environment. For this purpose, we are paying specific efforts to validate data quality comprehensively. From the CSES 01 observations, we have obtained many scientific results on the ionosphere electromagnetic environment, the seismo-ionospheric disturbance phenomena, the space weather process, and the Lithosphere-Atmosphere-Ionosphere coupling mechanism.
Mission Progress
Progress Report on ASO-S
GAN Weiqun
2022, 42(4): 565-567. doi: 10.11728/cjss2022.04.yg07
Abstract:
The Advanced Space-based Solar Observatory (ASO-S) started officially its engineering phases at the beginning of 2018. In the past two years from 2020 to 2022 ASO-S completed smoothly the Phase-C study and is now undertaking the Phase-D study. The launch date is finally set in October of 2022. We here briefly summarize the progress of ASO-S from the late Phase-C to the current Phase-D studies, and plan the scientific affairs around the launch.
Recent Advance in the Solar Wind Magnetosphere Ionosphere Link Explorer (SMILE) Mission
WANG Chi, BRANDUARDI-RAYMONT G, ESCOUBET C P
2022, 42(4): 568-573. doi: 10.11728/cjss2022.04.yg08
Abstract:
The SMILE (Solar wind Magnetosphere Ionosphere Link Explorer) mission is a joint space science mission between the European Space Agency (ESA) and the Chinese Academy of Sciences (CAS), aiming to understand the interaction of the solar wind with the Earth’s magnetosphere in a global manner. The mission was adopted by CAS in November 2016 and by ESA in March 2019 with a target launch date in the year 2024–2025. We report the recent progress of SMILE mission by May, 2022.
Research Advances of the Chinese Meridian Project in 2020–2021
WANG Chi, WANG Jiangyan, XU Jiyao
2022, 42(4): 574-583. doi: 10.11728/cjss2022.04.yg04
Abstract:
The Chinese Meridian Project (CMP) is a major national science and technology infrastructure invested and constructed by the Chinese government. The project builds space environment observation stations, focusing on the monitoring of the space environment over China, so as to provide a monitoring basis for clarifying the regional characteristics of the space environment over China and its relationship with global change, and making important innovative scientific achievements. The first phase of the CMP passed the national acceptance in 2012. It has been running for nearly ten years and has accumulated more than 8 TB monitoring data. These data are all available to all data users through the data center of the project. From 2020 to 2021, users of CMP data have completed a series of original works, which have solved current scientific problems in the field of space physics research. On the other hand, they also make us look forward to the completion of the second phase of CMP and its application benefits in national major strategic needs and cutting-edge scientific research.
Progress of International Meridian Circle Program
LIU William, MICHEL Blanc, WANG Chi, XU Jiyao, LI Hui, REN Liwen, LIU Zhengkuan, ZHU Yajun, LI Guozhu, LI Lei, ZEREN Zhima, YANG Fang
2022, 42(4): 584-587. doi: 10.11728/cjss2022.04.yg10
Abstract:
Based on the Chinese Meridian Project (CMP), the International Meridian Circle Program (IMCP) aims to coordinate the deployment of a comprehensive ground-based monitoring network along the 120°E–60°W Great Meridian Circle to track the propagation and evolution of space weather events from the Sun to the Earth, as well as the imprints of other major natural and anthropic hazards on the ionosphere, the middle and upper atmosphere. Currently, we have completed the IMCP headquarters building in Beijing and established the China-Brazil Joint Laboratory for Space Weather in cooperation with Brazil. Meanwhile, the Chinese Meridian Project Phase II and different components of the IMCP observation system are under construction.
Research Progress of Space Science Disciplines
Space Astronomy
ZHANG Shuangnan, YI Shuxu
2022, 42(4): 588-607. doi: 10.11728/cjss2022.04.yg02
Abstract:
This chapter reports the recent progress on the space astronomy missions of China, including the following missions: currently operating in orbit, e.g., DAMPE, Insight-HXMT, GECAM, PolarLight, GRID and Lobster-eye X-ray Satellite; approved and under development for launch in the next a couple of years, e.g., SVOM and EP; planned experiments to be onboard China’s Space Station in the next several years, e.g., CSST, HERD, POLAR-2, DIXE and LyRIC; candidate missions that have passed the first round of review of Strategy Priority Program on space science (III) of the Chinese Academy of Sciences, e.g., eXTP, DAMPE-2, Earth 2.0, DSL and CHES.
Space Solar Physics in China: 2020–2022
GAN Weiqun, FAN Quanlin
2022, 42(4): 608-611. doi: 10.11728/cjss2022.04.yg11
Abstract:
To follow up the last report two years ago, what happened from 2020 to 2022 deserves specially mentioning: CHASE was successfully launched on 14 October 2021; ASO-S will finish soon its Phase-D study and is scheduled for launch in October 2022; four solar mission candidates are being undertaken the engineering project evaluations; three solar mission proposals are being undertaken the background project evaluations; there are also quite a number of pre-study space solar physics projects getting either newly supported or finished. This paper describes in brief the status of all these related projects.
Current Status and Main Application Achievements of Ocean Satellites
LIN Mingsen, ZHANG Youguang
2022, 42(4): 733-743. doi: 10.11728/cjss2022.04.yg4
Abstract:
Ocean satellites have realized multi-satellite networked operation. The HY-1D satellite launched in June 2020 realized networked with HY-1C satellite, and completed the construction of ocean color satellite constellation. The HY-2D satellite launched in May 2021 is networked with the on orbit HY-2B and HY-2C satellites to complete the construction of marine dynamic environment satellite constellation. The 1mC-SAR satellite 01 launched in November 2021 is networked with GF-3, which initially forms the marine monitoring satellite constellation. This year, the networking of 1mC-SAR satellite 02 with satellite 01 and GF-3 is realized, and the construction of marine monitoring satellite constellation is completed. At present, the ocean satellites have the operational application capabilities of remote sensing investigation, monitoring, evaluation and supervision of marine ecology, marine disaster prevention and reduction, global oceans and Polar Regions, Sea Islands, rights and interests maintenance.
A Brief Review of Interplanetary Physics Research Progress in Mainland China during 2020–2022
ZHAO Xinhua, HE Jiansen, SHEN Chenglong, FENG Shiwei, JIANG Chaowei, LI Huichao, QIN Gang, LUO Xi
2022, 42(4): 612-627. doi: 10.11728/cjss2022.04.yg19
Abstract:
Through independent research by the Chinese scientists or their international collaborations, great achievements have been made in interplanetary physics research in Mainland China during the past two years (2020–2022). More than 150 papers have been published in academic journals in this field during this period. These achievements can be grouped into the following areas, at least: (i) solar corona; (ii) solar and interplanetary transient phenomena; (iii) radio bursts; (iv) Magnetohydrodynamic (MHD) numerical modeling; (v) solar energetic particles and cosmic rays. These advances have greatly enriched our understanding of interplanetary physics, i.e. our knowledge of solar activities and solar eruptions, their propagation in the interplanetary space, and the corresponding geoeffects on the Earth. In the sense of application, they have also improved the forecasting of space weather. In this paper we will give a very short review about these advances.
Magnetospheric Physics in China: 2020–2021
CAO Jinbin, YANG Junying
2022, 42(4): 628-652. doi: 10.11728/cjss2022.04.yg12
Abstract:
In the past two years, many progresses were made in magnetospheric physics by the data of OMNI, SuperMAG networks, Double Star Program, Cluster, THEMIS, RBSP, DMSP, DEMETER, NOAA, Van Allen Probes, GOES, Geotail, Swarm, MMS, BeiDa, Fengyun, ARTEMIS, MESSENGER, Juno, Chinese Mars ROVER, MAVEN, Tianwen-1, Venus Express, Lunar Prospector e.g., or by computer simulations. This paper briefly reviews these works based on 356 papers published from January 2020 to December 2021. The subjects covered various sub-branches of Magnetospheric Physics, including solar wind-magnetosphere-ionosphere interaction, inner magnetosphere, outer magnetosphere, magnetic reconnection, planetary magnetosphere.
Ionospheric Investigations Conducted by Chinese Mainland Scientists in 2020–2021
LIU Libo, LEI Jiuhou, LIU Jing
2022, 42(4): 653-683. doi: 10.11728/cjss2022.04.yg13
Abstract:
In this report, we outline works done by scientists from the Mainland of China on various ionospheric topics after the release of the National Report of China in 2020 on ionospheric research[1] to the Committee on Space Research (COSPAR). More than 170 papers were published in 2020–2021. The current report covers the following topics: ionospheric space weather, ionospheric structures and climatology, ionospheric dynamics and couplings, ionospheric irregularity and scintillation, modeling and data assimilation, and ionosphere and sounding techniques. Planetary ionospheres are included for the first time.
Advances in the Researches of the Middle and Upper Atmosphere in China in 2020–2022
CHEN Zeyu, XU Jiyao, CHEN Hongbin, CHEN Wen, REN Rongcai, HU Xiong, ZHU Yajun, XUE Xianghui, LU Gaopeng, ZHANG Shaodong, HUANG Kaiming, TIAN Wenshou, ZHANG Jiankai, HU Dingzhu, RAO Jian, HU Yongyun, XIA Yan
2022, 42(4): 684-711. doi: 10.11728/cjss2022.04.yg20
Abstract:
This report reviews the researches for the middle and upper atmosphere in 2020–2022 by Chinese scientists. The report consists of five parts introducing primarily the results from the aspects of the development of infrastructure, the structure and composition, the climate and modeling, the dynamics for the middle and upper atmosphere, and Coupling between Stratosphere and Troposphere, respectively.
Recent Progress of Earth Science Satellite Missions in China
SHI Jiancheng, LÜ Daren, WANG Yu, DU Yan, PANG Yong, YANG Dongxu, WANG Xin, DONG Xiaolong, YANG Xiaofeng
2022, 42(4): 712-723. doi: 10.11728/cjss2022.04.yg21
Abstract:
Earth Science from Space is an interdisciplinary discipline that studies the interactions, mechanisms, and evolution of the Earth system through space observation. In China, the national medium- to long-term civilian space infrastructure development plan and the space-science pilot project from the Chinese Academy of Sciences are two programs associated with advancing the Earth science from space. This paper reports recent scientific findings, developments and the status of the six missions. It is organized as the following sections: Introduction, two satellite missions that are already in orbit—the TanSat-1 for atmospheric CO2 and the LuTan-1 for global surface deformation, a Terrestrial Ecosystem Carbon Inventory Satellite to be launched in 2022, and three missions that passed the Phase II study and planned for near future—the Ocean Surface Current multiscale Observation, the Terrestrial Water Resources Satellite. Climate and Atmospheric Components Exploring Satellites (CACES), followed by the conclusion.
Progress of Fengyun Meteorological Satellites Since 2020
ZHANG Peng, XU Zhe, GUAN Min, XIE Lizi, XIAN Di, LIU Chang
2022, 42(4): 724-732. doi: 10.11728/cjss2022.04.yg14
Abstract:
China’s efforts to develop Fengyun meteorological satellites have made major strides over the past 50 years, with the polar and geostationary meteorological satellite series achieving continuously stable operation to persistently provide data and product services globally. By the end of 2021, 19 Chinese self-developed Fengyun meteorological satellites have been launched successfully. Seven of them are in operation at present, the data and products are widely applied to weather analysis, numerical weather forecasting and climate prediction, as well as environment and disaster monitoring. Since the last COSPAR report, FY-4B, the first new-generation operational geostationary satellite, and FY-3E, the first early-morning orbit satellite in China’s polar-orbiting meteorological satellite family have been launched in 2021. The characteristics of the two latest satellites and the instruments onboard are addressed in this report. The status of current Fengyun Satellites, product and data service and international cooperation and supporting activities has been introduced as well.
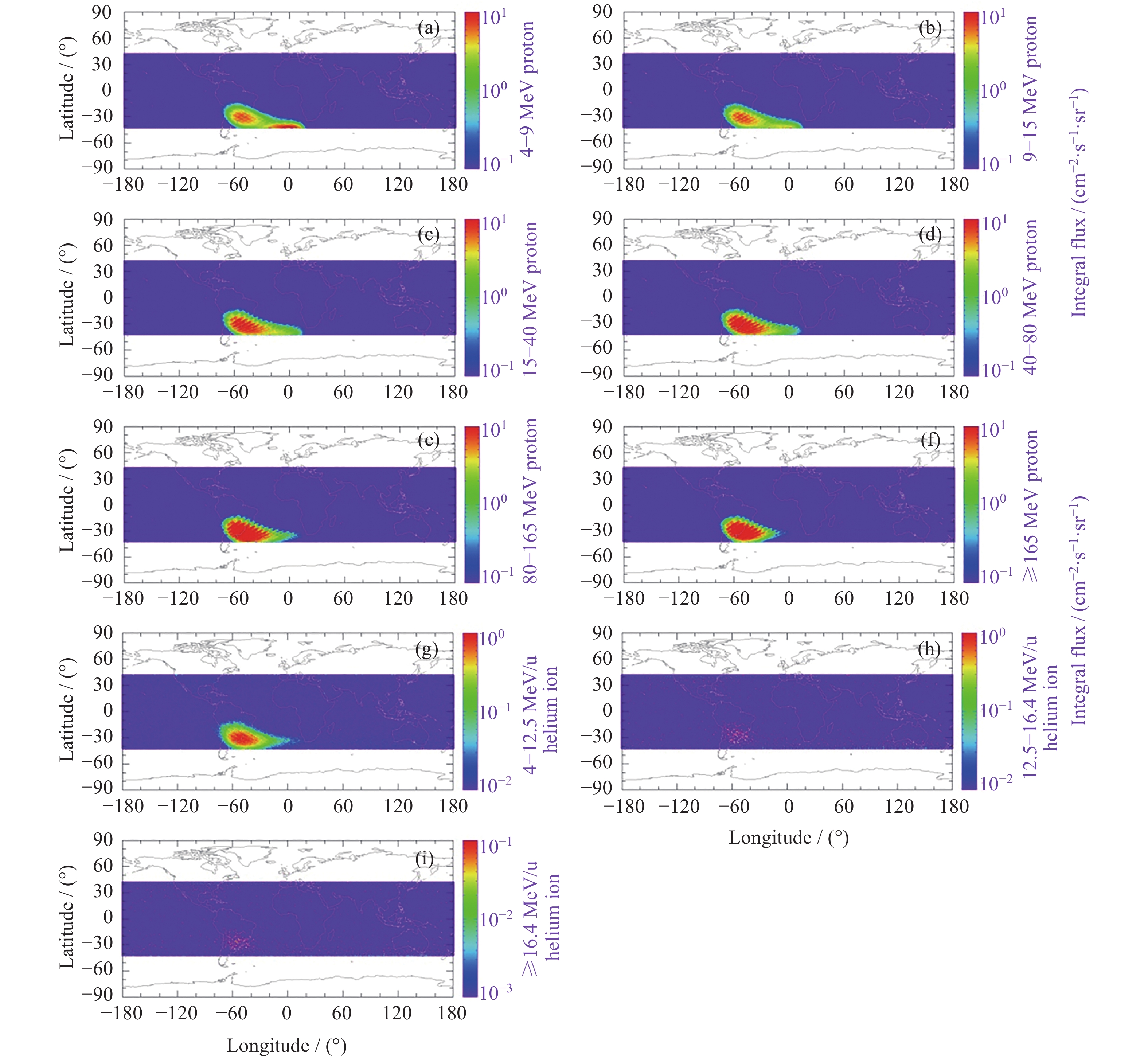
Space Environment Measurements and Applications on the Tianhe Core Module of China Space Station
LIU Siqing, SUN Yueqiang, ZHONG Qiuzhen, WEI Fei, LIN Ruilin, LI Zhitao, REN Tingling, LI Yongping, ZHANG Xianguo, ZHANG Shenyi, LUO Bingxian, CHANG Zhen, WANG Chunqin, PENG Songwu, AI Jiangzhao
2022, 42(4): 744-753. doi: 10.11728/cjss2022.04.yg16
Abstract:
Tianhe Core Module of China Space Station (CSS) equips a set of instruments consisting of a Particle Fluxes and Solar Activity Detector (PFSAD) and two Atmospheric Density Multi-directional Detectors (ADMDs). The PFSAD is to measure X-rays from the Sun and energetic particles in the low-latitude and low altitude regions, including electrons, protons, and helium ions. The ADMDs are to measure thermospheric atmospheric density. The instruments provide real-time data of the orbital space environment, including solar flares, energetic particle variation and thermospheric density enhancement. All the data contribute to the CSS space weather service for mission control and astronaut’s safety. The paper gives preliminary analyses of the space environment measurements from the PFSAD and the ADMDs. By further analysis, the 1024-channel fine spectra of the solar X-ray can be used to study the mechanism of solar flares and their impacts on the Earth’s atmosphere. Data accumulation will be helpful for analyzing mid-term and long-term variations of the South Atlantic Anomaly and atmosphere density. Furthermore, the data are useful to calibrate previous empirical models and establish new models to study the space environment.
Progress of Planetary Science in China
HUI Hejiu, RONG Zhaojin, ZHANG Jinhai, HU Sen, LIN Honglei, WEI Yong, LIN Yangting
2022, 42(4): 754-771. doi: 10.11728/cjss2022.04.yg22
Abstract:
The national and international progress in deep space exploration has greatly promoted the development of planetary science in China. Substantial progress in different areas of planetary science has been achieved in 2020–2022. In this report, we summarize the research achievements obtained in China in the last three years. The achievements include the research on geology, geochemistry, and space physics of the Moon, Mars, Mercury, Venus, giant planets, asteroids, and comets. The recent work on science objectives, mission payloads, and analytical capabilities that supports the lunar and deep space exploration program of China has also been introduced in this report. Finally, we report the progress on developments of discipline and research team of planetary science in China.
Recent Progress of Microgravity Science Research in China
ZHAO Jianfu, DU Wangfang, KANG Qi, LAN Ding, LI Kai, LI Weibin, LIU Y C, LUO Xinghong, MIAO Jianyin, WANG Qinggong, WANG Shuangfeng, ZHANG Tao, ZHANG Xingwang, ZHANG Yonghai, ZHENG Huiqiong
2022, 42(4): 772-785. doi: 10.11728/cjss2022.04.yg23
Abstract:
Microgravity science is an important branch of space science. Its major objective is to study the laws of materials movement in microgravity, as well as to reveal the influence of gravity on the movement of materials in different gravity environments. Application researches relevant to these basic studies are also important contents of microgravity science. The advanced subjects, to some extent, reflect the ability of human beings to understand nature and the R&D level in this field in various countries. In this paper, the recent progress and the latest achievements of microgravity science and application researches in China aboard space platforms such as the Core Capsule Tianhe of the China Space Station (CSS) and satellites, as well as utilizing ground-based short-term microgravity facilities such as the Drop Tower Beijing and TUFF, are summarized, which cover the following sub-disciplines: microgravity fluid physics, microgravity combustion science, space materials science, space fundamental physics, space bio-technology, and relevant space technology applications.
Advances in China Space Medical Experiment Research
CHEN Hailong, LIU Zhaoxia, WANG Lidong, DING Bai, SHI Liujia, WANG Chunyan, MI Tao, YU Hongqiang, ZHAO Rui, WANG Honghui, CHEN Chao, QU Lina, MA Honglei, JIANG Changhua, LI Yongzhi, WEI Ming, LI Zhili, XU Chong, ZANG Peng, CAO Ping, LI Yinghui
2022, 42(4): 786-794. doi: 10.11728/cjss2022.04.yg31
Abstract:
In 2021, China Space Station (CSS) was assembled and constructed in-orbit, which provided a broad space platform for space medicine and space life sciences research. Space medicine focuses on the systematic risks that restrict long-term manned spaceflight. It carries out systematic research on the impact and countermeasure technology of long-term weightlessness on astronauts’ health, space radiation on astronauts’ health, behavior and ability, advanced on-orbit monitoring and medical disposal technology, and traditional space medical application technology by the space medicine experiment platform on human body and cell. It has accumulated valuable data on space environmental effects and human factors research, established a “human system risk” research system, obtained new knowledge and discoveries of space medicine, and explored countermeasure technologies of new characteristics. Moreover, a series of achievements have been made in the basic research on the mechanism of the special space environmental effect, which provides a solid foundation for the implementation of space missions.
Space Life Science in China
MA Hong, ZHANG Chen, LI Yujuan, LÜ Xuefei, LI Xiaoqiong, ZHANG Ying, YANG Chunhua, LIU Huayan, FAN Yunlong, DENG Yulin
2022, 42(4): 795-802. doi: 10.11728/cjss2022.04.yg17
Abstract:
With the further advancement of China’s major manned spaceflight project, the national space laboratory was successfully built. China has also made considerable progress and breakthroughs in the field of space life sciences. This paper reviews the related biological effects under space flight conditions, mainly including epigenetic effects, skeleton remodeling and peripheral body fluid circulation effects, as well as the research and application of space life science related biotechnology in the field of microbial culture and biological regeneration life support system.
Progress on Space Materials Science in China: Debris Shielding Fibrous Materials and High Specific Energy Lithium Sulfur Batteries
WU Nan, LIU Shuangke, ZHANG Xiaoshan, SUN Weiwei, ZHENG Chunman, WANG Yingde
2022, 42(4): 803-811. doi: 10.11728/cjss2022.04.yg24
Abstract:
The development of China’s space industry puts forward urgent requirements for high-performance debris shielding materials and high energy density rechargeable battery. In this review, the recent progress on debris shielding fibrous materials and high energy density Li-S battery are particularly summarized. According to the experimental results, basalt fibers and silicon carbide fibers were chosen as the effective filling shielding materials. The geometric structure of fabrics was also investigated. For the novel shielding materials, high-strength and flexible silicon carbide micro-nano fibrous membranes were designed and fabricated. The obtained membranes with excellent mechanical properties portend the potential applications in debris protection structure. Furthermore, the high specific energy lithium sulfur batteries have made remarkable progress in fundamental research and application research in recent years. In order to solve the key problems of polysulfides shuttle and slow redox kinetics in lithium sulfur battery, a series of transition metal compound@hollow carbon-based material as sulfur host with dual functions of catalysis and adsorption towards polysulfides were designed and constructed. The obtained Li-S pouch cells with high areal sulfur loading of 6.9 mg·cm–2 yield exceptional high practical energy density of 382 W·h·kg–1 under lean electrolyte of 3.5 μL·mg–1, demonstrating the great potential of realistic high-energy Li-S batteries.
Progress of Materials Science in Space Technology in China (2020–2022)
WEI Qiang, LIU Yue, XIA Chaoqun
2022, 42(4): 812-823. doi: 10.11728/cjss2022.04.yg25
Abstract:
In this paper, the main research work and related reports of materials science research in China’s space technology field during 2020–2022 are summarized. This paper covers Materials Sciences in Space Environment, Materials Sciences for Space Environment, Materials Behavior in Space Environment and Space experimental hardware for material investigation. With the rapid development of China’s space industry, more scientists will be involved in materials science, space technology and earth science researches. In the future, a series of disciplines such as space science, machinery, artificial intelligence, digital twin and big data will be further integrated with materials science, and space materials will also usher in new development opportunities.
Progress of China’s Space Debris Research
LIU Jing, YANG Xu, CHENG Haowen, JIANG Hai, ZHANG Yao, WANG Yueer
2022, 42(4): 824-829. doi: 10.11728/cjss2022.04.yg26
Abstract:
China has continually worked on space debris research, complying with the White Paper “China’s Space Program: A 2021 Perspective”. This paper aims to clarify China’s research and application progress from 2020 to 2021 in space debris observation, prediction, protection, and mitigation. In this context, it also summarizes the space debris mitigation efforts made by the Chinese government and provides the expectation of future direction for the work.
Progress of Planetary Defense Research in China
LI Mingtao, WANG Kaiduo
2022, 42(4): 830-835. doi: 10.11728/cjss2022.04.yg27
Abstract:
Near-Earth Asteroids (NEA) impose potential major disaster to humanity. Planetary defense is an inevitable requirement for the survival of human civilization. In recent years, China has made rapid progress in planetary defense research, which has won the attention of the government and attracted more and more scholars and organizations. This paper summarizes the research progress in planetary defense in China in recent years, including the fireball events in China, academic activities and policy planning, monitoring and warning technology, on-orbit defense technology, impact hazard assessment, international cooperation and science popularization.
Progress of Radiation Belt Exploration by a Constellation of Small Satellites TGCSS/SGRB, COSPAR
WU Ji, YANG Xiaochao, DAI Lei
2022, 42(4): 836-840. doi: 10.11728/cjss2022.04.yg18
Abstract:
A COnstellation of Radiation BElt Survey (CORBES) program is proposed by the Sub-Group on Radiation Belt (SGRB) of TGCSS, COSPAR. The CORBES mission is expected to have a constellation of 10-plus small/CubeSats to take an ultra-fast survey of the Earth’s radiation belt. The general science goal for CORBES is to investigate two groups of physical processes related to the radiation belts: wave-particle interactions and radial transport. This mission is an international multilateral cooperation mission, an open and sharing data policy will be implemented. The data set of observations will be shared within the contributors of the constellation and the broad research community at large, then would be of great use for comprehensively understanding the dynamics of magnetospheric energetic populations and developing more standard models of the Earth’s radiation belts. Furthermore, from the application perspective, the ultra-fast survey of the radiation belt could serve as an important facility for monitoring space weather of the Earth as well.