2023 Vol. 43, No. 4

Survey and Strategy
Review and Scientific Objectives of Spaceborne Gravitational Wave Detection Missions
WU Yuliang, HU Wenrui, WANG Jianyu, CHANG Jin, CAI Ronggen, ZHANG Yonghe, LUO Ziren, LU Youjun, ZHOU Yufeng, GUO Zongkuan
2023, 43(4): 589-599. doi: 10.11728/cjss2023.04.yg08
Abstract:
Spaceborne gravitational wave detection will open a new window for us to observe our universe by gravitational wave messenger in low frequency band (0.1 mHz to 1 Hz). It was believed the gravitational wave events in such frequencies have more significances in astronomy, cosmology and fundamental physics. The typical Sources include massive (intermediate) black hole mergers, extreme (intermediate) mass ration inspirals, galactic binaries and stochastic gravitational wave background. Those gravitational wave provide unique methods to study the origin and evolution of the universe, the formation and structure of the black hole, the nature of gravity and spacetime, dark matter, dark energy, etc. In recent years, the ESA-NASA joint mission LISA project had successfully launched its technology demonstration mission the LISA pathfinder and LISA had already enter phase B stage. The Chinese spaceborne gravitational wave missions such as Taiji and Tianqin also launched their technology verification satellites Taiji-1 and Tianqin-1. In this paper, we briefly introduce the recent domestic and international development trends on spaceborne gravitational wave detections, and refine in detail the scientific goals and key research fields in future development for the spaceborne gravitational wave detection and investigation. It is optimized systematically the gravitational wave astronomy and gravitational wave physics as well as gravitational wave cosmology and other relevant disciplinary layout. It is emphasized the importance and development strategy for promoting the spaceborne gravitational wave detection and research.
Space Physics
Analysis of Global Geomagnetic Main Field Model Order Based on Bayesian Evidence
MA Sen, MA Jiahui, TONG Jizhou, LI Yunlong
2023, 43(4): 600-608. doi: 10.11728/cjss2023.04.2022-0009
Abstract:
The global main magnetic field model describes the space-time distribution characteristics of the main magnetic field. The order of the main magnetic field in the model is one of the key issues to build the main magnetic field model. This paper used Bayesian inference to analyze the global geomagnetic main field model and compares model orders based on Bayesian evidence. It provided a statistical perspective for the main field order selection. Using magnetic observations from Swarm satellites, the evidence for different orders of the main field model was estimated. The results show that order N = 12 has the global best evidence in model from 1 to 20. Referring to the threshold interval given by Jefrrey’s scale, the data preference for order N = 12 is significantly better than other orders. The experiment shows that the evidence reasoning of the main magnetic field order can be used to study the main magnetic field contribution, and the results match the power spectrum analysis of spherical harmonic of order N = 14.
Comparison of Characteristics of F-region Irregularities Scattering Occurrence Rate Based on the Observation of the Jiamusi Radar and Hokkaido East Radar
WANG Wei, ZHANG Jiaojiao, WANG Chi, DENG Xiang, LAN Ailan, YAN Jingye
2023, 43(4): 609-617. doi: 10.11728/cjss2023.04.2022-0028
Abstract:
Distribution of the ionospheric irregularities scattering occurrence rate was investigated using data from March 2018 to November 2019, which were observed by the SuperDARN Jiamusi and Hokkaido East radars. The irregularities scattering occurrence rate have been statistically compared in the geomagnetic quiet period (Kp < 3) and geomagnetic disturbance period (Kp > 3), obtained the variation characteristics of the irregularities scattering occurrence rate depending on magnetic latitude and MLT, and analyzed the characteristics of the occurrence rate enhancement phenomenon in the dusk side and dawn side. The enhancement of the dusk side occurrence rate was widespread in the range of 45°-64° MLAT, and the occurrence rate in the subauroral region was significantly enhanced during the magnetic disturbed period. The enhancement of the dawn side occurrence rate is mainly distributed in areas below 55° MLAT, and the enhancement of the geomagnetic disturbance has a weak effect on it except in equinox. The dayside occurrence rate in middle magnetic latitude is less affected by geomagnetic disturbance.
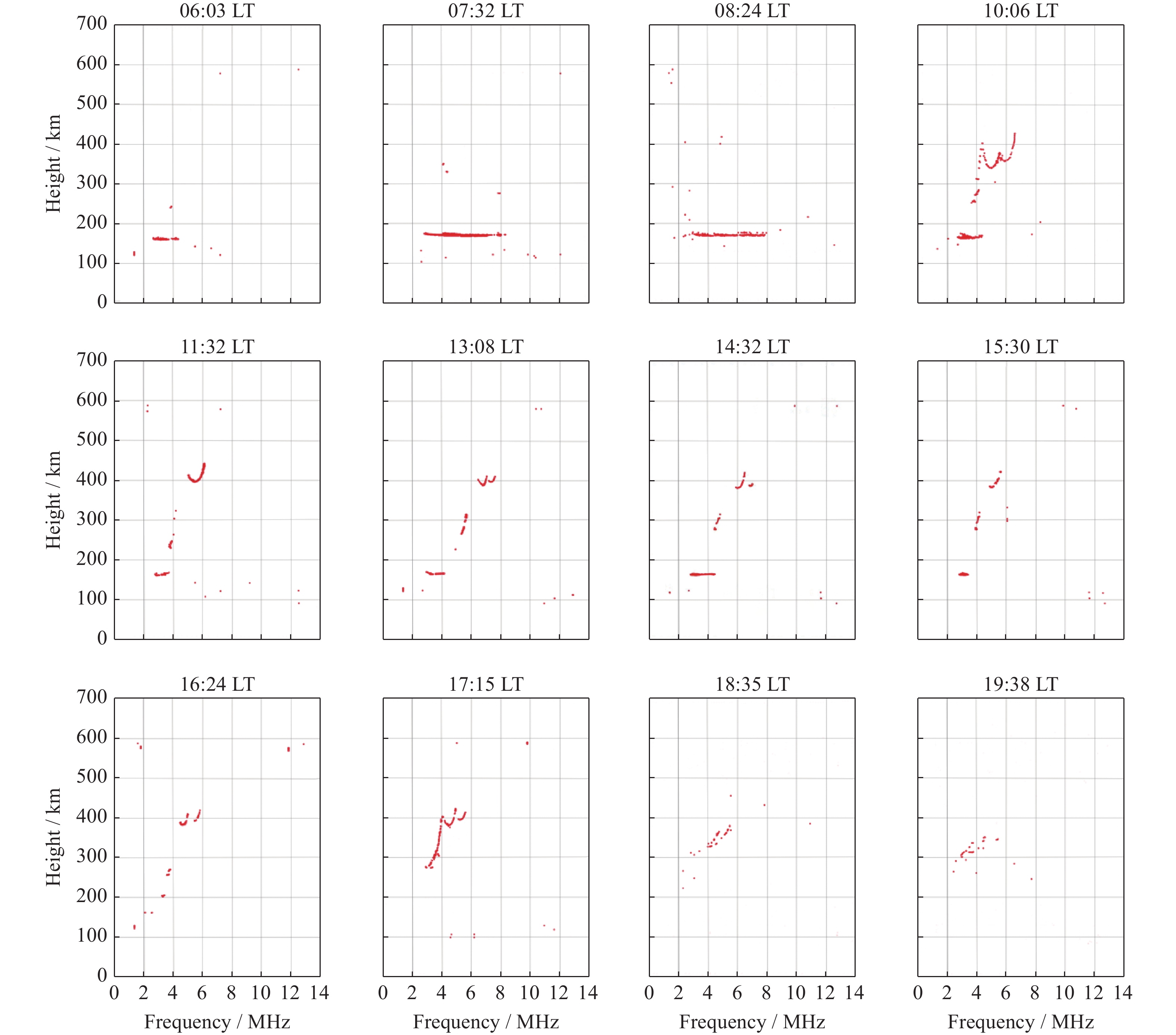
Development of a Low-power Ionosonde in Yinchuan and Analysis of Preliminary Test Results
ZHAO Gangquan, WANG Caiyun, LIU Dapeng, LI Lingling
2023, 43(4): 618-626. doi: 10.11728/cjss2023.04.220127011
Abstract:
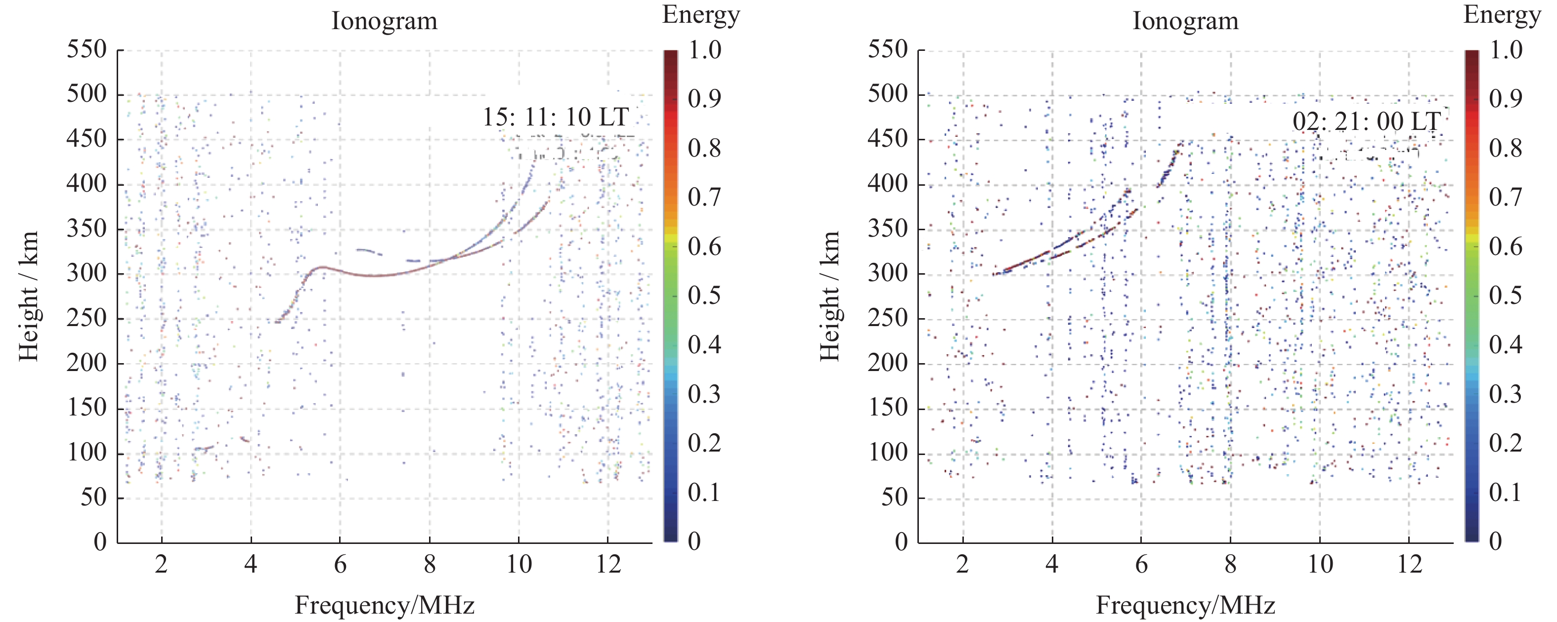
A low-power ionosonde is developed, with a pair of new kind Delta antenna and barker-liked coding technique. A varied sampling duration is utilized in the receiving windows to improve the test efficiency. The ionosonde is built in Yinchuan Earthquake Monitoring Test Site, Ningxia Hui Autonomous Region of China. The continuous observation test was carried out for a whole day in August 2021. The preliminary test result shows that the diurnal variation of the critical frequency of the F2 layer has a positive correlation as of the solar elevation angle in Yinchuan area. An image processing technique is employed for the automatic separation of the O/X waves in the original ionograms. The difference between the critical frequencies of the two polarized waves is about 0.7 MHz, which is basically consistent with the local 0.5 times magnetic spin frequency of Yinchuan, which is 0.7 MHz also. The operation of the ionosonde is stable, and the obtained data are reliable, which provides a valuable algorithm reference and data accumulation significance for the subsequent in-depth processing of satellite-ground joint multi-dimensional data.
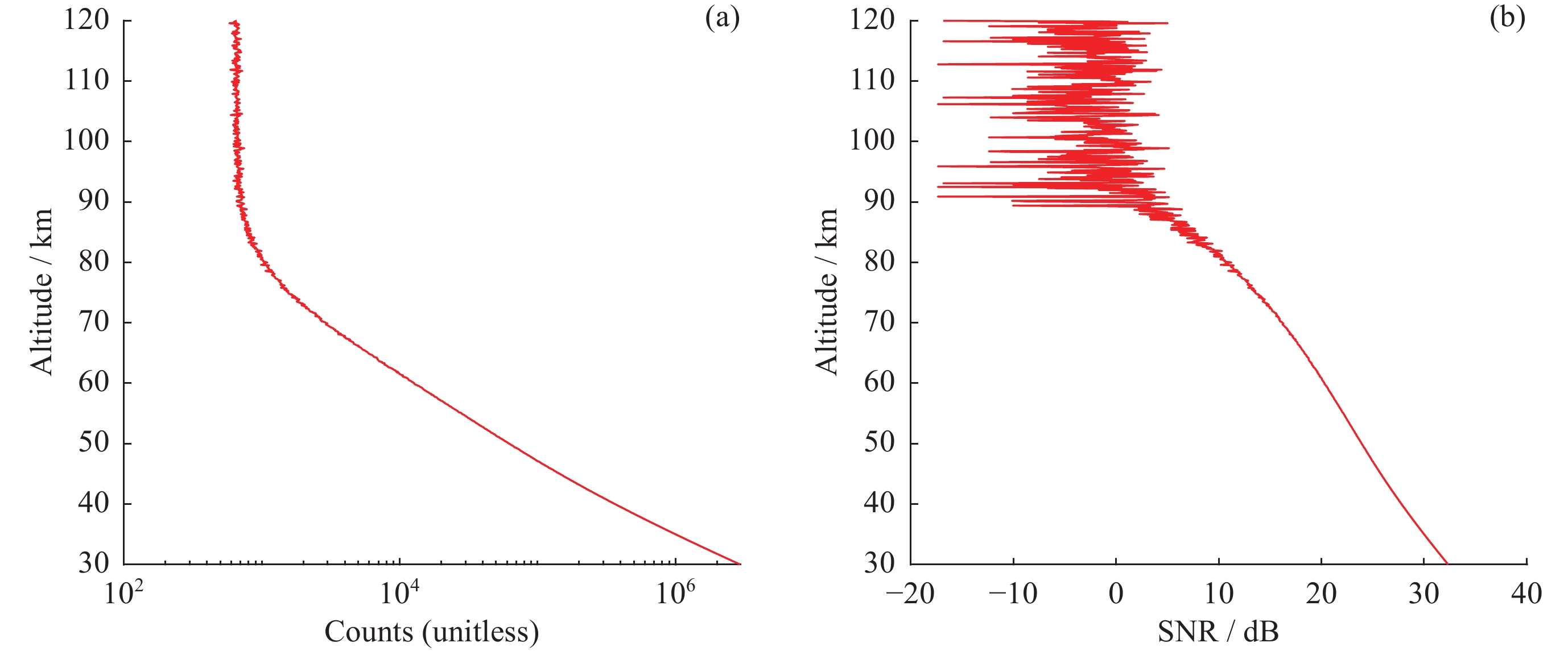
Research on Atmospheric Temperature Retrieval Based on Rayleigh Lidar Using Optimal Estimation Method
WANG Yu, ZHANG Xianzhong, WU Tong, ZHANG Yijian, SUN Yue, LI Shijie, LI Xinqi, ZHONG Kai, YAN Zhaoai, XU Degang, YAO Jianquan
2023, 43(4): 627-639. doi: 10.11728/cjss2023.04.2022-0035
Abstract:
The middle atmosphere is detected based on the echo photon signal of Rayleigh lidar, combined with the optimal estimation method, the atmospheric temperature is retrieved. In this paper, the forward model is established based on the Rayleigh scattering lidar equation, the temperature profile of the atmospheric model is selected as the prior state information, and the cost function for optimization is constructed, and the cost function is optimized using the Levenberg-Marquardt optimization algorithm, get the inversion results of atmospheric temperature, and use the average kernel matrix to evaluate the contribution of the real information in the inversion results while analyzing the uncertainty of the inversion results. Using the simulated echo signal generated by the Rayleigh lidar equation, the inversion processing and analysis of the atmospheric temperature is carried out, and the optimal estimation inversion of the atmospheric temperature is carried out on the Rayleigh lidar measured data provided by the National Space Center of the Chinese Academy of Sciences. The results show that the inversion uncertainty below 90 km is within 10 K, and compared with the CH method, the optimal estimation method has the advantage of a higher inversion effective range; the inversion uncertainty is small, and the contribution of real information to the inversion results is dominant.
X-ray Transmission Characteristics Based on Numerical Model of Upper Atmosphere
LÜ Zhihui, WEI Fei, ZHANG Xuanyi, PENG Songwu, FENG Pengyuan
2023, 43(4): 640-646. doi: 10.11728/cjss2023.04.2022-0063
Abstract:
Most of the energy of a nuclear explosion is released in the form of X-ray. It is important to understand the characteristics of the X-ray radiation for the monitoring of space-based nuclear explosion events and the calculation of explosion yield. In this paper, the blackbody radiation model is constructed based on the X-ray energy spectrum characteristics of nuclear explosion, and a stratified atmospheric numerical model is constructed based on the NRLMSIS atmospheric model composition data and height density data. The stratified atmospheric mass absorption coefficient model is combined with the NIST database to improve the accuracy of the atmospheric model and the atmospheric mass absorption coefficient model. The transmission characteristics of X-ray in the atmosphere are studied using the code, and the energy spectral characteristics of X-ray generated by nuclear explosions at near-space altitude were simulated, after atmospheric absorption and assuming the energy injection at different altitude points. The results show that the height of the detection point is constant, the smaller the slant angle the larger the ray transmission path, i.e., the longer the atmospheric absorption path that the ray passes through, and thus the more the peak of the energy spectrum will shift to the higher energy. At the same height, the energy fluence is the largest directly above the explosion point, and the energy fluence at other positions decays exponentially as the angle decreases.
Planetary Science
Review of the Spectral Effects of Space Weathering on C-type Asteroids
ZHOU Ting, TANG Hong, MIAO Bingkui, ZENG Xiaojia, XIA Zhipeng, YU Wen, ZHOU Chuanjiao, HE Encheng
2023, 43(4): 647-660. doi: 10.11728/cjss2023.04.2022-0058
Abstract:
C-type asteroids are mainly composed of silicates and carbon-rich organic matter, which preserve the original materials of the early formation of solar system. They are important clues to understand the early formation of the solar system, and have important scientific significance for revealing the origin and evolution of water and life. At present, the understanding of the composition characteristics of asteroids is mainly based on spectral characteristics analysis. However, the long-term space weathering will change the spectral characteristics, so the understanding of the composition of asteroids needs to accurately clarify the effects of space weathering on the spectra. With the advancement of the asteroid exploration in China, it is necessary to understand the spectral characteristics and variation rules of C-type asteroids. This paper summarizes the spectral characteristics of C-type asteroids (e.g., the reflectance spectra, absorption of water and organic matter) and the influence of space weathering on C-type asteroid, analyzes the main problems existing in the research, and points out the future development trend and research focus of this research direction.
Methods of Planetary Atmospheric Density Retrieval Based on X-ray Occultation
YU Daochun, LI Haitao, LI Baoquan, LIU Yaning
2023, 43(4): 661-669. doi: 10.11728/cjss2023.04.2022-0027
Abstract:
X-ray occultation is a common astronomical phenomenon. The retrieval of atmospheric density based on X-ray occultation sounding is a new method involving interdisciplinary research. This method realizes the inversion of atmospheric density by processing the measured occultation data of high-energy X-ray celestial radiation sources. The basic principle is that when X-rays propagate in the atmosphere, X-ray photons are absorbed and scattered by atoms in the atmosphere (including atoms in molecules), resulting in attenuation of X-ray intensity, and the corresponding density profile is retrieved according to the intensity of the attenuated X-ray signal. This paper briefly introduces the application requirements of X-ray occultation sounding, and focuses on the analysis and demonstration of a new method for retrieving atmospheric density based on X-ray occultation. Firstly, the research progress and methods of atmospheric density retrieval by X-ray occultation sounding are introduced, and two kinds of density retrieval algorithms, light curve fitting and energy spectrum fitting, including the construction of forward model and the selection of likelihood function in parameter estimation, are introduced emphatically. Then, the advantages of atmospheric density retrieval based on X-ray occultation are analyzed and discussed. Finally, the application scenarios of X-ray occultation sounding are prospected. The results show that X-ray occultation sounding, as a new means of measuring the density of the middle and upper atmosphere, can effectively detect the density of the middle and upper atmosphere, and make up the shortage of the current measured data of the middle and upper atmosphere density.
Microgravity Science
Review of Propylene Loop Heat Pipes for Spacecraft
JIA Zhichao, LI Guoguang, WU Qi, LIU Chenpeng, LIU Chang, LIU Sixue, ZHANG Hongxing, MIAO Jianyin
2023, 43(4): 670-682. doi: 10.11728/cjss2023.04.2023.04.yg06
Abstract:
Loop Heat Pipes (LHPs) are efficient heat transfer devices driven by capillary force. LHPs have been widely used in spacecraft, addressing thermal control problems such as high accuracy temperature control, high-power heat transfer, long-distance heat transfer. Presently, China’s high power spacecraft platforms need to spend extra power to maintain the survival temperature of radiators under storage or fault conditions. Deep space missions like Jupiter’s system exploration and solar system boundary exploration require the spacecraft to enhance its cryogenic adaptability. These missions put forward urgent requirements of propylene LHPs. Compared with widely used ammonia, the freezing point of propylene is much lower (–185℃). The radiator of spacecraft does not drop below –150℃ generally, so propylene LHPs are suitable for storage and operation in low temperature environment without the survival heat power and the risk of freezing. The application of propylene LHPs will improve the adaptability and reliability of thermal control system in low temperature environment. In this paper, the research and development of propylene LHPs are reviewed, including the theoretical modeling, the experimental research of operation characteristics, and the typical space application. Suggestions on the future research of propylene LHPs are also presented.
Instability of Viscoelastic Thermocapillary Liquid Layers with Two Free Surfaces
HU Penghui, HU Kaixin
2023, 43(4): 683-693. doi: 10.11728/cjss2023.04.2023.04.yg07
Abstract:
In microgravity environments, dual-free surface liquid layer is a promising method for growing new material crystals, stability analysis of its flow is of great significance for applications such as thin film crystallization. The instability of viscoelastic thermocapillary liquid layers with two free surfaces is examined by linear stability analysis. The critical Marangoni number (Mac) is determined as a function of the elastic number (ε) and the Prandtl number (Pr). The flow fields and energy mechanisms of preferred modes are analyzed. Three kinds of instabilities are found: oblique wave, streamwise wave and spanwise stationary mode, whose properties are all significantly affected by the elasticity. The preferred modes are the oblique wave and streamwise wave at small and large Pr. When Pr = 1, the preferred mode changes from the oblique wave to the streamwise wave, and finally the spanwise stationary mode with the increase of ε. At small Pr, the hot spots move from the surface to the interior of the liquid layer with the increase of ε. The effect of the ratio ($\zeta $) of solvent viscosity to the total viscosity on the instability mechanism and the preferred modes are demonstrated. When Pr is large, the increase of $\zeta $ often makes the flow more stable. However, for small and moderate Pr, the flow is destabilized by the increase of $\zeta $ at weak ε. Energy analysis shows that at the small Pr, the perturbation stress at the weak ε dissipates energy while it provides energy at the strong ε. At the moderate and large Pr, the primary source of energy for perturbation energy is the work done by surface tension, and the contribution of the base flow can be neglected. Comparing the double free surface liquid layer with the single free surface liquid layer, it is found that the elastic instability of the double free surface liquid layer is more prominent when the Ma number is small.
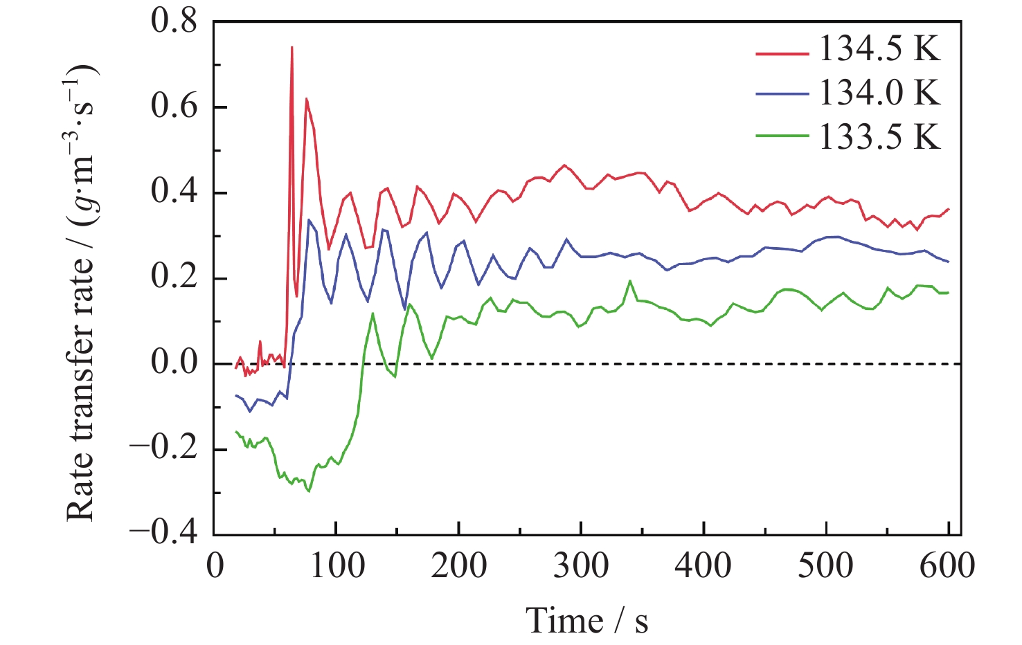
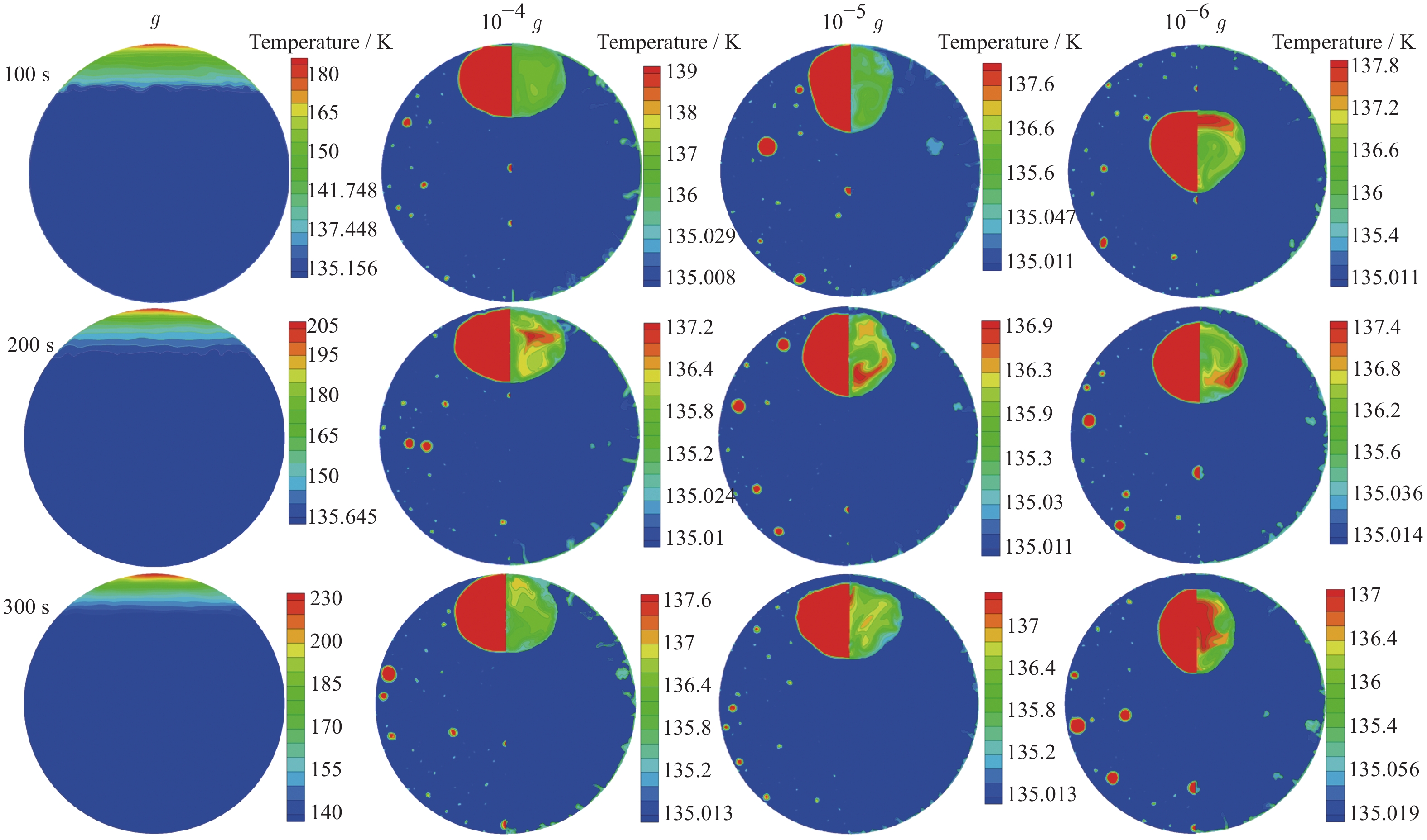
Thermodynamic Characteristics of Cryogenic Liquid Krypton Tank in Microgravity
LI Wen, CHEN Shuping, ZHU Ming, WANG Xin, DONG Chao, LIU Kai
2023, 43(4): 694-702. doi: 10.11728/cjss2023.04.2022-0040
Abstract:
The cryogenic liquid krypton tank will be in microgravity environment for more than several hundred seconds during MECO (Main Engine Cut-off) phase, its internal heat transfer and phase change have an important impact on the performance of the storage and supply system of the large orbit transfer vehicle. To investigate the pressure variation and temperature distribution of on orbit cryogenic liquid krypton tank in microgravity conditions, establishing a CFD model of cryogenic liquid krypton tank, the effects of gravity level, initial liquid krypton temperature and initial filling rate on the thermal stratification and pressure variation of liquid krypton tank in microgravity conditions were studied by using VOF method and Lee gas-liquid phase change theory. The results show that, in the microgravity conditions, the tank pressure rise rate are lower than that in the ground condition, a smaller gravity causes a smaller tank pressure, and the pressure rise rate of tank under g0 is 1.84 times, 1.98 times and 2.04 times of 10–4 g0, 10–5 g0 and 10–6 g0 respectively, and the degree of temperature stratification (2~3 K) is much lower than that of ground condition (90 K). Under the microgravity level of 10–4 g0, the tank pressure decreases first and then increases gradually with time at different initial liquid krypton temperatures (133.5 K, 134 K, 134.5 K), and the lower the initial liquid krypton temperature is, the smaller the pressure rise rate of the cryogenic liquid krypton tank is. Under the microgravity level of 10–4 g0, there is a critical initial fill ratio (70%) of the cryogenic liquid krypton tank. When the initial fill ratio is larger than the critical value, the pressure rise rate increases with the increase of the initial fill ratio, and when the initial fill ratio is lower than the critical value, the pressure rise rate of the tank decreases with the increase of the initial fill ratio.
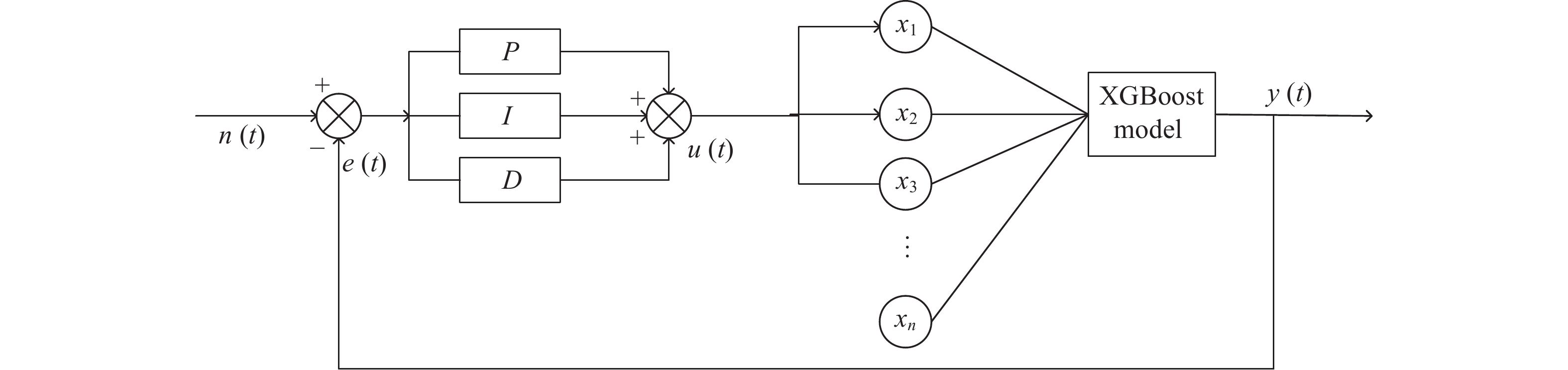
Modeling of Temperature Control System of Space Experiment High-temperature Furnace Based on XGBoost
REN Junzhu, XIAO Zhigang, YU Qiang
2023, 43(4): 703-710. doi: 10.11728/cjss2023.04.2022-0061
Abstract:
With the development of China’s space industry, the construction of China’s space station has been completed in 2022. In the future, China will carry out a series of space material science experiments in space. The high-temperature furnace in the high-temperature material science experimental rack, as the main equipment of the space material science experiment, requires the high-temperature furnace’s temperature to be stable within ± 0.25℃ when conducting the high temperature material science experiment in space. In the face of such high temperature stability requirements, in order to ensure that the scientific experimental system of the high-temperature material science rack can successfully conduct the space material science experiment, it is necessary to first establish the mathematical model of the high-temperature furnace control system. Because the object of high-temperature furnace is a kind of nonlinear and time-delay complex control object, it is difficult to model based on mechanism. To solve this problem, this paper proposes a new solution: based on the experimental input and output data, an intelligent modeling method is adopted to determine an internal equivalent model of the high-temperature furnace control system, which provides a basis for obtaining control parameters that meet the experimental requirements. In this paper, the control system of high-temperature furnace is regarded as a black box model, and four representative sample experimental data are selected. Based on XGBoost method, the mathematical models of temperature zone 2 and temperature zone 3 control system of high-temperature furnace are established respectively. The accuracy of the models can all reach more than 99.98%. Compared with the traditional modeling method, the transfer function is used as the basic model for parameter estimation, and the modeling effect varies according to different samples. In addition, under the best performance of traditional methods, the accuracy of the model based on XGBoost is still improved by 3.8%. The experimental results show that the modeling effect of high-temperature furnace control system based on XGBoost method is good, and the model provides important support for obtaining control parameters to ensure high stability of space experimental temperature.
Space Exploration Technology
Development on Space Environment and Its Dynamic and Thermal Problems of Ultra-LEO Satellites
HUANG Jin, CHANG Liang, DONG Baiyang, LIU Zeyu, HAN Shengxing, SI Chaoming
2023, 43(4): 711-723. doi: 10.11728/cjss2023.04.2022-0010
Abstract:
Ultra LEO spacecraft has become a hot research field for a wide range of application in military, remote sensing, scientific research, etc. Due to the special space environment of ultra-low orbit, many technical difficulties need to be solved, mainly focusing on atmospheric environment prediction, aerodynamic, aerothermal and so on. The main atmospheric models and inversion methods for typical ultra-low orbit vehicle missions are studied, and the model data is compared. By combining various cases of aerodynamic passive stability, the methods of aerodynamic calculation and the important impact of aerodynamic structural design are investigated. Aerodynamic design and stability control methods under aerodynamic interference are introduced. The aerodynamic thermal environment and simulation algorithms of ultra-low orbit satellites are studied, and various thermal resistant composite materials and their application scenarios are introduced. Detailed analyses were conducted on the technologies for variable switching of heat and heat dissipation for ultra-low orbit satellites, and the advantages and disadvantages of each scheme were briefly reviewed. This review is helpful to promote the key technology research and test demonstration of ultra LEO spacecraft, turning the ultra LEO spacecraft from test mission to space application mission as soon as possible.
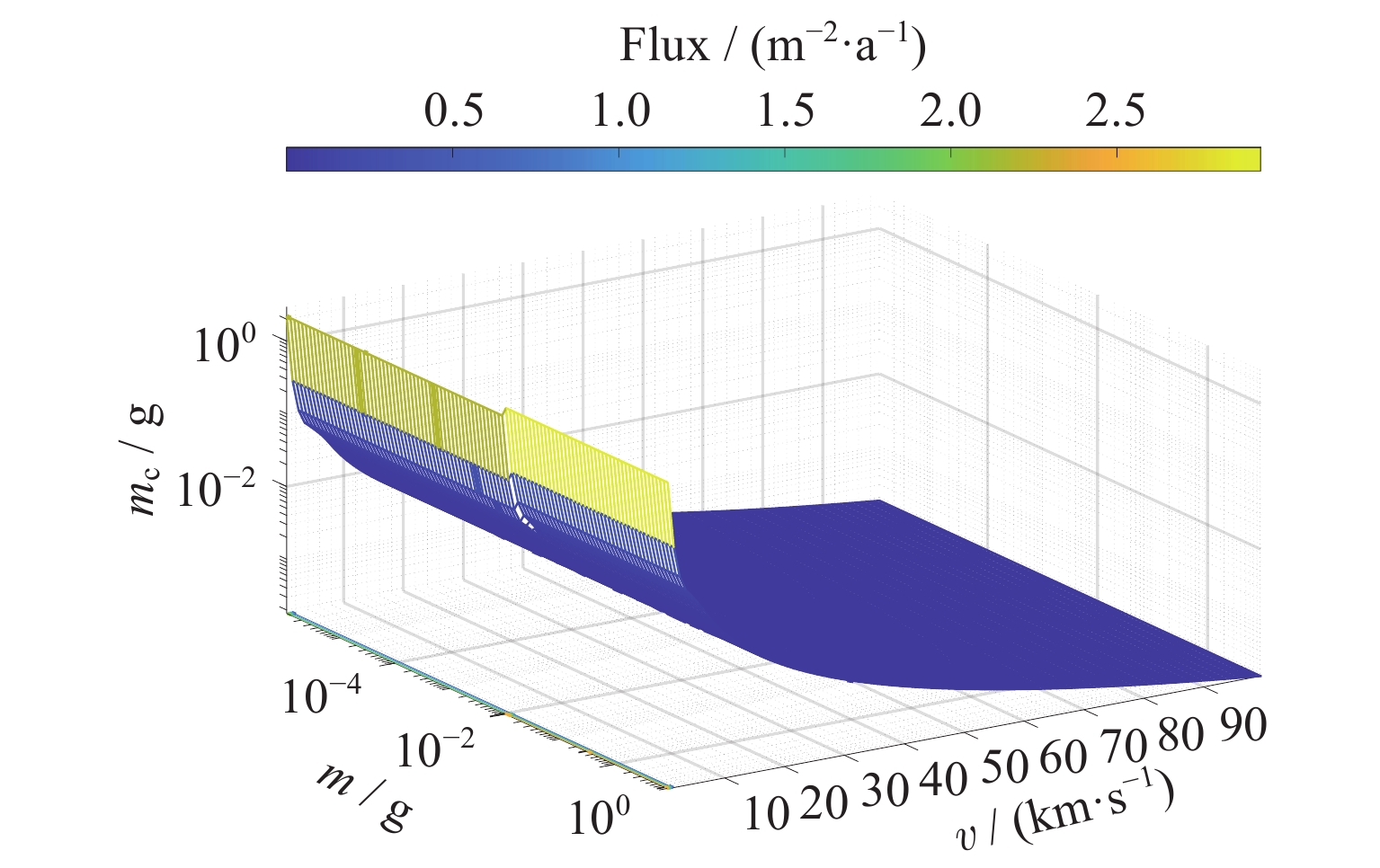
Meteoroid and Space Debris Risk Assessment for Satellites Orbiting the Earth/Moon
FENG Shuai, WANG Ronglan
2023, 43(4): 724-735. doi: 10.11728/cjss2023.04.2022-0065
Abstract:
Interplanetary meteoroids and space debris can impact satellites orbiting the Earth or spacecraft traveling to the Moon. Targeting China Space Station (CSS), 7 satellites selected from the constellation of Beidou Navigation Satellite System Phase III (BDS-3), and 3 spacecraft orbiting the Moon, we have adopted in the paper the Meteoroid Engineering Model 3, Divine-Staubach meteoroid environment model, and Jenniskens-McBride meteoroid steam model to analyze the meteoroid environment with the mass range of 10–6~10 g. Orbital Debris Engineering Model 3.1 space debris model is used to analyze the orbital debris environment faced by these satellites. The flux of space debris with a size larger than 100 μm is compared with that of the meteoroids. The results show that the space debris flux encountered by China Space Station is much higher than that of the meteoroids with sizes in the above range. And quite the opposite, the meteoroids flux impacting the 7 satellites from the BDS-3 is higher. Upon adopting the double-layer Whipple protection measure, the catastrophic collision flux of these satellites encountering meteoroids is about 10–6 times of that without protection, or even less, implying that the Whipple protection effectively guarantees the safety of the satellites in orbit. Besides, it is also found that the flux of the high-density meteoroid population encountered by each satellite is greater than that of the low-density population, whereas the impact velocity is lower for each satellite. These results can aid the orbit selection and the protection design for satellites and spacecraft.
Beidou Satellite-based Augmentation System Performance Evaluation Analysis
LIU Ruihua, GENG Haichao, LIU Liang
2023, 43(4): 736-746. doi: 10.11728/cjss2023.04.2022-0039
Abstract:
In this paper, the performance of the BDSBAS space signal was evaluated and analyzed by calculating six indicators: BDSBAS orbit error, satellite clock difference, space signal ranging error and BDSBAS grid ionospheric effective point, broadcast time and ionospheric delay error, using actual broadcast ephemeris, precision ephemeris and augmentation messages of Beidou Satellite-Based Augmentation System (BDSBAS) as experimental data. Results showed that the orbital errors of GPS satellites after BDSBAS enhancement were reduced by 34.57%, 40.57% and 30.90% in tangential, normal and radial directions respectively; the root mean square of satellite clock deviation was reduced by 24.31%, and the standard deviation of satellite clock deviation was reduced by 16.8%; the spatial signal ranging error was reduced by 32.75% compared with that before enhancement; the effective ionospheric points of BDSBAS grid. The ionospheric delay broadcast interval of all BDSBAS points meets ICAO’s requirements for accurate differential positioning; the ionospheric delay error in the range of 0°-5°N is more than 0.4 m with a confidence level of 99.9%, and in the range of 5°-55°N, the error is less than 0.4 m with a confidence level of 100%; the horizontal positioning error of BDSBAS is improved by more than 25% improvement in horizontal positioning error and over 50% improvement in vertical positioning error, all with an integrity of 99.9% or more.
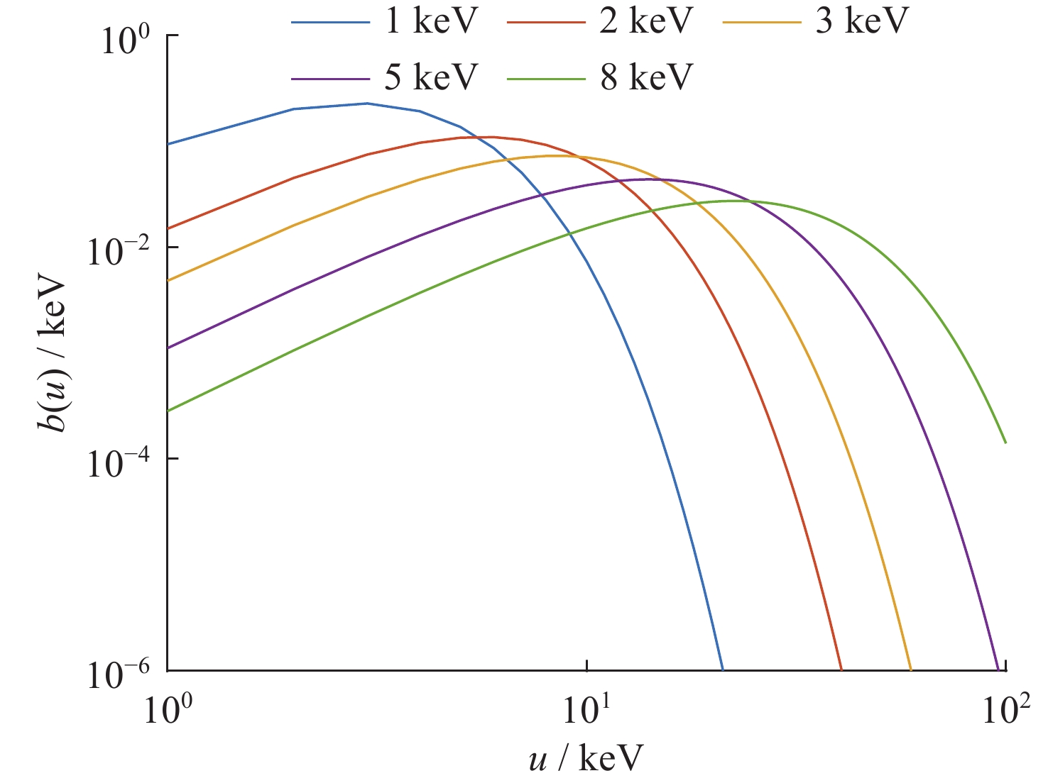
Development of an X-ray Modulation Characterization System for HXI Payload Onboard ASO-S Mission
CHEN Dengyi, ZHANG Zhe, JIANG Xiankai, HU Yiming
2023, 43(4): 747-757. doi: 10.11728/cjss2023.04.2022-0013
Abstract:
The Advanced Space-based Solar Observatory (ASO-S) was sent to space on 9 October 2022. As the first comprehensive satellite for solar concentrated observations of China, the ASO-S carries three payloads: the Hard X-ray Imager (HXI), the Full-disk solar vector MagnetoGraph (FMG) and the Lyman-alpha Solar Telescope (LST), respectively. The ASO-S dedicates to measuring the solar magnetic field, and observing CMEs and solar flares. As a key instrument onboard, HXI aims at imaging solar flares in hard X-rays from 30 to 200 keV with angular resolution up to 3.2", field of view of 40.3', energy resolution better than 24% at 32 keV and time cadence up to 0.125 s. Spatial modulation technique similar to YOHKOH/HXT of Japan is adopted as equipping 91 Fourier units, or tungsten grid pairs in the front and rear plates of collimator of HXI at 1190 mm distance. It is of great value to characterize modulating parameters by beam calibration before launch due to X-ray modulation relation of grid pairs are the basis of modulation imaging. For a long time, the lack of appropriate laboratory conditions has made it difficult to perform such kind of calibration test in the development of similar instrument abroad. However, we developed a practical and efficient set of X-ray Modulation Characterization System (XMCS) for the test of HXI. Firstly, the basic principle and design of HXI is introduced briefly. Secondly, ground calibration facility as well as modulation calibration requirements of HXI are presented. Detailed design and integration of XMCS were descripted subsequently. The modulation characterization test of the flight model of HXI has been successfully carried out to directly calibrate the modulation relation on the XMCS. Only part of the excellent calibration results are discussed here to verify the performance of XMCS, which shows great value and potential for the upcoming similar X-ray payloads calibration on ground.
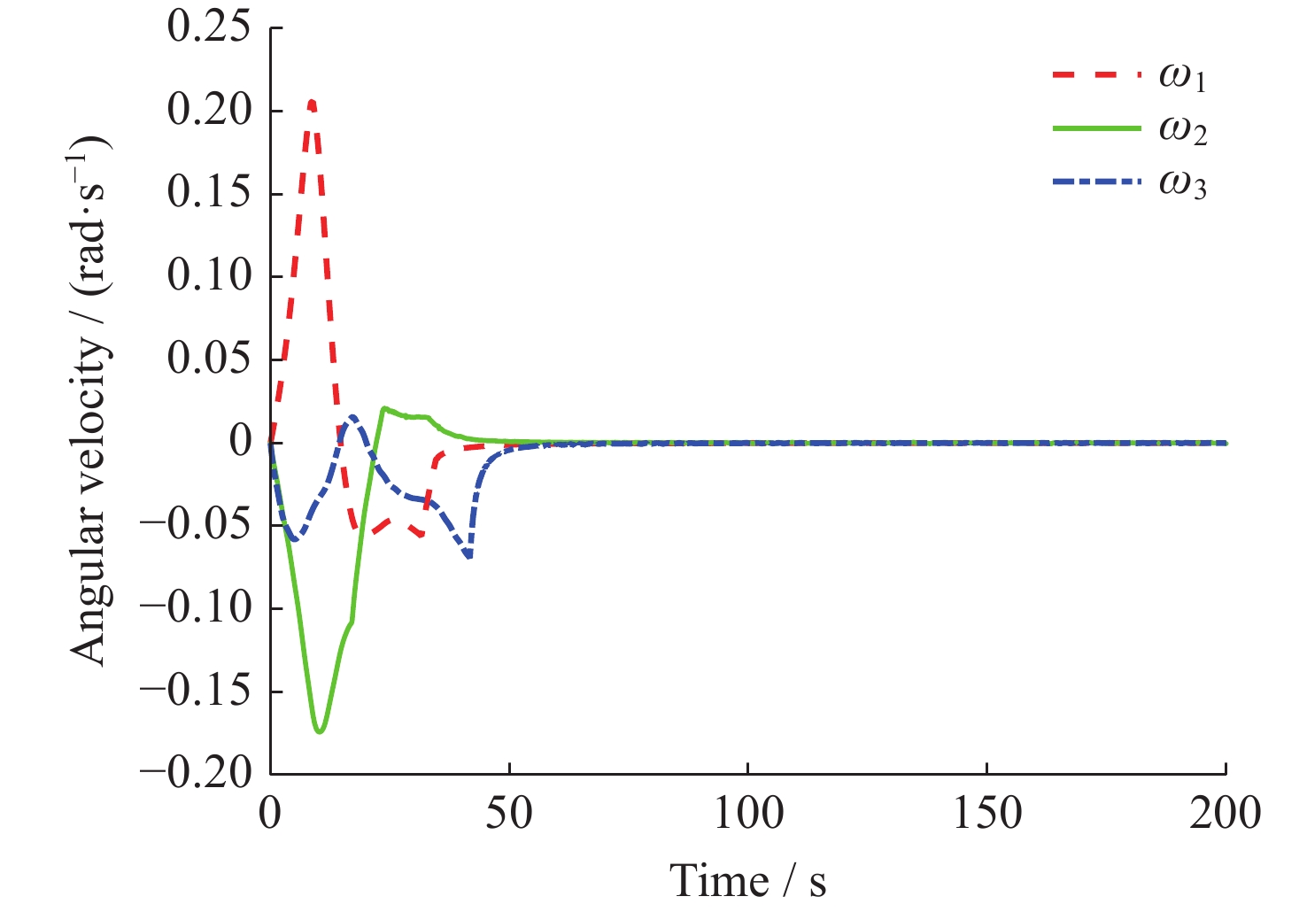
Research on Attitude Maneuver and Vibration of Liquid-filled Flexible Spacecraft Based on Terminal Sliding Mode Control
WU Taotao, SONG Xiaojuan, LÜ Shufeng
2023, 43(4): 758-767. doi: 10.11728/cjss2023.04.2022-0038
Abstract:
In this paper, the attitude control of rigid-liquid-flexible multi-body coupling spacecraft with unknown external disturbances and uncertain inertia parameters is studied, and an attitude maneuver control method based on disturbance observer and fuzzy terminal sliding mode control is proposed. The sloshing of liquid fuel in the spacecraft is equivalent to a spherical pendulum model, and the flexible appendages are assumed to be an Euler-Bernoulli beam. The coupled dynamic equation of the liquid-filled flexible spacecraft is derived by using the Lagrange method. First of all, the interference from space, the parameter uncertainty of the moment of inertia of the spacecraft, the coupling interference caused by the liquid sloshing and the vibration of flexible accessories are summed up as lumped interference. Design disturbance observer to compensate and estimate the lumped disturbance of the system. Then, based on the designed disturbance observer, a fuzzy terminal sliding mode control law is presented, and it is proved that the state of the closed-loop system is finite-time stable under the control law, and converges to the specified terminal sliding mode surface. The fuzzy terminal sliding mode control law uses fuzzy control to improve the switching gain based on the traditional terminal sliding mode control to achieve the purpose of suppressing system jitter. This optimization method can not only reduce the complexity of terminal sliding mode control method, but also reduce the difficulty of debugging parameters because it does not introduce new functions. The numerical simulation results show that the designed fuzzy terminal sliding mode control law can not only achieve the finite-time stability of the closed-loop attitude control system of the liquid-filled flexible spacecraft, but also effectively suppress the liquid sloshing and the vibration of the flexible appendages. At the same time, it has good robustness to disturbances caused by external disturbances and parameter uncertainties, and has better control performance.
Recognition of Working Pattern of Space Science Satellite Based on Ensemble Learning
GAO Lijing, CHEN Zhimin, GUO Guohang, WANG Chunmei
2023, 43(4): 768-779. doi: 10.11728/cjss2023.04.20220301022
Abstract:
Aiming at the issues of space science satellite telemetry parameters, such as large amount of data, high dimension, the need of numerous artificial resource consumption for preset massive thresholds, the preset thresholds that may not be applicable, and the current monitoring methods with low scalability, a working pattern recognition method is proposed for scientific satellite based on ensemble learning. Correlation coefficient statistical characteristics and mutual information theory are used to screen and reduce the dimension of telemetry parameter data. Data resampling technology is used to solve the problem of category imbalance for the dataset. An integrated learning model is used to identify the working mode of space science satellite. The method is verified with the real telemetry parameter data of quantum science satellites. And the algorithm model can be constructed in a short time, and the overall recognition accuracy rate reaches 99.67%, which can correctly identify the majority and minority class samples. The method can provide decision-making basis for ground personnel to judge the working mode of space science satellites.
An Improved HVQ Algorithm for Compression and Rendering of Space Environment Volume Data with Multi-correlated Variables
BAO Lili, CAI Yanxia, WANG Rui, ZOU Yenan, SHI Liqin
2023, 43(4): 780-785. doi: 10.11728/cjss2023.04.2022-0020
Abstract:
Volume visualization can not only illustrate overall distribution but also inner structure and it is an important approach for space environment research. Space environment simulation can produce several correlated variables at the same time. However, existing compressed volume rendering methods only consider reducing the redundant information in a single volume of a specific variable, not dealing with the redundant information among these variables. For space environment volume data with multi-correlated variables, based on the HVQ-1d method we propose a further improved HVQ method by compositing variable-specific levels to reduce the redundant information among these variables. The volume data associated with each variable is divided into disjoint blocks of size 43 initially. The blocks are represented as two levels, a mean level and a detail level. The variable-specific mean levels and detail levels are combined respectively to form a larger global mean level and a larger global detail level. To both global levels, a splitting based on a principal component analysis is applied to compute initial codebooks. Then, LBG algorithm is conducted for codebook refinement and quantization. We further take advantage of progressive rendering based on GPU for real-time interactive visualization. Our method has been tested along with HVQ and HVQ-1d on high-energy proton flux volume data, including > 5, > 10, > 30 and > 50 MeV integrated proton flux. The results of our experiments prove that the method proposed in this paper pays the least cost of quality at compression, achieves a higher decompression and rendering speed compared with HVQ and provides satisficed fidelity while ensuring interactive rendering speed.
Satellite Telemetry Parameter Prediction Based on Improved Combinatorial Machine Learning
JIANG Gaixin, LIU Yurong
2023, 43(4): 786-792. doi: 10.11728/cjss2023.04.2022-0057
Abstract:
The monitoring, analysis and anomaly detection of the operational status of satellites in orbit are important contents of satellite operational management. It is very necessary to predict the changing trend of satellite telemetry parameter data series for detecting, dealing with satellite anomalies and ensuring the safe operation of satellites. Aiming at the problem that the current prediction research is not accurate enough for telemetry parameters with insignificant periodicity and multiple changing characteristics, this paper introduces covariates that are helpful for telemetry parameter sequence prediction, and proposes a prediction model based on improved combined machine learning, using the global model and the local model to obtain the trend characteristics and local irregular fluctuation characteristics of the telemetry parameter sequence respectively, and the improved Attention mechanism is used to capture the correlation between multi-dimensional parameters to improve the prediction accuracy. At the same time, this model can provide point prediction and interval prediction results for the telemetry data sequence, providing more input for the decision-making of on-orbit satellite disposal. The validity of the proposed method is verified on the real telemetry data set of scientific satellites and the public time series data sets.