2025 Vol. 45, No. 2

Space Physics
Magnetic Type Classification of Sunspot Groups Based on Deep Learning
YIN Yao, LI Yiyang, HUANG Shiyong, XU Sibo, YUAN Zhigang, WU Honghong, JIANG Kui, XIONG Qiyang, LIN Rentong
2025, 45(2): 253-265. doi: 10.11728/cjss2025.02.2024-0100
Abstract:
Solar activity, as a significant manifestation of energy release and material movement in the solar atmosphere, is the main disturbance source of space weather. The violent solar activity represented by sunspots may lead to drastic changes in the near-earth space environment, and then have a profound impact on human production and life. Accurate and efficient prediction of space weather is helpful to reduce its impact on human production. In this paper, a magnetic type classification model of sunspot Mount Wilson based on squeeze-and-excitation module and deep residual network is established by using the continuum map and magnetogram map data observed by the HMI instrument on the Solar Dynamics Observatory (SDO) from 2010 to 2017. In order to effectively avoid the problem of model overfitting caused by the continuity of time series, this paper uses the time series segmentation method to divide the data set, and applies the data augmentation strategy combined with the characteristics of sunspot images to improve the generalization ability of the model. The experimental results show that the model proposed in this study can perform the task of sunspot classification accurately, especially in the recognition of complex sunspots, and its recognition ability has been significantly improved compared with traditional methods. In addition, this paper uses the class activation mapping method to visualize the test set samples, analyzes the feature images extracted from the model and the classification basis, so as to improve the interpretability of the model.
Preliminary Analysis of Observation Data by High Frequency Radars of the CN-DARN
LI Hang, ZHANG Jiaojiao, WANG Wei, DENG Xiang, LAN Ailan, ZHANG Runzhi, YAN Jingye, WANG Chi
2025, 45(2): 266-276. doi: 10.11728/cjss2025.02.2024-0057
Abstract:
China Dual Auroral Radar Network (CN-DARN) has established three stations and six high-frequency coherent scatter radars in Siziwang, Inner Mongolia Longjing Jilin, and Hejing Xinjiang. This paper utilizes the wide-area high-precision ionospheric irregularities autonomous detection data produced by the six mid-latitude high-frequency coherent scatter radars: Siziwang East Radar (SZE), Siziwang West Radar (SZW), Longjing East Radar (LJE), Longjing West Radar (LJW), Hejing East Radar (HJE), and Hejing West Radar (HJW). According to the time line of the construction of the radar station, the observation results of each radar in the geomagnetic quiet period and geomagnetic storm period are presented in this paper. Then we compared the data of the six high-frequency radars with other international SuperDARN radars (such as Jiamusi Radar, JME; Hokkaido Radars, HOK, etc.). Further, the ionospheric convection map of the northern hemisphere was obtained by using all the SuperDARN radar data observed during the magnetic storm. The analysis results show that the plasma convection observed by six high frequency radars in the northern mid-latitude of the CN-DARN is consistent with the typical characteristics of ionospheric convection during the magnetic storm. The analysis in this paper confirms the validity of the mid-latitude HF radar data of the CN-DARN, and lays a foundation for the scientific output of the subsequent mid-latitude high frequency radar data.
Long-time Simulation of Stiff Chemical Kinetics Using Conservation-constrained Physics-informed Neural Network
FANG Hanmin, HUANG Wenlong, WANG Zihan
2025, 45(2): 277-287. doi: 10.11728/cjss2025.02.2024-0149
Abstract:
Long-term simulation of Partial Differential Equations (PDEs) holds significant applications across various fields, including space physics and atmospheric science. Conventional numerical techniques, such as the finite difference, finite element, and finite volume methods have been extensively employed to solve PDEs across various disciplines. However, these methods often struggle with dimensional curse and complex geometry. In recent years, Physics-Informed Neural Network (PINN), which integrates physical laws within deep learning frameworks, has emerged as a powerful alternative for solving PDEs. Since PINN and its variants are mesh-free, they can avoid dimensional curse to a certain degree. Nonetheless, deep learning related approaches frequently encounter optimization challenges, particularly when applied to multi-time scale issues such as stiff chemical kinetics equations, which involve multiple reactions with different rates, leading to both fast and slow dynamics coexisting. To address these issues, this study introduces a novel Conservation-Constrained Physics-Informed Neural Network (CC-PINN) approach. This method combines shared-branch networks with a segmented sampling strategy. First, the shared-branch networks can effectively deal with coupling equations and reduce the difficulties during the optimization of neural networks. On the other hand, the conservation constraint is embedded into the loss function, ensuring the conservation of physical laws and the accuracy of the simulation results, which significantly improves the performance of PINN. At the same time, according to the dynamics of chemical kinetics in different time intervals, the segmented sampling strategy is adopted, which further improves the accuracy and stability of long-term simulation. In addition, the influence of different expressions of conservation constraints has also been discussed. Experimental results clearly show that, by combining the shared-branch networks and segmented sampling strategy, the new proposed CC-PINN can accurately integrate the stiff chemical kinetics equations in a long-time scale. In summary, this research contributes a new tool for solving problems, such as collisionless plasma fluctuations and interstellar matter chemical reaction, in space science.
Planetary Science
Progress in Mineral Exploration and Sample Collection by Perseverance Rover on Mars (2021-2024)
HUANG Wenbo, CAO Haijun, XIN Yanqing, ZENG Xiaojia, CHEN Jian, LIU Ping, SU Mingyu, ZHANG Ruize, QU Hongkun, SHI Erbin, LIU Changqing, XU Xuesen, LING Zongcheng, WU Xing
2025, 45(2): 288-309. doi: 10.11728/cjss2025.02.2024-0119
Abstract:
NASA’s Perseverance Mars rover successfully landed in Jezero crater (18.4°N, 77.7°E) on 18 February 2021, and has been operating for nearly four years (2021-2024). To achieve these goals, Perseverance is equipped with four spectrometric payloads: SuperCam, Mastcam-Z, Scanning Habitable Environments with Raman and Luminescence for Organics and Chemicals (SHERLOC) and Planetary Instrument for X-ray Lithochemistry (PIXL), allowing for detailed elemental and mineral analyses of surface materials. Comprehensive analyses have been conducted across several key geological units within Jezero crater, including the crater floor, delta front, upper fan, and margin unit. Each area’s unique mineral compositions have been documented, revealing important information on Mars’ geological and environmental evolution. The results indicate that Jezero crater region has undergone multiple aqueous alteration processes, leaving mineral evidence of historical water activity. These findings suggest that the region, especially the west delta, was once exposed to prolonged aqueous environments, potentially providing insights into Mars’ paleoclimate, water salinity and possible habitability. Using its Sampling and Caching Subsystem (SCS), Perseverance has collected 21 rock core samples from various geological units, including igneous rocks from the crater floor and sedimentary rocks from the delta. These samples will undergo detailed analyses on Earth, expected to yield valuable insights into Mars’ magmatic evolution, sedimentary history, water-rock interactions, geological development, and potential biosignatures. In summary, the comprehensive data collected by Perseverance has expanded our understanding of Mars, particularly Jezero crater, and provides a foundational reference for future Mars exploration and sample return missions, including China’s Tianwen-3 mission.
Adsorption Mechanism of NaY Zeolite on Space Contaminants in the CO2-rich Atmosphere of Mars
FENG Aihu, DAI Jieyan, GAO Xu, ZHANG Qingchun, YU Yun
2025, 45(2): 310-316. doi: 10.11728/cjss2025.02.2024-0161
Abstract:
Zeolite can effectively collect space contaminants in real time, which is a new approach to control the space molecular contamination. During the long-duration flight, the Mars probe faces not only a high-vacuum environment, but also a special CO2-rich environment in the Martian atmosphere. In order to overcome the molecular contamination of the highly sensitive analyzers and other optical sensitive parts of the Mars probe, and as well as to reduce the possibility of false-positive signs of life caused by the molecular contaminant, there is an urgent need to verify whether the zeolite molecular adsorption coating can be applied to Mars probe mission. In order to simulate the special Martian atmospheric environment, this work focuses on the adsorption behavior of NaY zeolite on toluene under CO2 atmosphere. It is confirmed that CO2 molecules are mainly adsorbed at the β-cage site of NaY zeolite, while toluene molecules are prefer-entially adsorbed at the “super-cage” site. So the NaY zeolite is fully applicable under the real CO2-rich conditions in Martian atmosphere, and the adsorption properties of the coating on the low concentration molecular pollutants are not affected.
Research on NRHO-Based Lunar Global Positioning System
JIN Shoucong, CHENG Yu, LIU Lei, CHEN Gang
2025, 45(2): 317-327. doi: 10.11728/cjss2025.02.2024-0151
Abstract:
In order to meet the increasing requirement of lunar global positioning services for future lunar exploration and exploitation missions, the Lunar Global Positioning System (LGPS) using the Near Rectilinear Halo Orbit (NRHO) as a reference orbit is proposed. First, multiple constellation configuration schemes are designed, considering configuration parameters such as orbit distribution, satellite number, orbit size, etc. Then, the impact of different constellation configuration parameters on the navigation performance of the LGPS constellation is analyzed, including the number of visible satellites, the lunar global coverage characteristics and the Geometric Dilution of Precision (GDOP, $ {\sigma }_{\mathrm{G}\mathrm{D}\mathrm{O}\mathrm{P}} $). Simulation results show that, compared with the Halo orbit case, the NRHO-based LGPS is superior in the continuous coverage and positioning accuracy ($ {\sigma }_{\mathrm{G}\mathrm{D}\mathrm{O}\mathrm{P}} $ < 3) within the lunar high latitude region, especially in the lunar polar region. This study can provide technical reference on the navigation and positioning service for future lunar exploitation missions.
Photometric Analysis of Lunar Regolith Based on the Bidirectional Reflectance Data of Apollo Samples
GU Yaya, YANG Yazhou, LIU Jianzhong, ZHANG Li
2025, 45(2): 328-339. doi: 10.11728/cjss2025.02.2024-0153
Abstract:
To provide a parametric basis for photometric correction or spectral unmixing of lunar surface spectral data, as well as to understand the physical properties of the lunar soil, it is essential to comprehensively investigate the light scattering characteristics of lunar soil under various observational angles. The Hapke model is widely used for photometric analysis of the lunar surface. However, the derived photometric parameters of the lunar soil often exhibit discrepancies. These discrepancies arise from the varying combinations of model parameters selected in different studies, which hinders direct comparative analysis. To better understand the photometric properties of the lunar soil, this paper conducted photometric analysis using the Hapke model with various parameter combinations, based on the bidirectional reflectance data from six distinct Apollo lunar soil samples. This approach enabled the acquisition of photometric parameters for both mare and highland lunar soils. Additionally, a comparison was made between the applicability of the two-term Legendre phase function and the Henyey-Greenstein phase function in lunar soil photometric analysis, as well as between the three-parameter and five-parameter Hapke models. The results indicate that the highland lunar soils exhibit more backscattering than the mare lunar soils for both the 5-parameter and 3-parameter Hapke model. The 5-parameter Hapke model outperforms the 3-parameter Hapke model in describing the scattering properties of lunar soil across varying observing angles, particularly for spectral data measured at identical phase angles but different emission angles. The 5-parameter Hapke model includes the additional parameters of porosity factor and photometric roughness, compared to the 3-parameter Hapke model, which incorporates the single-scattering albedo and two phase function parameters. The derived photometric roughness, ranging from 17.4° to 24.6°, may serve as a reference lower limit for photometric analysis of the lunar surface. The analytical results presented in this paper can serve as a reference for model selection and subsequent interpretation in the processing of lunar soil spectral data.
Space Earth Science
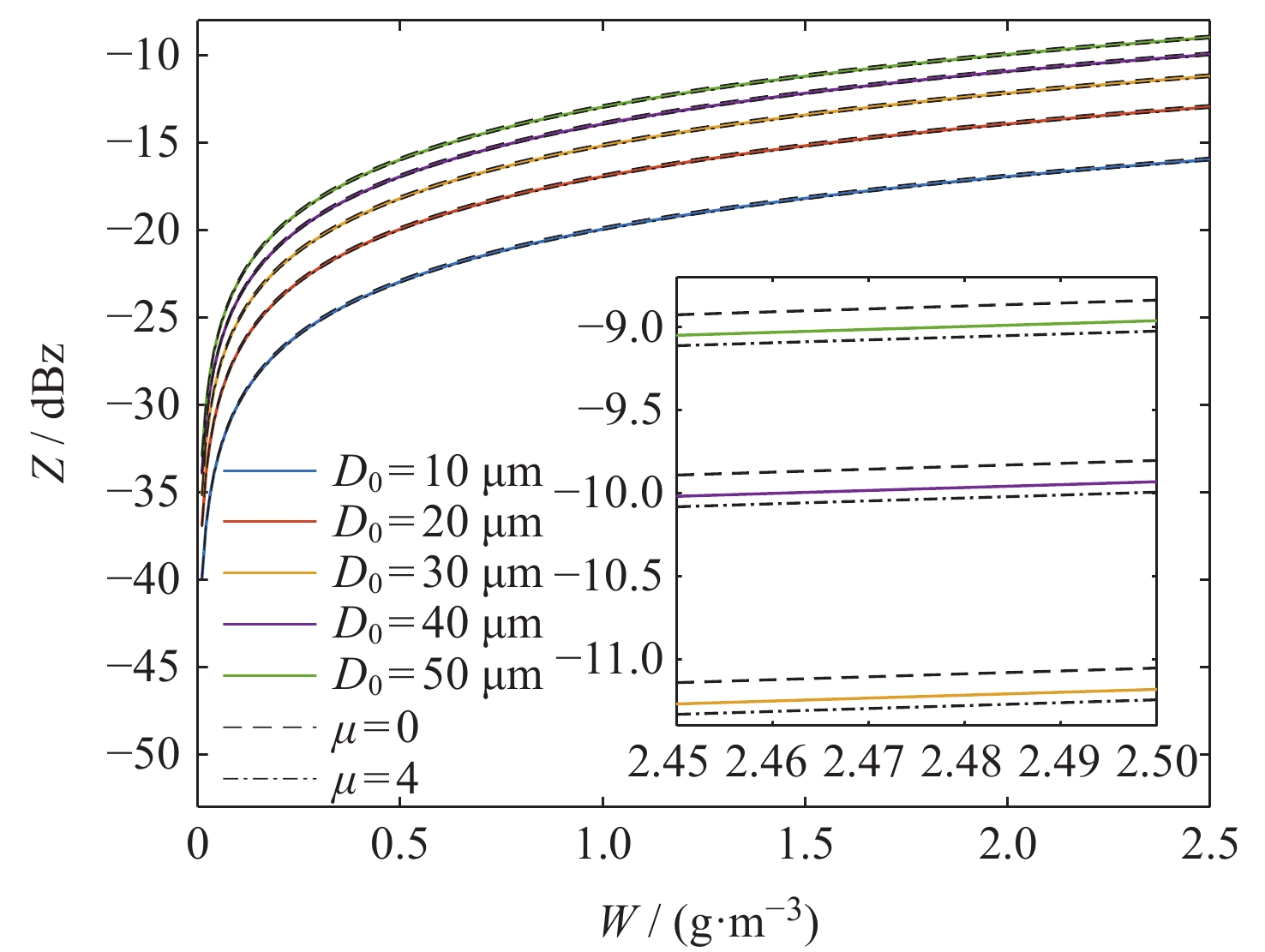
Simulation Study on the Detection Signal of Atmospheric Wind Field within Clouds Using Spaceborne W-band Doppler Radar
YE Han, ZHANG Zijin, DONG Xiaolong, ZHU Di, ZHANG Jingyu
2025, 45(2): 340-352. doi: 10.11728/cjss2025.02.2024-0189
Abstract:
The detection of the global three-dimensional atmospheric wind field plays a crucial role in improving the accuracy of numerical weather prediction, enhancing the ability of meteorological disaster early warning, and ensuring the safety of aerospace activities. At present, the main methods for detecting the atmospheric wind field include ground-based wind profile radars, spaceborne Doppler lidars, and millimeter-wave cloud radars, etc. Ground-based wind profile radars are difficult to deploy in oceanic and remote terrestrial areas, making it impossible to achieve global networked observations. Spaceborne Doppler Lidars can accurately detect the atmospheric wind field in clear-sky regions, but they are unable to obtain data on the wind field within clouds. Compared with lasers, millimeter waves have better penetration capabilities and possess unique advantages in the detection of the wind field within clouds. However, existing spaceborne millimeter-wave cloud radars cannot provide information on the horizontal wind field. Spaceborne millimeter-wave cloud radars with a conical scanning system can achieve the detection of the three-dimensional atmospheric wind field within clouds. In this paper, a signal simulation system for the atmospheric wind field detection within clouds by a spaceborne W-band Doppler radar was established, which provided a theoretical basis and technical reference for in-cloud wind field detection. The required elements of the signal simulation system include atmospheric profile data, reflectivity factor, attenuation coefficient, radar system parameters, spaceborne observation geometry, echo signal amplitude, echo signal frequency, echo signal phase, echo signals, and radial velocity. The system processes actual cloud profile data and simulates radar echo signals to estimate the radial wind speed. The effects of Signal-to-Noise Ratio (SNR) and pulse-pair cumulative number on the estimation accuracy of radial wind speed were systematically analyzed. The results show that for a spaceborne W-band Doppler radar, when the polarization pulse interval is not greater than 20 μs, the polarization diversity pulse-pair technique can achieve a wind speed detection range of 0 to 40 m·s–1, effectively obtaining high wind speed products within clouds. The estimation accuracy of radial wind velocity is positively correlated with the increase in SNR and the number of pulse-pair accumulations. Under the index conditions of the radar system described in this paper, when the SNR is 0 dB and the number of pulse-pair accumulations is 64, the estimation accuracy of the radial wind speed is 1.34 m·s–1, which can meet the wind measurement accuracy requirement of 2 m·s–1 for numerical weather prediction.
Sensitivity Analysis on the Retrieval of Significant Wave Height Using Fengyun-3E GNSS-R
HUANG Feixiong, XIA Junming, YIN Cong, SUN Yueqiang, BAI Weihua, ZHAI Xiaochun, XU Na, CHEN Lin, HU Xiuqing
2025, 45(2): 353-363. doi: 10.11728/cjss2025.02.2024-0093
Abstract:
The Global Navigation Satellite System Reflectometry (GNSS-R) is a new ocean remote sensing technique using L-band forward quasi-specular scattering navigation signals. After comparing the similarities and differences between GNSS-R and other microwave remote sensing techniques, two methods of retrieving Significant Wave Height (SWH) by GNSS-R are proposed: one is a direct method using the leading edge slope of the normalized delay waveform; the other is indirect based on the sea surface roughness measurement. The feasibility and sensitivity of the two methods are analyzed through theoretical model and actual measurements from Fengyun-3E data. The results show that due to the low ranging accuracy from GNSS signals bandwidth, the leading edge slope is almost insensitive to SWH, which cannot be used for retrieval; the sea surface roughness from GNSS-R can be used to retrieve SWH with an accuracy of about 0.5~0.55 m. Although it still has some limitations, it can be used as a good supplementary means to obtain SWH data. The results of this paper can also provide guidance for the design of future GNSS-R satellite missions.
Analysis of the Effect of the Fengyun-3D Satellite Microwave Humidity Sounder (MWHS-II) Data Assimilation on Typhoon “YAGI” Forecast
FENG Yuxuan, HE Jieying, MA Gang
2025, 45(2): 364-382. doi: 10.11728/cjss2025.02.2024-0201
Abstract:
The Fengyun-3D satellite (FY-3D) Microwave Humidity Sounder (MWHS-II) successfully monitored the Typhoon “YAGI” (2411). In this paper, a three-dimensional variational assimilation framework of FY-3D MWHS-II data in clear sky is constructed in WRFDA. By setting up a single-band and dual-band joint assimilation and prediction experiment scheme of 118 GHz and 183 GHz, the microwave data assimilation and the forecast effect on the intensity, path and precipitation of Typhoon “YAGI” are systematically evaluated. The experiment shows that the assimilation of FY-3D MWHS-II data effectively improves the quality of the analysis field, and also has a positive impact on the forecast of typhoon intensity, track and precipitation. For the typhoon forecast, the assimilation of 118 GHz and 183 GHz channels improved the typhoon path forecast by 17.18% and 13.39% respectively, and the assimilation of 183 GHz in the ocean area made the path forecast improve by 14.59%. For the precipitation forecast, the assimilation of MWHS-II data significantly improves the hit rate of medium and small rainfall levels (< 25 mm) in the initial 24 hours, among which the 118GHz channel has a unique advantage in forecasting heavy rainfall (> 50 mm); The improvement effect of 183 GHz channel gradually appeared after 24 hours, while the dual-band joint scheme showed comprehensive advantages, and the FSS score of precipitation in each magnitude was significantly improved compared with the control experiment. The differential improvement effect of FY-3D MWHS-II’s 118 GHz and 183 GHz frequency bands on different forecast elements highlights the unique application value and potential of FY-3 MWHS-II data in regional typhoon numerical forecast.
Simulation of Rotating System Microwave Scatterometer Performance and Observation of Tropical Cyclone
DONG Ziming, XU Xingou, LIU Lu
2025, 45(2): 383-396. doi: 10.11728/cjss2025.02.2024-0165
Abstract:
The observation of high speed wind fields, especially tropical cyclone wind fields, has long been an important research subject in scatterometer remote sensing. In this study, we analyzed the backscattering coefficient measurement accuracies and wind retrieval performances of the two scatterometer systems that have been operational in China: the rotating fan-beam system and the rotating pencil-beam system by simulation methods. Simulations at varying wind speed wind fields and tropical cyclone wind fields observations are conducted for both systems. Simulation results obtained with reference to the parameters of existing operational scatterometers show that the rotating fan-beam system demonstrates superior sampling capacity compared to the rotating pencil-beam system, with the vast majority of its observation views gaining a greater number of independent observation samples than 1000, whereas the rotating pencil-beam system has mainly 100~400 independent observation samples for each observation view only. This sampling advantage enables the rotating fan-beam system to achieve better performance in backscattering coefficient measurement and wind field retrieval in the simulations for wind fields with high wind speeds above 20 m·s–1. At the same time, the normalized SNR of each observation view is higher for the rotating pencil-beam system, which is about 300~600 per observation view, compared to 6~14 for the rotating fan-beam system. This SNR superiority enables the rotating pencil-beam system to maintain a more precise observation for wind fields with low and medium wind speeds below 20 m·s–1 in the simulation. This study reveals the performance characteristics of backscattering coefficient measurement and wind field retrieval of different scatterometer systems under various wind speed conditions, which is of reference significance for high speed wind fields retrieval and tropical cyclone wind fields observation. Meanwhile, the conclusions of this study also lay a foundation for subsequent research on the improvement of scatterometer wind field observation accuracy and optimization of signal processing algorithms for different scatterometer systems.
Forest Disturbance Attribution under Small Sample Conditions Based on Confidence Learning Mutual Guidance Framework
YAN Yan, WU Ling, LI Junji, ZHAO Yuxin, YE Xin
2025, 45(2): 397-412. doi: 10.11728/cjss2025.02.2024-0146
Abstract:
As the core technical means for human beings to carry out scientific research on the Earth system and the application of spatial information in multiple fields, remote sensing technology has comprehensively improved human beings’ understanding of the complex process of changes in the Earth system, and the use of remote sensing technology with spatial and temporal continuity to carry out disturbance monitoring and classification research on forest ecosystems, which are important components of the Earth’s land surface, can be more accurate and efficient. The use of remote sensing technology with spatial and temporal continuity to monitor and classify disturbances in forest ecosystems, an important component of the Earth’s land surface, can be more accurate and efficient. However, Forest disturbance attribution requires a large number of disturbance type samples, and the laborious manual labeling of high-quality samples and the sparseness of the change region itself limit the number of labelable disturbance samples. In this study, we propose a forest disturbance attribution method under small sample conditions based on the confidence learning mutual guidance framework. In this study, we first used Landsat long time-series remote sensing data to detect forest disturbances between 2000 and 2021 based on the Continuous Change Detection and Classification (CCDC) algorithm to obtain a large amount of unlabeled disturbance data, and then used a small number of manually labeled samples and the mutual guidance framework constructed with Random Forest (RF) and Categorical Boosting (CatBoost) classifiers to iteratively filter high-confidence data from the unlabeled disturbance data through confidence learning, expanding the labeled sample size of each other’s classifiers, and then guided each other's classifications to improve the classification accuracy of forest disturbance attribution. The results show that the overall accuracy of forest disturbance attribution based on the confidence learning mutual guidance framework is 91.4%. Compared with results using only a single classifier, the accuracy is improved by 5%. The method demonstrates excellent performance under small sample conditions and provides an efficient and reliable solution for forest disturbance type classification research.
Progress and Prospects of the Combined Application of Microwave Remote Sensing and Infrared Hyperspectral Remote Sensing
LI Jingyang, HE Jieying
2025, 45(2): 413-423. doi: 10.11728/cjss2025.02.2024-0195
Abstract:
With the advancement of Earth science research, single remote sensing technologies face limitations in meeting the demands for accuracy, spatiotemporal resolution, and data dimensions in complex Earth system observations. This study reviews the combined application of microwave and infrared hyperspectral remote sensing. Through literature analysis, the fundamental principles and characteristics of both technologies are explored, their applications in disaster management and ecological environment monitoring are summarized, and the progress and challenges of multi-sensor data fusion are examined. Challenges include spatiotemporal resolution mismatches, multi-sensor calibration, and data processing complexities. The findings demonstrate that integrating microwave and infrared hyperspectral remote sensing can improve observation accuracy and data coverage, supporting weather forecasting, disaster response, and ecological protection. Future work should focus on optimizing fusion algorithms and data processing techniques to transition from theoretical research to practical applications, providing robust tools for global climate change and environmental studies.
Shallow-water Bathymetry Mapping from Satellite SAR Imagery Using Deep Learning with Multiple Feature Inputs
CUI Yide, WANG Sheng, YU Yang, LIU Guihong, MA Wentao, HUANG Yan, YANG Tao, YANG Xiaofeng
2025, 45(2): 424-436. doi: 10.11728/cjss2025.02.2024-0158
Abstract:
In response to the demand for high-precision shallow sea topography inversion and to improve the limitations of optical remote sensing, this study proposes a deep-learning model utilizing multiple feature inputs to inverse shallow sea topography from spaceborne Synthetic Aperture Radar (SAR) images. For the data acquisition and dataset construction, six high-resolution Sentinel-1 dual-polarization SAR images covering the waters northeast of Hainan Island of China in 2024 under different phases and sea conditions were collected, among which six images were used for model training, while the rest were used for testing. The reference depth was obtained from ETOPO. In dataset creation, SAR images are segmented into 8×8 sub-images. The model input is designed to consist of 8 feature variables, which involve the VV polarization backscattering coefficient $ {\mathrm{\sigma }}_{0}^{\mathrm{V}\mathrm{V}} $, radar incidence angle $ \theta $, geography information (latitude and longitude), and marine dynamic environmental parameters. The model output is reference depth from ETOPO with spatial consistency. The deep learning network comprises a convolutional layer, two BottleNeck modules from ResNet, and a fully connected layer. The final model performances in retrieving shallow water depth are shown as follows: For the training set, the model achieved a Root Mean Square Error (RMSE) of 1.57 m, and the average absolute percentage error is 6.56%, with the maximum detectable water depth reaching 49.05 m. The model presented with an RMSE of 1.95 m, and the average absolute percentage error is 11.55% for the testing dataset. Additionally, there is little difference between the two scenes with different temporal and sea conditions, indicating that the model is stable and robust. Thus, the proposed model was based on the brightness patterns observed in SAR imagery, which can detect shallow-water depths up to 50 m with high precision.
Microgravity Science
Research Progress of Electrocaloric Cooling Technology and Prospect for Space Applications
CHANG Qitai, HUANG Yulong, MENG Xiangpeng, WANG Dingyuan, BAI Yisong, CHEN Xue
2025, 45(2): 437-448. doi: 10.11728/cjss2025.02.2025-0005
Abstract:
Electric card refrigeration technology is a new type of solid-state refrigeration technology that utilizes the entropy change of electrocaloric materials during the process of charging and discharging to achieve a refrigeration cycle. It has the characteristics of high energy efficiency, light weight, and no refrigerant leakage, so that it has great application prospects in fields such as aerospace refrigerators and space wearable devices. Until now, space thermoelectric cooling technology has many problems such as high-power consumption and low Coefficient of Performance (COP), which limit its application in future aerospace engineering. This article reviews and analyzes the material properties, cold and hot separation methods, and electrocaloric refrigeration devices. It introduces the research progress in the electrocaloric composition, morphology, preparation process, feasibility, and stability, summarizes the electrocaloric refrigeration principle, as well as cold and hot separation methods of active and passive ways, and summarizes the working principles of reciprocating single-stage and reciprocating cascade electrocaloric refrigeration devices. Finally, the future development direction of electrocaloric cooling technology in the field of space science was discussed.
Experimental Study of a Manifold Pin-fin Diamond Heat Sink for High Heat Flux Chips
QIAO Tong, TANG Kai, GUO Yuandong, HUANG Jinyin, LIU Jinlong, HUANG Yilong, MIAO Jianyin, LIN Guiping
2025, 45(2): 449-457. doi: 10.11728/cjss2025.02.2024-0176
Abstract:
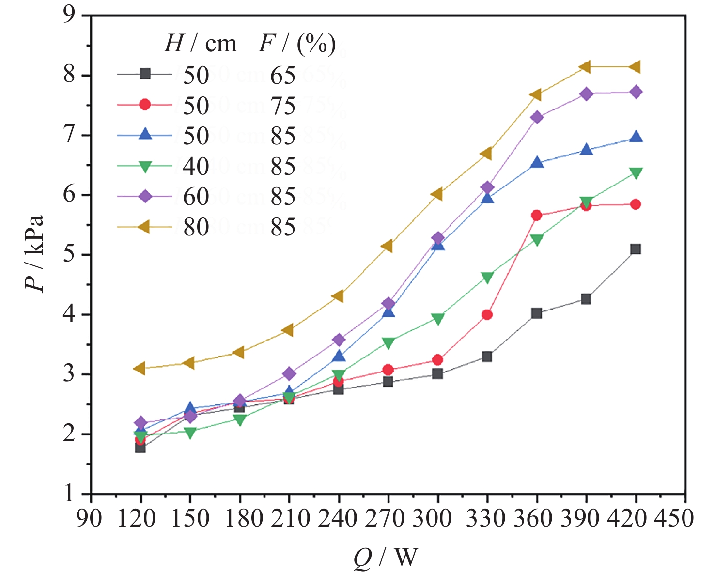
A manifold pin-fin microchannel diamond heat sink for high heat flux chips was designed and fabricated. Thermal performance of the heat sink in a pump-driven two-phase ammonia loop was investigated using a thermal test chip as a simulated heat source. Chip surface temperature of 102.5℃ with thermal resistance of 0.151 K·W–1 and pressure drop of 1.1 kPa under localized heat flow of 1510 W·cm–2 were obtained. The effects of inlet temperature, heat flux, and mass flow rate on thermal resistance and pressure drop of the heat sink were investigated, and it was found that the thermal resistance of the heat sink was minimized under higher inlet temperature conditions. Keeping all the other operating parameters consistent, the thermal resistance of the diamond manifold pin-fin microchannel radiator was 33.32% smaller and the pressure drop was 23.88% lower under 710 W·cm–2 heat flow conditions when compared with the expanded and contracted manifold microchannel radiator made of copper.
Design and Sloshing Suppression Simulation of 2.67 L Vane-type Surface Tension Tank
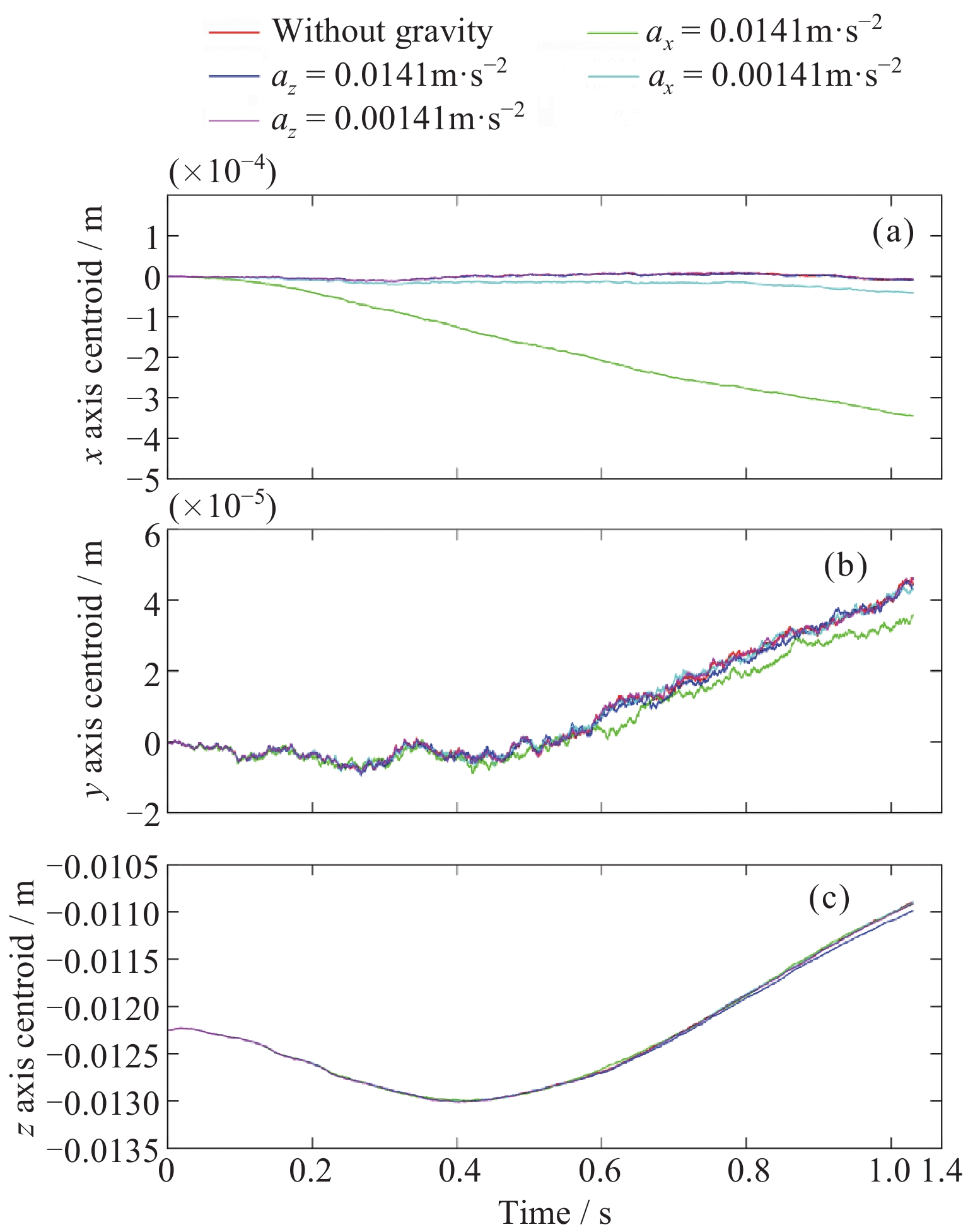
LI Guangyu, DAI Wei, HUANG Tianqi, LAI Tanghao, WU Zongyu
2025, 45(2): 458-467. doi: 10.11728/cjss2025.02.2024-0134
Abstract:
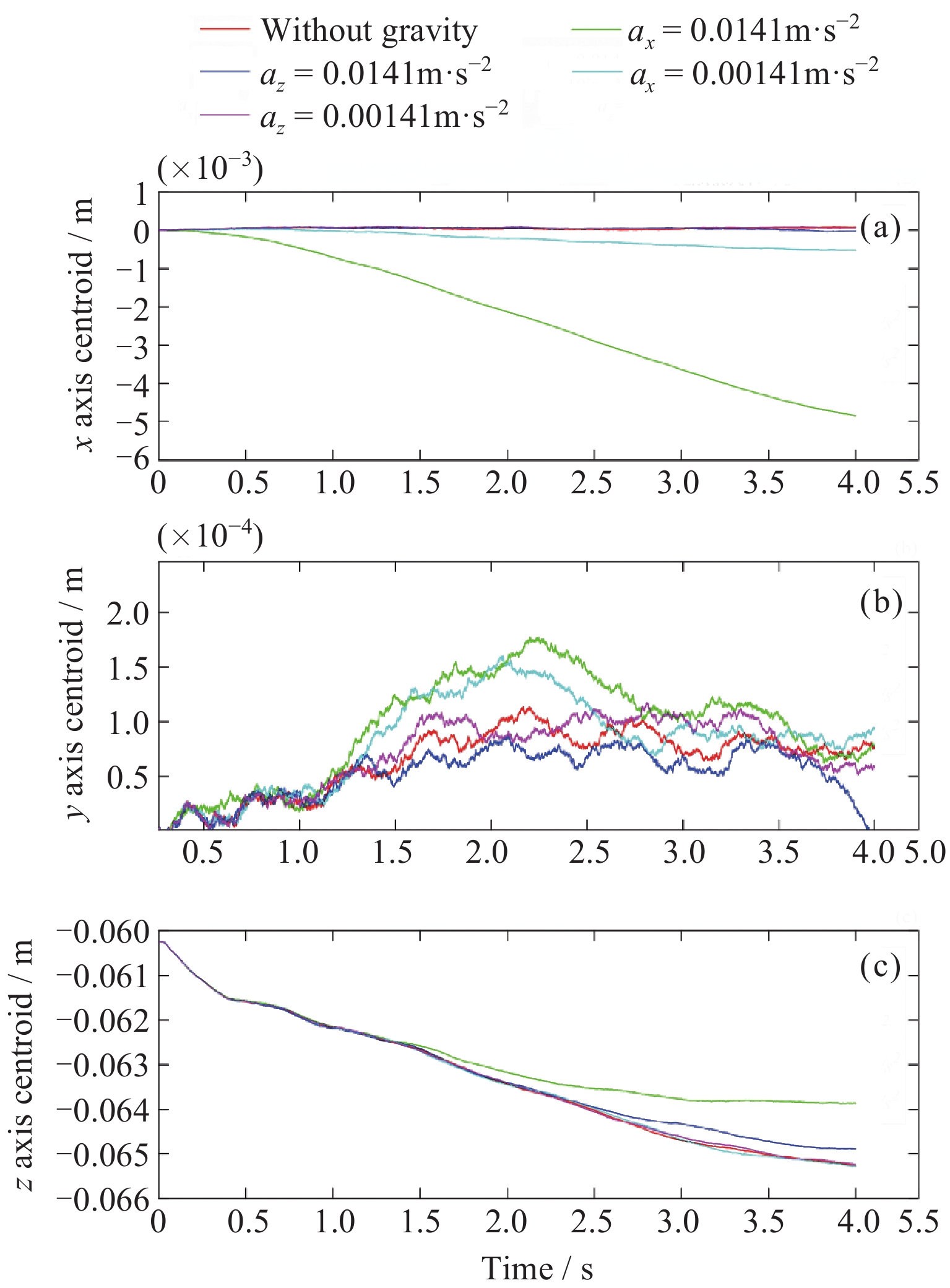
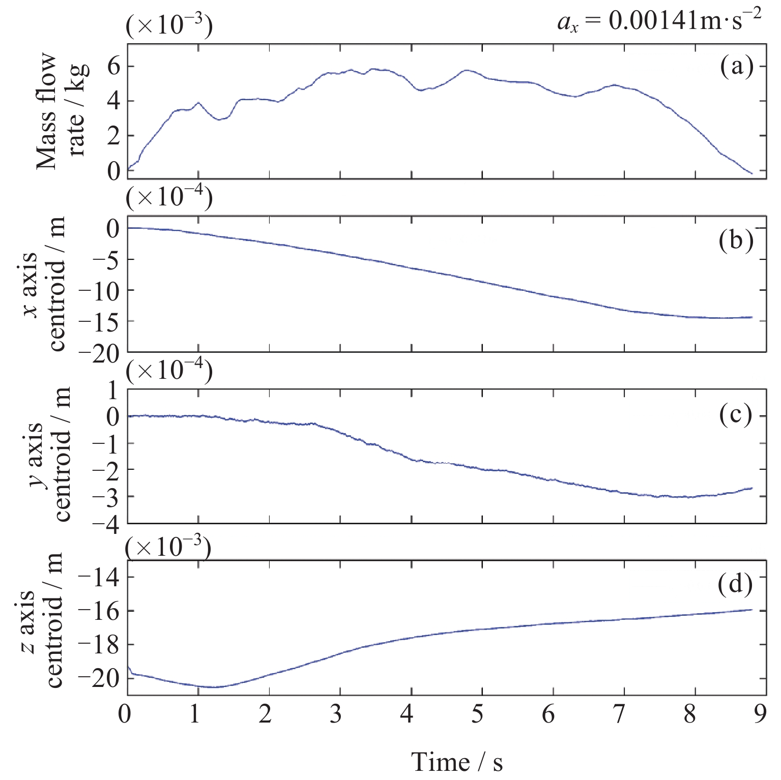
Owing to its structural simplicity and superior performance, the vane-type surface tension tank has been widely applied in many satellites. In this paper, a 2.67 L vane-type propellant tank and its Propellant Management Device (PMD) were designed for micro satellites. The design process of key components, including the tank shell, propellant reservoir, vanes and bubble screen, was described in detail. Firstly, the design of the propellant reservoir was completed based on the principle of liquid accumulation between parallel plates, and the liquid volume under different acceleration disturbances was obtained. The outline and the number of internal and external vanes was carried out based on the theory of capillary flow in corners. Secondly, a bubble screen was selected and the effectiveness of the bubble screen in typical situation was checked. Finally, by CFD simulation, the centroid variation of the propellant in the tank under different fill levels and acceleration disturbances was analyzed. The simulation results demonstrate that when the tank is subjected to 10–3g acceleration disturbances, the centroid variation of the propellant is less than 10–2 m, proving that the 2.67 L vane-type surface tension tank exhibits strong resistance to disturbances.
Experimental of Submerged Liquid Cooling Based on Loop Thermosiphon
WANG Yu, MA Xiang, ZHANG Yonghai, WEI Jinjia
2025, 45(2): 468-476. doi: 10.11728/cjss2025.02.2024-0140
Abstract:
This paper combines loop thermosiphon with server cooling to design and fabricate a circulating cooling system for simulating liquid cooling in servers. HFE-7100 was used as the working fluid to investigate the thermal startup issues of the servers under different heating powers and to explore the effects of varying liquid injection rates and the length of the adiabatic section in the vapor line (the height difference between the enclosure and the condenser) on the heat transfer characteristics of the circulation system. Additionally, the flow state within the vapor line during the experiment was analyzed. The research findings indicate that at low heating powers (90~120 W), the temperature of the simulated server enclosure firstly increases, then decreases, and eventually stabilizes. In contrast, at high heating powers (≥150 W), the enclosure temperature initially rises quickly, then increases slowly, and finally stabilizes. The phenomena observed during the thermal startup process can be divided into three stages: Stage 1 (from subcooled to evaporation), Stage 2 (initial establishment of the circulation system), and Stage 3 (full establishment of the system circulation). In Stage 3, the maximum temperature of the enclosure gradually decreases with increasing heating power, while the time required for the system to reach stable circulation increases with higher heating power. Furthermore, when the liquid injection rate is increased from 65% to 85%, the system pressure differential (the pressure difference between the enclosure and the liquid storage tank) increases by 34.7%, but the efficiency of the condenser is reduced, and the outlet supercooling degree will be reduced by 47.4%. When the length of the adiabatic section of the vapor line is increased from 40 cm to 80 cm, the system pressure differential increases by 26.6%, while the efficiency of the condenser improves, and the outlet supercooling degree is increased by 120.6%.
Space Life Science
Applications of Microfluidic Chips in Space Life Sciences
WEI Dongping, SUN Lianwen, YANG Xiao
2025, 45(2): 477-492. doi: 10.11728/cjss2025.02.2024-0155
Abstract:
Microfluidic chip, also known as Lab-on-a-Chip (LOC), represent a cutting-edge technology that enables the precise manipulation of small volumes of liquid at the microscale. In recent years, this innovative technology has garnered significant attention for its potential to revolutionize life science research in vitro. Particularly in the fields of drug screening and in vitro diagnostics, microfluidic chips offer remarkable advantages, including high throughput and high sensitivity, allowing for the rapid and accurate analysis of large numbers of samples. Moreover, these chips can be engineered to simulate the complex microstructures, microenvironments, and physiological functions of specific human organs, providing researchers with a powerful tool to study biological processes in a controlled and highly specific manner. Characterized by their compact size, minimal sample consumption, short analysis times, and low power requirements, microfluidic chips are especially well-suited for space science experiments, where resources are often limited and environmental conditions are highly complex. In space research, animal models may exhibit significant individual differences, and single-cell models often fail to accurately simulate the complex in vivo environment. Microfluidic chips effectively address these limitations by offering a more controlled and representative experimental platform. They can simulate the physiological conditions of human organs with greater accuracy and reliability compared to traditional models, making them an invaluable tool for space life science research. This article provides an overview of the development history, fabrication technology, and fluid loading methods of microfluidic chips. It traces the evolution from early concepts to today’s complex devices, discusses various fabrication techniques with their respective advantages and application scenarios, and explores loading techniques that ensure precise fluid control within the chip. Beyond these, the article also highlights the application of microfluidic chips in both terrestrial and space life sciences. From the aspects of drug screening, in vitro diagnostics, and organ-on-a-chip, it focused on how chips can advance life science research. In the context of space research, the article discusses how chips can be utilized to study the effects of microgravity on cell behavior, tissue development, and other biological phenomena. It provides a comprehensive reference for the broader application of microfluidic chips in space life science research.
Construction and Application of a Ternary Relationship Prediction Model for Microgravity Biological Knowledge Graph
ZHU Xuesong, QU Enrui, ZHU Yufeng, QUAN Yuan
2025, 45(2): 493-505. doi: 10.11728/cjss2025.02.2024-0167
Abstract:
With the advancement of science and technology, the demand for space exploration has become particularly urgent. However, the microgravity environment in space has negative impacts on the physiological and psychological health of astronauts, including decreased bone density, muscle atrophy, and changes in cardiovascular function. These challenges pose significant barriers to the realization of long-term space habitation and deep space exploration. To address these challenges, this study integrates Microgravity Biomedical Knowledge Graphs (MBKG) and Drug Repurposing Knowledge Graphs (DRKG) to construct a comprehensive knowledge graph that covers a wide range of diseases, drugs, and genes, as well as the complex relationships between entities. Based on this, the study trains and uses a new ternary relationship prediction model, Heterogeneous Causal Meta path Graph Neural Network (HCMGNN), to obtain prediction results. The results show that compared with traditional binary link prediction in knowledge graphs, the ternary prediction method proposed in this study has a significant advantage in improving the accuracy of gene and drug predictions. The study concludes that the ternary relationship model is effective and has the potential to explore the prediction of gene-drug-disease ternary relationships, provide new methods and research ideas for the physiological and psychological health of astronauts in future space exploration and drug repurposing research, and opening up new perspectives in the field of drug repurposing.
Mechanism of the Effect of Ionizing Radiation on Human B Cells Based on Network-guided Random Forest
HE Minmin, ZHU Yufeng, LÜ Xuan, TANG Guangyan, QUAN Yuan
2025, 45(2): 506-516. doi: 10.11728/cjss2025.02.2024-0055
Abstract:
With the intensification of the problems of the Earth’s population, energy and ecological environment, space immigration may become a feasible solution. In the space environment, ionizing radiation will damage the DNA and other molecular structures of human cells, causing cell mutation or death, increasing the risk of cancer and other diseases. The mechanism of the effect of ionizing radiation on human cells has become an urgent problem in the field of space medicine. In recent years, a large amount of spatial omics data has accumulated, and the development of bioinformatics technology provides a feasible way to solve the above problems. In this study, the Network Guided Random Forest (NGF) algorithm was used to investigate the response mechanism of human B cells to ionizing radiation. Based on gene function enrichment analysis, it was found that human B cells could not repair the damaged DNA normally after high dose of ionizing radiation, and a large number of cells suffered apoptosis or cancer. In addition, screening of potential anti-ionizing radiation drugs based on the cMap (Connectivity Map) database showed that natural products such as paclitaxel and zonicin may assist the human body in resisting ionizing radiation damage. This paper will lay a foundation for the analysis of the influence mechanism of space environment on human beings, and help astronauts to study the strategies of resisting space adversity.
Construction and Validation of Blood Vessel-bone Matrix Interactive Microfluidic Chip Experimental System
LIU Congjin, ZHOU Haoxiang, WEI Dongping, SUN Lianwen, FAN Yubo, YANG Xiao
2025, 45(2): 517-528. doi: 10.11728/cjss2025.02.2024-0144
Abstract:
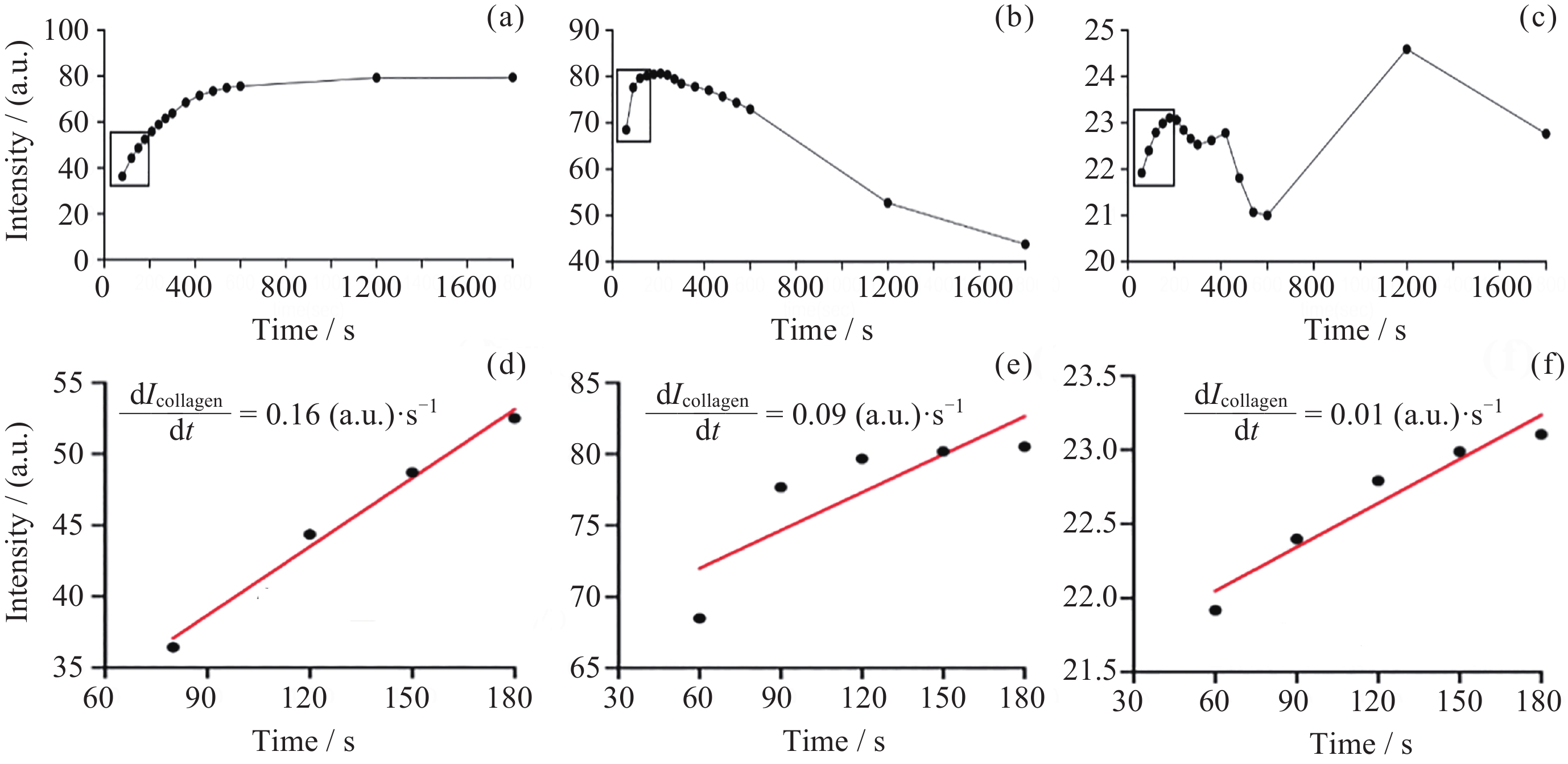
Advanced Glycation End Products (AGEs) in bone matrix are the products of non-enzymatic glycation of glucose and collagen, which are closely related to the mechanism of weightless bone loss. However, how AGEs accumulate in bone matrix remains unclear. The type L microvessels with slower blood flow velocity were increased under microgravity, which may be related to the accumulation of AGEs in bone. To study the effects of flow velocity on the transport of intravascular glucose molecules into bone matrix and the formation of AGEs in bone matrix, a bilayer channel microfluidic chip experimental system was constructed to simulate the blood vessel-bone matrix interface in vitro. A self-developed double-injection-pump continuous directional liquid supply system was applied to the chip, and the biocompatibility, stability and interorganizational interactivity of the system were verified by experiments. The results show that the fluid stress distribution in the main region of the channel in fabricated chip is uniform, and the flow is laminar. The endothelial cells in microfluidic chips could grow normally after loading high sugar medium of 2.88 mL·min–1 and 0.38 mL·min–1 for 72 h, respectively. The diffusion rate of glucose molecules from to the lower collagen channel through the microporous membrane was higher under low flow rate loading than under high flow rate loading, and more AGEs generated in collagen. The experimental system constructed in this paper has excellent biocompatibility, long-term operational stability and interorganizational interactivity, which lays a technical foundation for further in-depth research on biophysical mechanisms related to AGEs accumulation in bone matrix, and has the potential to be applied to space life science research.
Mining of Multi-omics Molecular Interaction Patterns and Identification of Key Genes in Multiple Mouse Tissues under Spaceflight Conditions
ZHANG Yan, YANG Qing, DU Xiaohui, ZHAO Lei, SUN Yeqing
2025, 45(2): 529-555. doi: 10.11728/cjss2025.02.2024-0137
Abstract:
To explore the space biological effects from a systems biology perspective, a bioinformatics analysis pipeline was developed based on Single-Sample Network (SSN) and was used to mine multi-omics molecular interaction patterns and key genes in multiple mouse tissues under spaceflight conditions. First, we collected four spaceflight mouse datasets from the GeneLab platform, which included transcriptome, DNA methylation, and proteome sequencing results from the adrenal gland, kidney, liver, and quadriceps. For each sample, four SSNs (mRNA-SSN, meth-promoter-SSN, meth-body-SSN, protein-SSN) were constructed. Next, the topological features of the nodes in each SSN were extracted, and a T-test was performed to identify the molecules with altered interaction patterns across different omics levels under spaceflight conditions. The results indicated that, although the overlap of molecules with altered interaction patterns across different omics levels was limited, the biological processes and pathways they regulated exhibited similarities, which primarily included metabolic processes, DNA damage response, cell cycle, oxidative stress, and circadian rhythms. Notably, the protein/amino acid metabolic process and nucleic acid (DNA/RNA) metabolic process appeared in multiple tissues and showed high significance. The key genes involved in multi-omics regulation were identified, including Park7, Tmed3, Rbbp7, Hunk, Rad23a, Cd36, etc. Furthermore, we constructed co-interaction networks for the transcriptome and DNA methylation, transcriptome and proteome, as well as for all three omics layers, and identified the Hub genes (such as Rbbp7, Egfr, Rpl4, Srms, Cabp4) from them. Functional analysis revealed that several key/Hub genes were involved in regulating the aforementioned biological processes. To gain further insight into the expression patterns of key/Hub genes, additional datasets from the same tissue in the GeneLab database were analyzed using DESeq2. The results revealed that several genes were also differentially expressed under spaceflight conditions in other datasets. The molecular interaction patterns altered by spaceflight might be associated with the occurrence of various diseases (such as cancer, neurological disorders, neurodegenerative diseases, cardiovascular diseases, and diabetes) and the reactivation of viruses (such as Epstein-Barr virus, herpes simplex virus, and human cytomegalovirus).
Space Materials Science
High Performance Fibers-based Space Structure and Manufacturing Materials
ZHAO Yang, HAN Cheng
2025, 45(2): 556-567. doi: 10.11728/cjss2025.02.2024-0154
Abstract:
High performance fiber has the characteristics of light weight, high strength, good chemical stability, easy structure manufacturing, etc., and has important applications in space field. In the space deployable structure, it reduces the weight of the structure by virtue of low density and high strength, improves the carrying efficiency, and has good flexibility and stability to ensure the reliable operation of the structure in orbit. In the space debris protection structure, it relies on excellent mechanical properties and impact resistance to build a solid defense line for the spacecraft in orbit safety. In terms of flexible capture nets, high strength and toughness ensure reliable and safe capture operations and help maintain track resources. With the deepening of research on lunar soil, it shows potential application value in in-situ manufacturing of lunar soil materials. Based on the latest research results of Chang’E-6 lunar soil, the development direction of lunar soil fiber manufacturing technology and lunar base construction materials is discussed. Continuous and in-depth research on the application of high-performance fibers in the space field will provide new ideas and new methods for the design and manufacture of space structures, and open up new ways for the efficient utilization of space resources.
Influence of Substrate Bias on the Microstructure, Chemical Composition and Mechanical Properties of TiN Coatings
MU Cunli, LU Xiaolong, LIU Jian, LU Yan, ZHANG Xiao, HAO Junying, WANG Qiang
2025, 45(2): 568-578. doi: 10.11728/cjss2025.02.2024-0142
Abstract:
TiN coatings were used to deposite on 9Cr18 steel substrate by High-Power Impulsed Magnetron Sputtering (HiPIMS) technology. The influence of different substrate bias voltage on microstructure, chemical composition and mechanical properties of TiN coatings were systematically investigated. The crystal phase structure of the coatings were analyzed by X-ray diffractometer, the surface and cross-section structure and the elemental composition of the coatings were analyzed by field emission scanning electron microscopy and energy dispersive spectrometer. In addition, the hardness and elastic modulus of the coatings were measured by nanoindenter, the adhesion strength of coatings were analyzed by scratch tester and optical microscope, and the compressive residual stress of the coatings were analyzed by stress tester. The results indicate that: with the increase of substrate bias voltage, the microstructure of TiN coating gradually becomes denser, and the grains are refined into triangular pyramid shape. The density of the TiN coating surface was first increased and then decreased, while the cross-sectional morphology always maintain the dense structure. In addition, the preferred orientation of coatings were TiN (200) plane. The content of Ti element in the coatings vary between 51 at% and 56 at% and the appearance color of the coatings were stable in purple. The coating was the highest hardness, about 21.2 GPa, and the highest elastic modulus was about 221 GPa when the substrate bias voltage was -150 V. At the same time, the coating also showed the maximum compressive residual stress, approximately 2.79 GPa. Under the different structure bias voltages, the adhesion strength between the TiN coatings and the substrate were excellent, ranging from 49 N to 74 N. Applying an appropriate substrate bias can increase the energy of ion bombardment on substrate surface, promoting the densification of the coatings, reducing pores, defects and improve the mechanical properties of coatings. Besides, the appropriate substrate bias also can enhance the adhesion strength between the coatings and the substrate.
Space Exploration Technology
Optimal Hybrid Attitude Control of Spacecraft in Elliptical Orbit
CAO Jialu, LANG Xiaoyu, LIU Xiangdong, CHEN Zhen
2025, 45(2): 579-587. doi: 10.11728/cjss2025.02.2024-0145
Abstract:
During the spacecraft attitude control, pure magnetic control suffers from under actuation and limited torque authority, restricting its effectiveness, particularly in elliptical orbits where the magnetic field does not vary as regularly as it does in circular orbits. This paper explores the integration of an impulse thruster alongside a magnetic torque generator, employing a combination of continuous and discrete control moments to enhance attitude maneuverability and stability. By leveraging the complementary characteristics of both control methods, a more effective attitude control strategy can be achieved. Based on this hybrid torque application, a Linear Quadratic Regulator (LQR)-based attitude control strategy is developed for spacecraft operating in elliptical orbits. The proposed control framework dynamically determines the timing and magnitude of discrete impulses to compensate for the deficiencies of pure magnetic control. By analyzing the relationship between magnetic control effectiveness and variations in the eccentricity of elliptical orbit, we identify the point at which pure magnetic control exhibits its weakest capability. At this critical moment, an appropriately impulse is applied, compensating for the system’s required control gain through discrete thrust pulses. This method ensures that the spacecraft maintains the desired attitude control effects with improved accuracy and robustness. Furthermore, the proposed hybrid control approach is evaluated through numerical simulations under given orbital and disturbance conditions. Simulation results demonstrate that the proposed hybrid LQR control method significantly enhances attitude control performance compared to purely magnetic control strategies. The introduction of pulse thrusters effectively reduces the regulation time and improves the transient performance of the system. These findings highlight the effectiveness of the hybrid control approach in addressing the challenges of spacecraft attitude regulation in elliptical orbits and provide valuable insights into advanced control methodologies for spacecraft operating.
X-ray Polarization Model and Observational Results of Magnetars
CHEN Wei, XIE Fei, GE Mingyu
2025, 45(2): 588-600. doi: 10.11728/cjss2025.02.2024-0139
Abstract:
Magnetars are a type of neutron star with extremely strong magnetic fields ranging from 1010~1011 T, which are significantly different from the properties of ordinary pulsars. They are generally associated with supernova remnants and exhibit strong activity, making them important objects for studying extreme astrophysical properties and corresponding to one type of Fast Radio Burst (FRB). The magnetic structure and the origin of the activity energy of magnetars have always been central issues in magnetar research, and thus, polarization observation information is crucial for understanding their nature. Since the launch of the Imaging X-ray Polarimetry Explorer (IXPE), in-depth observations have been conducted on four magnetars: 4U 0142+61, SGR 1806-20, 1RXS J170849.0-400910, and 1E 2259+586, marking a deepened study of their properties. This includes the verification and limitation of the magnetar polarization model. This article summarizes the observational results of these four magnetars and discusses the findings in relation to the main magnetar models, which are the rotating vector model, the resonant Compton model, and the vacuum resonance model.
Design and Calibration of High-resolution Low-noise Micro Flow Sensors for Cold Gas Thrusters
SUN Boao, DOU Shencheng, WANG Xiaoqing, YANG Shuang, YANG Chao, LIU Xuefeng, ZHENG Fu
2025, 45(2): 601-611. doi: 10.11728/cjss2025.02.2024-0147
Abstract:
Micro flow sensors are critical for the precise measurement and control of gas flow in cold gas thruster systems, directly influencing the overall performance of these systems in space applications. However, conventional micro flow sensors suffer from limitations such as low resolution, high noise, and slow response time, which restrict their effectiveness in high-precision scenarios like drag-free control for space-based gravitational wave detection. To address these challenges, this paper presents the development of a MEMS-based micro flow sensor system utilizing the constant temperature difference principle. The sensor incorporates four MEMS platinum resistors arranged in a constant temperature difference configuration. A high-precision constant temperature difference driving circuit maintains a stable temperature gradient at the sensor's detection site, ensuring enhanced measurement consistency. The sensor system employs a temperature measurement bridge, which converts minute temperature variations into electrical signals. These signals are subsequently amplified by a high-precision programmable amplifier and digitized using a 24-bit high-resolution ADC. This approach significantly reduces noise while improving measurement precision, overcoming the limitations of traditional micro flow sensors. Experimental results demonstrate that the developed micro flow sensor achieves an equivalent output noise of less than 0.126 μL·s–1·Hz–1/2 in the frequency range of 0.05 Hz to 1 Hz. Additionally, it offers an ultra-high resolution of better than 0.06 μL·s–1, a measurement range of 0 to 1000 μL·s–1, and a rapid response time of 1.2 ms. These improvements in measurement resolution, noise suppression, and response speed significantly enhance the sensor’s performance, making it well-suited for demanding aerospace applications. The advancements in this micro flow sensor system provide crucial technical support for cold gas thruster systems in space gravitational wave detection missions. By improving flow measurement accuracy and stability, this sensor contributes to the enhanced performance of drag-free control systems, ensuring the precise and stable operation of spacecraft during gravitational wave observations.
Research Progress and Fronts in Satellite-to-ground Laser Communication
ZHAO Yun, WANG Han, DONG Binbin, HAO Junbo, ZHANG Zizhuo, CHEN Shihan, YANG Chenglong, GAO Qixiang, ZHONG Xing, CHEN Maosheng
2025, 45(2): 612-628. doi: 10.11728/cjss2025.02.2024-0148
Abstract:
With the increasing amount of data generated by scientific research such as remote sensing satellite imaging and deep space exploration, conventional microwave communications are unable to meet the current transmission needs of high-speed and large-capacity satellite-to-ground communications due to limitations in bandwidth and related technologies. Laser communication technology breaks through the bandwidth limitations and becomes an important means of satellite-to-ground communications, especially suitable for the transmission of massive space science data. The system composition and experimental results of satellite-to-ground laser communications at home and abroad systematically are sorted out, including communication wavelength, communication rate, modulation method, wavefront correction technology. The key technologies for achieving stable and reliable communications, such as precise pointing, rapid acquisition, high-precision tracking, and onboard laser technology are introduced in detail. Given the impact of atmospheric turbulence on laser channels, effective suppression methods such as adaptive optics are analyzed. The development status of laser communication technology based on new structured light fields including vortex beam, vector beam, and optical pin beam is summarized. Finally, combined with the demand of space science for data transmission, the research progress of satellite-to-ground laser communications is summarized and future development direction is prospected, emphasizing its important application potential in space science and deep space exploration.
Design and Experiment of Optical Transmission Device for Laser Communication between Rotating Components on Satellite
TAN Jiaheng, YONG Qiang, XU Wei
2025, 45(2): 629-640. doi: 10.11728/cjss2025.02.2024-0160
Abstract:
Aiming to address the demand for high-capacity and high-reliability data transmission between a rotating imaging ultra-wide-field space camera and the satellite platform, a space optical transmission device based on laser communication was designed, and the high-precision optical testing and alignment scheme was studied. The device’s reliability was enhanced by installing the primary and backup collimators at both the transmitter and the receiver, with mutual backup achieved through the design of multiple optical channels. At the same time, a high-precision alignment scheme to ensure accurate measurement and alignment of the collimator’s optical axis was proposed. Finally, the modal analysis of the space optical transmission device was carried out by using the finite element analysis software MSC.PATRAN and the vibration test of the installed space optical transmission device was completed. The results show that the first-order frequency of the transmitter of the space optical transmission device is 264.25 Hz, and the first-order frequency of the receiver is 434.35 Hz. After the vibration test, the maximum optical power penalty between the transceiver collimator is 1.94 dB, and the spatial angle change of each prism reference surface normal is within 5". It shows that the space optical transmission device can overcome the influence of a complex mechanical environment during the satellite launch, has high alignment precision and reliability, and meets the requirements of laser communication data transmission between satellite-borne rotating components.